1. 木管发声的结构
木管乐器的发声主要靠吹口端的激励产生一个基础能量(频率),靠管身及空气柱的共鸣来修饰频率、音色。激励主要有两种:
- 切割空气的激励。比如长笛、竖笛,它靠调整吹气角度,切割吹出的空气产生“边棱音”,边棱音主要是气流被切割后,产生的回流导致气压不断变化,气压差导致的来回运动产生了一个基础的噪音(能量),详细在下面讲。竖笛直接在哨口安置了哨片用来切割,吹口口径和方向都是弄好的,直接对着吹就可以,而长笛可以自己调整吹气的角度。为了获得特殊共鸣和激励,有的木管还有笛膜。
- 震动*片簧**的激励,分成单簧和双簧。比如单簧管,双簧管,是靠*片簧**来回闭合控制气流的气压变化,来提供基础能量(频率)。*片簧**来回闭合的频率受*片簧**本身振动频率影响,同时*片簧**的振动也会产生音高,管子负责耦合调整整体音色和音高。由于*片簧**的参与,它的声音和靠切割空气激励的木管有挺大差别,一听就能分辨出来。
管子也主要有两种:
1. 开口管,指的是两端都不封闭的管。比如长笛竹笛这些。
2. 闭口管。指的是单独一端封闭的管。比如一端是簧管、一端是开放口的单簧管,双簧管这些,或者哨端未封闭,另一段是滑动装置堵在下端调整音高的哨笛。
接下来讲区别。
先讲管子的两种振动模式。
2. 木管的驻波(共振)模型
2.1 开口管
我们知道,声波的传播是靠介质压强的变化,我们观察声波传播时的声压,发现介质(空气)是存在“被压缩-变稀疏-被压缩-变稀疏”这样不断往复的动作,才得以向前传播的。我们以x轴为时间,以y轴为声压,坐在某一固定位置上观察声压变化,就可以画出波形,波节是压强平衡点(大气压),而最上方的波腹是压缩最密的一点,下方波腹就是最稀疏的一点。

画不标准,将就看。
两端都是开口端的管内的驻波传播(驻波在这里可以理解为在管内能一直持续的波形,详细释义见上面解释泛音的链接),属于有界区域(管内)到*界无**区域(管外)的传播,声压就这样在管内产生反射。在有界区域到*界无**区域(开放端)产生的反射中,开口端和大气联通,意味着开口端必然是大气压,这就意味着, 正方向声压+反射声压后的最终合成波形 ,在开口端必然是声强波节(声强波节处等于大气压)!!!如果不是,那么它非但无法得到增强和持续存在,还可能相减、消散,换句话来说,只有波形符合在两端都是声压波节的时候,这个波形才能持续存在于开口管中。那我们可以列出无数个声压波节处在两端的频率,假设管长为2,如下图(只列出部分,假设管长2):

然后我们能发现规律:泛频都是基频的整数倍。
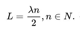
公式如下:

其中,L指两端开口管的管长,
λ为波形波长。根据频率和波长换算公式:λ=V/f(其中V指声速),可以轻松得到频率。
接下来详细解释为什么只有这些频率能存在。
先记住一个规律:在这种有界到*界无**区域的反射中,声压最密点反射后变成了声压最稀疏点,最稀疏点反射就变成了最密点。
从波形来说,假设有一个从左往右的波形,按照如上规律,在x=5上发生反射,反射后的波形就是把x=5右边的波形反相,再以x=5为对称轴翻过来。
我们用管子能产生的最低频率——基频作为例子,下图是不同时间点,对于管子内正方向声强、反射声强以及合成后的声强的“照片”:

(这张图做了我一整天↑…问一下有没有什么做这种数学图特方便的软件,ps战士要累死了。。
通过观察和论证,基频的产生完全符合上述规律,其它倍频也一样。同时实际情况中,反射声压不止这一束,还有反射声再次反射后的第二次反射波形,但是画出来就会知道,驻波频率中,二次反射波形和入射波形是一样的,同理,三次反射波形和一次反射波形也一样。驻波就是这样,在管内可以持续得到增强,而其它不符合驻波频率的波形,得不到增强。
对于靠切割空气产生气棱音的激励端来说,这一端不断向管内输送气棱音产生的声压,而且这一段和大气联通,所以靠切割空气产生气棱音的哨口一端属于开口端。
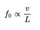
气棱音大家都能发出来,咬紧嘴唇发sssss的声音,就是气棱音了。这种声音是没有固定频率的噪音,而它有个最低频率 f0,在f0以下的频段没有能量,噪音只分布在f0上面。同时,f0的音高公式如下:

