在追求建筑高品质的过程中,我们难免碰到这样一个问题, “如何把柱子截面做得更小?”
从宏观来看,把压柱变为拉柱,柱截面可以减小;解除柱子的抗侧需求,将框架柱变为摇摆柱,柱截面可以减小。但更常见的问题,其实是:在既有条件下,如何减小框架柱的截面尺寸?
在结构工程师眼中,这是一个没有太多技术含量的硬骨头,因为受力并没有减小,只能硬扛。但在某些建筑师眼中,柱子截面大小,是结构工程师技术水平的象征。虽然我们知道这是没道理的,但我们得讲道理。
当承载力需求不变,边界条件确定,材料等级确定,想要减小柱子截面,其方法无非以下几种:
1) 柱子为钢筋混凝土柱时,需要采取提高轴压比限值的措施,具体为《高规》6.4.2条注4或注5。即采用12@100的井字复合箍,轴压比限值可增加0.10;配置纵筋配筋率不小于0.8%的芯柱,轴压比限值也可增加0.05;
以抗震等级一级的框剪结构中的框柱为例,柱轴压比限值为0.75,采取两项措施之后,轴压比限值可增加至0.75+0.10+0.05=0.90;
柱子的轴压比承载力为0.90fcAc.
2) 如果钢筋混凝土柱还是无法满足截面需求,一般考虑型钢混凝土柱,即采用钢骨提高柱子的轴压比限值。
依然参考《高规》,抗震等级为一级的SRC柱,轴压比限值为0.70.
我们来算算。以直径为φ1500mm的柱子为例,混凝土强度C60,钢筋HRB400,型钢Q390;
当柱子含钢率为2.6%时,SRC柱的轴压比承载力与0.9fcAc相当。也就是说,柱子含钢率大于2.6%时,从控制柱子轴压比的角度看,尚可继续优化柱子截面。
3) 紧接着,我们会考虑钢管混凝土柱。
翻开《组合结构技术规程》(JGJ138-2016),圆形钢管混凝土柱有套箍指数、钢管径厚比、长细比的规定,但没有轴压比的规定。
什么意思呢?钢管混凝土柱可不受轴压比控制。看到这里,思路一下打开了。我们不禁好奇,钢管混凝土柱的截面究竟可以做多小?
当规范在某处为我们开了一扇窗,必然在另一处关上了一扇门。结构是不可能飞起来的,我总是这么提醒自己。
对受压柱来说,控制了轴压比,我们还要关注“正截面受压承载力”。
钢管混凝土柱的正截面受压承载力恰恰控制了柱截面。
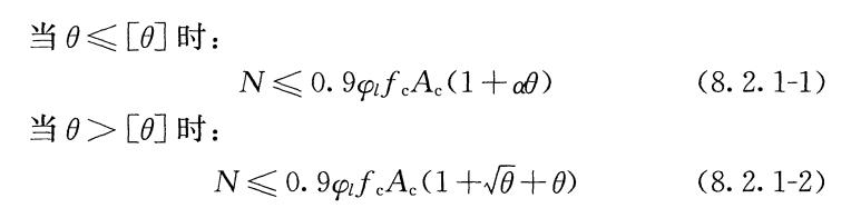
16版的《组合结构技术规程》规定的轴心受压柱正截面受压承载力计算公式如下:

这里面的θ是套箍指数,其计算公式为faAa/fcAc,其值介于0.5~2.5,α和套箍指标界限值如下:

从公式来看,括号里面的αθ及根号θ+θ即为钢管混凝土的承载力增加值。如α取1.8,套箍指标界限值取1.56,假设套箍指数θ=1.5,则公式8.2.1-1对应的增加量为2.7;公式8.2.1-2对应的增加量也约为2.7。
这个增加量可以拆分为两部分,一部分是钢材本身引起的增加量,另一部分是套箍效应引起的增加量。前者对应套箍指标1.5,后者对应套箍效应2.7-1.5=1.2。
2.7是一个很可观的量,相当于把混凝土强度提高了1+2.7=3.7倍。
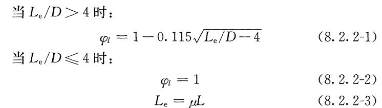
这确实比混凝土,型钢混凝土都厉害。但别高兴太早。公式里面还有一个长细比折减系数φ l 。
有一颗直径1.4m的钢管混凝土柱,等效计算长度Le=18.0m,Le/D=12.86>4.0。

此时,长细比折减系数为φl=0.658。相当于把钢管混凝土柱承载力直接打六六折,挺狠的。
作为对比,我们看看混凝土柱的承载力折减系数,也叫轴压构件的稳定系数。

当长细比为12.86时,混凝土柱的稳定系数仅为0.90。
再看型钢混凝土柱轴心受压稳定系数。

按柱直径确定的长细比为12.86,换算为截面回转半径确定的长细比,其值约为51.4,对应稳定系数取为0.90。
0.658/0.9=0.73
钢管混凝土柱,由于套箍效应的存在,承载力提高了1.2倍,但稳定系数却折73%,所以承载力为0.9XfcAc(1+1.5+1.2)X0.9X0.73=1.6fcAc,其值与配置相同含钢率的型钢混凝土柱无异。
钢管混凝土柱是一个好东西,但在实际应用中却被卡脖子了。
如何突破卡脖子技术?
我们翻出了另一本规范《钢管混凝土结构技术规范》(GB50936-2014),相比16版的组合规范,这算是老规范了。
这本规范给出的承载力折减系数如下:


上述公式按长细比对折减系数的计算方法进行了细分。
当长细比为12.86时,我们采用公式6.1.4-2计算折减系数,其值为0.80,比组合规范计算得到的0.658要好一些,但未达到0.90.
为了弄清楚为何一个折减系数为0.658,而另一个为0.80,我们仔细阅读了两本规范的条文说明,发现文字说明一模一样。
这个系数究竟该如何取?恐怕大家也是各执一端。
当我给建筑师讲明白套箍效应之后, “钢管混凝土柱,其轴向受压承载力,是不是应该大于相同含钢率的型钢混凝土柱?” 建筑师问我,甲方工程师也问我。
我用双手卡住自己的脖子,陷入沉思。一向擅长讲道理的我,讲不出道理。
来源:JIE 构生活,获授权转载。
================================
《建筑结构》杂志是国内结构设计专业影响力最大的杂志,创刊于1971年,隶属于中国建筑设计研究院,历届核心期刊评比中均名列前茅。欢迎关注《建筑结构》微信(buildingstructure)及官网 www.buildingstructure.cn。