搞工程的,想必对挠度都不陌生,何为挠度?挠度,指的是比较长的杆件在一定载荷作用下,横截面相对于理论位置的偏移量。如下图,长杆件两端铰接,在均布载荷q的作用下,长杆会自然产生下垂,不难推断出中间位置的下垂量最大,称之为最大挠度。

何为挠度
在工程领域,对于一些重要关键位置必须要做挠度校核。例如,修建桥梁,需要对桥面挠度校核,挠度过大会存在安全隐患;在精密加工机床上,必须对主轴挠度校核,挠度过大会影响加工精度;在钢梁结构中,必须对关键钢梁挠度校核,挠度过大会造成钢梁损坏断裂。
简化模型过程中,一定要分清楚,梁的连接位置是固定连接还是支撑连接,不同的连接方式对计算结果产生很大的影响。笔者分享几个非常典型常用的挠度计算公式,建议收藏。
公式一:
杆件受均布载荷,q N/mm, 杆件长度Lmm, 杆件弹性模量E, 杆件截面惯性矩I,最大挠度变形量fmax

两端支撑,受均布载荷

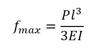
公式二:

两端铰接,梁中点受载荷P
杆件载荷P N/mm, 杆件长度Lmm, 杆件弹性模量E, 杆件截面惯性矩I,最大挠度变形量fmax

公式三:

两端固定,梁中间受载荷P
杆件载荷P, 杆件长度L, 杆件弹性模量E, 杆件截面惯性矩I,最大挠度变形量fmax

公式四:

一端固定悬臂梁
杆件载荷P, 杆件长度L, 杆件弹性模量E, 杆件截面惯性矩I,最大挠度变形量fmax

公式五:

一端固定悬臂梁
杆件载荷P且受力位置在距离固定点a处, 杆件长度L, 杆件弹性模量E, 杆件截面惯性矩I,最大挠度变形量fmax

工程实际应用:
假设有一根工字型钢梁25a,长度4000mm,两端简单支撑,钢梁上承受7吨的载荷,为简化模型,认为是均布载荷。请校核钢梁的最大挠度变形。

工字钢

25a相关参数
已知:
25a工字钢,查机械手册知截面惯性矩I=5020cm^4=5020x10^4 mm^4
一般钢材弹性模量E=210000N/mm^2,或者210Gpa
实际应用中会见到不同的单位,例如压强的单位帕斯卡,即Pa.
1Gpa=1000Mpa ,1Mpa=1000 000 Pa ,1Pa=1N/m²
因此,1Gpa=1000 000 000N/m²=1000 N/mm2
钢梁均布载荷q=70000N/4000mm=17.5N/mm
计算过程:

计算过程
注意:实际计算中要注意单位换算,单位要分子分母相同,最后都可以抵消掉。E是材料的弹性模量,是材料的固有特性,只与材料有关。比如一般钢材的弹性模量210Gpa,一般铝型材弹性模量70Gpa左右。I截面惯性矩只和受力材料截面形状、弯曲方向有关,对于常用的方管、型钢,都可以在机械设计手册中查到相关参数,对于一些圆柱形,矩形等常规截面,有一定的公式可以计算截面惯性矩,由于篇幅限制,这里就不在一一展开。
从计算过程可以得知,钢梁中间位置最大挠度变形量55mm左右,这个变形量还是稍微有点大的。建议增大所选钢梁或增加固定支撑点。