其中,v指吹气的风速,L指开口直径,那个像倒8的符号是正相关。吹气的风速靠嘴巴调整,气流速度越快,他的基频音高越高;如果吹口开口越大,音高越低。这个公式到超吹会用到,下面会讲到。
气棱音产生后,整个木管本身会作为共鸣管,管长和结构会耦合、调整气棱音的音高,所以你听到的并不是单纯的噪音,而是共鸣管修饰后的声音。
2.2 闭口管(圆柱形闭口管)
而闭口管,也就是一端开放,一端是不开放的管子,不能在两端同时产生波节波腹。有如下情况:
- 一端是哨口(开口端),另一段是封闭的活动装置来滑动调节音高

就这还能卖200多??????成本1元都不到好吧???????智商税???
底下的活动装置属于钢性结构,声波碰到这种硬质结构的反射和碰到墙壁反射一样。特殊在于,只有哨口端是开放端,另一段是钢性封闭端。这里有个规律:声波在钢性界面上的反射,声压最密点反射后还是最密点,最稀疏点反射后还是最稀疏点。
从波形来说,设一个从左往右的波形,在x=2.5上按照如上规律反射,反射后的波形就是把x=2.5右边的波形以x=2.5为对称轴直接翻过来。
由于大气接触的开口端必定是波节,而刚性界面一端可以是相位中任何一点,再根据上述反射规律,我们可以得知,闭口管如要形成驻波,驻波在开口端必然是波节,驻波的波腹则在闭口端(如果管长不满足1/4波形的奇数倍,反射声被开放端再次反射后就会发生各种抵消,被闭口端反射后还有可能再次抵消,声音无法持续;如果满足,被开放端再次反射后的二次反射声刚好等于入射声,各个波形互相加强巩固,形成驻波)。我们能画出所有能在封闭管持续存在的波形:
只列举部分(假设管长2.5):

得出公式:

得知产生的频率只有基频+奇次谐波(或者说偶次泛频)。
我们可以用公式论证为什么没有偶次谐波:
假设一个闭口管,其中有一个入射声f(x),其中闭口管长度等于f(x)波长的1/2整数倍,设管长为L,以开口端为原点,构建直角坐标系。
f(x)遇到硬质界面(x=L)第一次反射的反射声为g(x),根据反射原理,g(x)和f(x)的关系为以硬质边界对称,所以g(x) = f(-x-2L);g(x)遇到开放边界,反射后产生的二次反射声h(x)与g(x)的关系为以开放边界对称并且反相,得到h(x)=-g(-x),所以h(x)=-g(-x)=-f(x+2L);由于在 -f(x+2L) 中,2L等于一个或多个完整周期对应的波长,所以-f(x+2L) = -f(x),而二次反射声与入射声反相,二者相加:h(x)+f(x)=f(x)-f(x)=0,直接抵消,没有传播的余地。
如果L并不是波长的1/2整数倍,而是1/4奇数倍倍,那么2L约减后等于半个周期的波长,这时候-f(x+2L)和f(x)相位相同,完全重合,叠加。其它反射波的关系也如此。
根据公式+观察波形我们还能得知,同样管长,封闭管的基频比开放管低8度(频率两倍)。
我们可以根据上述规律,画一个在每个时刻的正方向声波、反射声波以及合成声波的“照片”(如前面所示)~
2. 一端是*片簧**(属于闭口端),另一段开放的乐器,如双簧管单簧管。(圆柱形)
为什么*片簧**端属于闭口端?我们先了解*片簧**的作用:
*片簧**来回振动,导致气孔“开-合”动作的不断往复,从而来输入声强,提供能量。*片簧**在闭合的时候,这一端不与大气联通,属于闭口端;待*片簧**能量提升到一定量级,开始张开的时候,瞬间输入一个声强波腹,之后瞬间闭合,阻断大气,待能量提升再次促使*片簧**张开,再次闭合,如此往复;或者*片簧**只留出一个远小于管径的缝隙,这个缝隙对于管内空气振动来说影响甚小,这一端相当于一个硬质界面。
这种类型的振动模式和上述“一端哨口一端封闭”的振动模式完全一样,只不过开放端在屁股,封闭端在嘴巴。
对于*片簧**来说,它本身的振动频率是不加共鸣管自由振动的频率,而软质*片簧**(比如芦苇片)可以轻易地与管身耦合,*片簧**实际情况发出的声音也是本身频率被管子耦合共鸣后的声音。由于*片簧**的参与,有簧乐器的声音和无簧乐器的声音都有各自鲜明的特点。
圆柱形闭口管的泛音列只有偶次泛频,因为人家只能发出奇次谐波。
3. 圆锥形乐器(也是闭口管)
比如双簧管。对于接近圆锥型的乐器来说,它都能发出奇次谐波和偶次谐波。因为其中一端管径相比另一端极小,经过开放端反射回来后的波形受其影响,波速迅速减小,几乎没有反射发生。在上面我们论证过,一端封闭的管,偶次谐波的二次反射波会与原波形反相抵消,所以只有奇数倍能留下。而圆锥形中,二次反射波被阻止了,就不存在二次反射波与原来波形相互抵消的情况,反射只存在一次。所以它可以发出全部整数倍的谐波。
如果闭口直径管子的开口内径不是完全统一的,也偏向一点圆锥形,那么也会使得它带上一些圆锥形管的特性(带上一点偶次谐波)。
3. 木管超吹
木管的声音能量来源都是哨口或*片簧**端供给的,指法(共鸣管的形态)和来自口端的能量都会影响音高。超吹主要有以下两种原理:
- 阻断了振动模式
木管我只会吹竖笛,所以我拿最熟悉的竖笛举例子。
竖笛指法表:

