今天我就和大家分享一下,怎么计算月供,如何自己制作月供系数表,从而方便计算月供。
1、等额本息
等额本息就是每月还款本息相同,即每个月还银行的月供都是一样的意思,把银行的本息平均分摊到每个月的还款日还款。
大家都说房贷便宜,但是其实银行也要赚钱也挺 奸商 的,因为他们借钱给我们,用的竟然是复利模式而且是按月复利!(腹黑一句,为什么群众存款利息低得可怜,还不搞复利呢?),好在银行让你还的月供也是给你复利计息的,让人稍稍安慰,所以这种模式和民间借贷放高利贷所说的利滚利、驴打滚的还款不计息还是有所区别的。
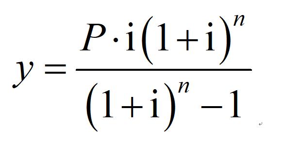
言归正传,我们先说等额本息的月供计算公式,就是下面这个

其中
y:表示月供,是月字的首个拼音字母;
P:表示本金,假如你*款贷**100万,30年,P就是1 000 000;
i:表示月息,假如你商业*款贷**基准(4.9%)上浮10%,i=4.9×(1+10%)÷12=0.449167;
n:表示月供的期数,假如你*款贷**30年,一年12个月,月供期数就是360。
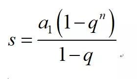
下面说下这个公式是怎么推导出来的,这当中要用到一个公式,等比数列求和公式(我附到后面再说)。
我们假设S表示本金利息和(即本息),P表示本金,y代表按揭者每月要偿还的等额月供,
那么根据复利公式,银行要获得的本息为
S=P×(1+i)n
按揭者每月要偿还的等额月供也要计息,每个月产生的月供及月供的复利利息
第1个月y×(1+i)n-1
第2个月y×(1+i)n-2
第3个月y×(1+i)n-3
第4个月y×(1+i)n-4
…
第n个月y×(1+i)0=y
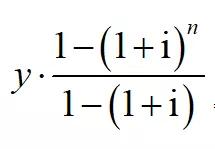
这些月供、利息和也要等于银行的本息S
S= y×(1+i)n-1 + y×(1+i)n-2 + y×(1+i)n-3 +…+ y×(1+i)2 + y×(1+i)+ y
=

PS.这里用了等比数列求和公式

同时又有银行本息 S= P×(1+i)n
因此,就容易得到(月供计算中最难计算的)等额本息的月供计算公式:

2、等额本金
等额本金的意思是每月还款的本金相同,月供的组成分为两部分,每月所还的本金相同,再加上未还本金使用一个月的利息。
月供为y(每月递减),每月所还本金为p=P÷n,其中P为本金,n为月供期数。
第1个月,本金p,需偿还利息P×i,其中i为月利率,月供为p+P×i;
第2个月,本金p,需偿还利息(P-p)×i,月供为p+(P-p)×i;
第3个月,本金p,需偿还利息(P-2p)×i,月供为p+(P-2p)×i;
……
第n个月,本金p,需偿还利息[P-(n-1)p]×i=p×i,月供为p+p×i;
所以,等额本金的规律是每个月的差额就是p×i,第一个月的月供最高,第一个月的月供为p+P×i(其中p=P÷n,P为*款贷**本金总额,n为*款贷**月供期数,i为*款贷**月利率),以后的月供逐月等额递减,递减额为p×i。
3、月供系数表的制作
因为等额本金的计算比较简单,首月月供=p+P×i,月供递减p×i。因此月供系数表只要做出1万元*款贷**的等额本息即可,余者可以类推,比如*款贷**100万,就是100乘上1万元*款贷**的系数。
只要将1万元套上基准利率、上浮比例、*款贷**年限到我们的等额本息计算公式就可以很容易算出,这里我们就不一一计算了,感兴趣的朋友可以自己用手机计算器算算看。
以下就是我制作的等额本息*款贷**系数表,大家可以直接使用。

例1:
假如某客户从建设银行等额本息*款贷**100万,*款贷**年限30年,利率上浮10%。对应上述表格中的系数就是56.09,这就意味着从建行*款贷**1万块是56.09元的月供,*款贷**100万就是5609的月供。
如果我们套用公式

