
医脉通编译整理,未经授权请勿转载。
导读:2019年7月3日JAMA网站公布雄激素剥夺治疗与痴呆关系的最新研究,本次研究参与者多达150000人,再次验证了ADT治疗增加前列腺癌患者的痴呆风险。本文也回顾了既往这方面的研究,希望对临床工作有所启发!

雄激素剥夺治疗(ADT, Androgen deprivation therapy)是前列腺癌的一种主要治疗手段。不过,ADT在为患者带来治疗获益的同时,也会引发多种不良反应,比如痴呆。最近,一项大数据研究显示接受ADT治疗的前列腺癌患者痴呆风险增加。该研究由宾夕法尼亚大学Ravishankar Jayadevappa博士及其同事于7月3日发表在JAMA Network Open网站上,再次验证ADT与痴呆二者关系。
研究简介
这是一项回顾性队列研究,采用美国国家癌症研究所数据,纳入1996年至2003年间新诊断为前列腺癌的老年患者。研究对象为确诊前列腺癌后两年内接受ADT治疗的患者。随后,在随访期间对ADT治疗与痴呆或阿尔兹海默症之间的关系进行分析。

图1 试验设计
自1996年至2003年间,共295733例男性诊断出前列腺癌,154089例符合研究纳入标准。其中,62330例患者(平均年龄76岁)在前列腺癌诊断后两年内接受ADT治疗(ADT组),91759例(平均年龄74.3岁)未接受ADT治疗(对照组)。试验平均随访时间为8.3年(4.7年)。

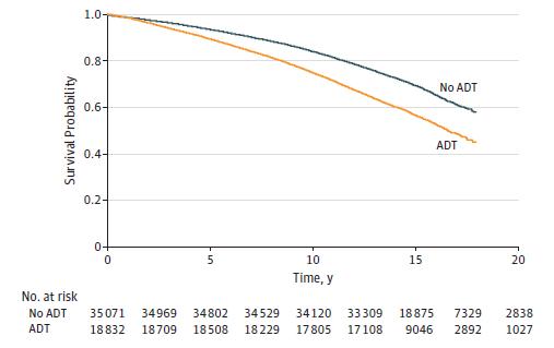
图2 痴呆生存曲线。ADT组与对照组患者相比,诊断痴呆的风险明显更高
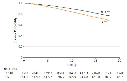
研究结果显示,与对照组相比(下同),ADT组患痴呆的风险显著增加20%,患阿尔茨海默症风险增加14%。接受1~4剂量ADT治疗的患者,痴呆和阿尔茨海默症风险都增加了19%;接受5~8剂量ADT治疗痴呆风险增加24%,阿尔兹海默症风险增加28%;接受超过8剂量ADT治疗痴呆风险增加21%,阿尔兹海默症风险增加24%。

图3 阿尔兹海默症生存曲线。ADT组与对照组患者相比,具有更高的阿尔茨海默症诊断风险
复制链接并搜索可查看英文原文:https://jamanetwork.com/journals/jamanetworkopen/fullarticle/2737101。
讨论
本研究表明,在前列腺癌诊断后的8.3年随访时间里,ADT暴露与患痴呆或阿尔茨海默症的风险增加有关。这种关联在不同剂量组中持续存在。此外,也观察到剂量-反应关系:接受8剂量以上ADT的患者诊断痴呆和阿尔茨海默症的风险明显高于接受较小剂量ADT的患者。
虽然本研究表明ADT与痴呆之间存在关联,但无法进一步阐明这种关联的生物学机制。值得注意的是,痴呆可能在认知障碍前有10年或更长的潜伏期,在诊断前很多年就已存在脑脊液、血清和神经影像标志物的改变。因此,ADT可能对痴呆的发展具有修饰或增强作用。
局限性
本研究患者年龄≥66岁,因此,研究结果可能无法代表其他年龄段。痴呆或阿尔茨海默症的判定标准可能因医生而异,不同医生的认识可能存在很大差异。另外,本研究对ADT与痴呆或阿尔茨海默症之间关系的估计可能偏保守,因为在缺乏痴呆诊断代码的情况下,患有痴呆或阿尔茨海默症的男性可能被错误地分到对照组。
未来的研究应尝试阐明ADT暴露与痴呆之间可能存在的生物学机制,并对这种关联进行前瞻性分析。确定这种关联是否由长期雄激素抑制介导是至关重要的,特别是在前列腺癌治疗过程中,第二代抗雄激素的双雄激素阻断作用更早。目前尚不清楚长期接触双雄激素阻断剂是否会增加后续痴呆的风险。
回顾
其实早在2017年,JAMA Oncology发表过一篇对9272例前列腺癌患者的研究。该研究显示,与未接受ADT治疗相比,接受ADT治疗患者痴呆风险增加两倍。根据研究结果,接受ADT治疗的患者5年中发生痴呆的绝对风险为7.9%,而未接受ADT治疗为3.5%。
(背景阅读:前列腺癌:雄激素剥夺治疗或造成痴呆?)
此外,近期在芝加哥召开的美国泌尿外科协会年会(AUA)上,来自哈佛大学医学院附属布莱根妇女医院的Karl Heinrich Tully博士及其同事作了汇报。据称,这是一项纳入100414例66岁以上前列腺癌患者的回顾性研究,结果表明接受ADT治疗与未接受ADT治疗相比,患者痴呆的风险显著增加22%,阿尔茨海默症的风险显著增加29%。
不过,也有研究并没有证实ADT治疗与痴呆之间的关系。例如,加州大学圣地亚哥分校医学院Rishi Deka博士领衔的一项研究,纳入圣地亚哥退伍军人事务部卫生保健系统诊断为非转移性前列腺癌的男性。通过对45218例前列腺癌患者进行6.8年的跟踪调查发现,ADT治疗与任何痴呆、血管性痴呆和阿尔茨海默症之间没有显著关联。
医脉通编译整理自:
[1] Nead KT, Gaskin G, Cheser C, et al. Association between androgen deprivation therapy and risk of dementia. JAMA Oncol. 2017;3:49-55. doi: 10.1001/jamaoncol.2016.3662
[2] Jayadevappa R, Chhatre S, Malkowicz B, et al. Association between androgen deprivation therapy use and diagnosis of dementia in men with prostate cancer. JAMA Netw Open. 2019. Published online ahead of print. doi:10.1001/jamanetworkopen.2019.6562
[3] Krasnova A, Tully KH, Epstein M, et al. Risk of dementia following androgen deprivation therapy for treatment of prostate cancer. Presented at the 2019 American Urological Association annual meeting held May 3-6 in Chicago. Abstract PD30-12.
[4] Deka R, Simpson DR, Bryant AK, et al. Association of androgen deprivation therapy with dementia in men with prostate cancer who receive definitive radiation therapy. JAMA Oncol. 2018;4:1616-1617. doi: 10.1001/jamaoncol.2018.4423