竖笛的背后有一个高音孔,给大拇指按的,通过打开/半打开/关闭这个孔可以获得更高的音,而其前方的其它七个孔都是用来调整基准音高的。
仔细观察,可以发现有一些音(比如3、4、5、6)在小字1组和小字2组上,前面7个手指的指法都是一样的,唯一不同在于大拇指高音孔是关闭还是半开放的,是为什么只通过高音孔就可以控制高低八度?
高音孔的打洞是有讲究的,必须打在笛身某些音高的一次谐波的波腹位置。我们知道,竖笛是双开放口管子,两端都是声压波节,最低频率是基音,那我如果在最低声压的波腹位置打个洞,那么这个点与大气联通,必然是波节,那么在这个点是波腹的频率都会“漏气”,就可以被轻松的抑制,发不出来。而此时,能发出的最低频率正好是这个频率的二次谐波(一次泛频),因为这个谐波在这个点上刚好是波节,并不影响,同时这个频率的所有倍频在这个位置也是波节,并不影响,于是整根管的振动就进入了二次谐波模式。这就是通过打“高音孔”来控制高低八度的原理。
3、4、5、6音的基频波腹刚好在高音孔附近(通过计算管长就可以轻松得出),所以可以通过这种方式抑制,获得高八度的音;而其它部分音的波腹并不刚好在这个位置,通过这种方法并不能得到高八度,所以并不是通用的。
对于一端封闭的圆柱管来说,它的驻波模式不存在二次谐波,只存在奇次谐波,所以吹出的并不是高8度的音,而是高15度的音(见泛音列),振动进入的是三次谐波模式。
圆锥管由于都能发出奇/偶次泛频,各种模式都可以。
竖笛有种“高级吹法”,全按并堵住最下方的出气孔,这样就变成了封闭管,超吹进入的是三次谐波模式,可以吹出更高的音。
而单簧管这种纯天然的圆柱闭口管则都是三次谐波模式(甚至更高)。
2. 改变气棱音的基础频率f0
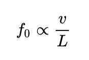
上面我们讲到气棱音公式:

其中,v指吹气的风速,L指开口直径。气棱音的基础频率与吹气速度成正比,与开口大小成反比。开口大小指的是吹气横截面,像长笛可以调整吹气角度、气流速度来稳定超吹音高,就是同时控制v和L。
而竖笛是固定哨口,无法调整吹气角度,只能调整吹气速度。吹过竖笛的应该很明白,在不同音区必须要用不同速度的气息演奏,否则音会不准。等到气流快到一定程度,f0高到一定程度,共鸣管激发的就是二次谐波模式,低音基频无法被激励或是弱于二次谐波,就可以超吹出高八度的音,甚至是高12度的音(竖笛高于高音7的音都是这种方式),或是更高的音。
3. 改变*片簧**振动模式
对于*片簧**乐器,加快空气流速可以使*片簧**本身进入更高的振动模式,*片簧**进入更高的振动模式后,输入声压的频率也会变高,耦合后产生的声音也会变高。
不仅如此,控制*片簧**的振动模式还可以通过嘴唇与*片簧**(哨片)接触位置、力度来实现。(比如吹树叶这个传统艺能,气流、嘴唇对叶子的压力位置、力度的调整可以吹出不同音高)
运用超吹技术,就可以扩宽木管音域得到更多音高。