那么,P=1000000,i=4.9%×1.1÷12,n=30×12=360,
经计算,最终月供 y=5609.07元。所以说,上述这个房贷月供等额本息计算系数表是相当精确的。
例2:
假如某客户从建设银行等额本金*款贷**100万,*款贷**年限30年,利率上浮10%。
他的月供就是:
首月的月供=1000000÷360+1000000×4.9%×1.1÷12=7269.44元
以后月供是等额递减的,差值=1000000÷360×4.9%×1.1÷12=12.48元
即
第1个月的月供:7269.44;
第2个月的月供:7256.96;
第3个月的月供:7244.48;
……
余此类推,依次递减 12.48 元。
4、等额本金和等额本息的优劣
等额本金和等额本息各有千秋,前者利息少,但前期还款压力较大;后者每月还款额固定,但是利息较多,优点是每月还款压力较小。
5、要不要提前还款
其实很简单考虑下经济效益,比较房贷、投资两者的收益率高就行了!
来源:网络
免责来源:凡注明 “来源:XXX”的图文内容,版权归原作者所有,本平台转载旨在分享交流,并不代表赞同文中观点和对其真实性负责。仅供读者参考,不用作商业用途。如涉版权等问题,请尽快联系我们,我们将在第一时间删除。
为什么买房时大家都抢这一层?行家透露楼层间的秘密,你了解吗?
随着城市的发展,越来越多的高楼拔地而起,电梯小高层和高层成为了新房的“主流”。电梯房高层住宅项目从楼层上分为10—12层的小高层以及13—24层的高层,却有不少高层住宅却没有“13”、“14”层的设置,而是以“12B”“15A”代之。更有甚者,连“18”这样的争议楼层都被取消了(或许因此令人联想到了“十八层地狱”)
其实数字本身没有什么特殊含义,却成了疑神辟邪的牺牲品,实在令人哭笑不得。除开这些,在楼层的高低选择上很多人也有不同的看法。有人说高的空气好、日照多、风景佳;有人言低的接地气、出行快、更安全,让我们一起来看看高低楼层各有哪些利弊。

一层至三层的利与弊
利:当发生意外时,比如地震、倒塌、火灾等事故,一层至三层当属最安全的楼层了。尤其是对那些有小孩的家庭而言,更是如此。综合各方面因素,如果是普通老式的五、六层楼高的住宅,三层是最理想的。
弊:一层至三层,在居住方面可能会很不安静,如果临街,受路上的汽车尾气、扬尘污染最重。在一些老小区,地下室还会返上来潮气,而且更易受到蚊虫的侵扰。此外,一楼还最易遭盗窃。

四层至六层的利与弊
利:对于高层住宅来说,从环境的角度来看,四层至六层安全性最好。
弊:如果电梯出现故障,或者是电梯拥挤的时候,四层至六层可能对于老年人和小孩来说,上下楼会很不方便。

七层、八层的利与弊
利:对于高层住宅楼来说,七层、八层是"黄金楼层"段。这个楼层安静,不受汽车尾气等影响,并且也不至于让人达到恐高的程度。
弊:七层、八层对于人们来说,虽然居住方便,但是对于有心脑血管疾病的人来说,是最不适宜居住的,因为气压会很低,很容易让人感觉上不来气,所以有心脑血管疾病的人切勿购买。

九层至十五层的利与弊
利:从九层到十五层及以上楼层,是最明亮的楼层。最高的树也达不到这个高度,因此光线不易被遮挡。
弊:如果在这几层上下有排放废弃物的管道,那么这几层所受的影响是最大的。

十六层以上的利与弊
利:视野最好,空气最清新。住宅楼暖气是往上升的,所以十六层以上最暖和。
弊:在一些老旧小区,高层住宅楼一般水压较小,有时会出现停水的现象。而且,生火灾时不易逃生,并且火灾散发的有毒气体都是由下向上扩散的,因此是最危险的楼层。
来源:网络
免责来源:凡注明 “来源:XXX”的图文内容,版权归原作者所有,本平台转载旨在分享交流,并不代表赞同文中观点和对其真实性负责。仅供读者参考,不用作商业用途。如涉版权等问题,请尽快联系我们,我们将在第一时间删除。