想必很多住在高层的朋友们,都或多或少的遇到过水压小的问题。辛苦了一天,想回去美美的洗个澡时,却发现花洒喷出来的水就像毛毛细雨一样,不仅浪费时间,还让心情越洗越糟,就连日常洗菜做饭都要花半天,这种事不仅糟心,还极大的降低了我们的生活质量!出现这种情况,其实是因为城市高层住房供水、由于水泵的扬程和楼层的高度的影响,顶层的住户出现的水压不足的现象。其实这种问题也十分好解决,只需要设计一套恒压供水装置即可。

高层住宅
目前主流的设计都是采用变频恒压供水方式,不仅可以消除水泵的富裕扬程,还极大的节省了电力资源,而且为了降低小区住户的成本,还可去掉变频器,直接通过PLC中的PID对采样数据进行处理,把处理结果使用PWM脉冲输出对水泵调速控制,从而实现水压恒定不变。
基本原理
控制系统共有3台水泵,要求2台运行,1台备用,用水量处于峰值时,1台工频全速运行,1台以PWM形式运行,若水压还不够,则两泵均应工频运行;用水为低谷时,只需1台采取调速方式运行。通过液位变送传感器感知上水槽水压的变化,其输出的电压信号Vout经过三菱FX2N-4AD进行A/D转换之后送给PLC,此电压与恒压状态下设置的参考电压Vref进行比较,误差电压Veer=Vout -Vref,进而调节PWM信号的占空比以实现恒压供水。

系统框图
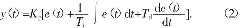
PID控制技术在连续供水控制系统中,常采用比例、积分、微分控制方式,称为PID控制。它是一种线性控制器,比例环节的作用是根据系统信号偏差来成比例地控制,减少偏差,实现闭环单回路反馈控制。积分环节的作用是控制器输出信号与偏差持续时间的关系,只要偏差存在,控制器就要发生改变,直至系统偏差为零。微分环节的作用是在偏差信号变得太大之前引入一个早期修正信号,加快动作速度,减少调节时间。PID控制公式:

式中:Kp比例系数;Ti积分时间常数;Td为微分时间常数。
PLC程序,及I/O表:













结语:信息时代,为了节省各位看官的时间,咱们直接上干货出梯形图,关于PID控制的问题,我觉得还是再出一篇文章做详细介绍比较好,所以这里就写得比较简单了,不太懂的朋友可以直接私信笔者,相信这个项目对于你们来说应该是比较简单的。