在阅读此文之前,麻烦您点击一下“关注”,既方便您进行讨论和分享,又能给您带来不一样的参与感,感谢您的支持。
文|混史小郎君
编辑|混史小郎君
«——【·简介·】——»
使用浸涂方法将具有不同I2浓度的合成PEO:I2复合复合膜沉积到熔融石英基底上,PEO 薄膜与I2的结合提高了复合材料的电导率,当I2重量百分比为7时,电导率最高可达 46 mS/cm, 利用紫外-可见光区域的透射率和反射率光谱研究了复杂复合薄膜的光学和光电性能。
PEO的透过率随着I2含量的增加而降低,根据这项研究,随着I2的增加,光学带隙能量从 4.42eV降低到3.28eV,含量从0wt% 增加到7 wt%,此外,PEO薄膜的折射率在1.66和2.00之间。
纯PEO薄膜的1HNMR谱显示在3.224ppm和1.038ppm处有两个主峰,不同宽度的峰分别归属于非晶相中的可移动聚合物链,而宽的成分分别归属于结晶相中较刚性的分子,通过将I2添加到PEO, 两个峰都移动到较低的NMR频率,表明I2充当路易斯酸,而PEO充当路易斯碱。

聚环氧乙烷因其成本低、化学和电化学稳定性高、还原过程稳定性高以及金属离子良好的溶解性而成为重要的聚合物电解质,PEO对于燃料电池、锂离子电池、混合动力超级电容器等实际应用的重要性。
由于离子团聚物吸收和散射电磁光子,将无机离子掺入聚合物中会降低透明度,这些复杂的复合薄膜在先进光电器件中具有诱人的应用, 在本研究中选择PEO作为主体聚合物的主要原因是其半结晶性质,以及可见光的低吸收率。
聚合物的电导率通过加入电子供体或受体而增加,碘被选为聚合物中的电子受体掺杂剂,因为它对光学、电学和介电性能有显著影响,根据之前的研究, PEO:I2是一种有效的复杂复合材料,因为离子电导率和介电性能存在显著变化。

先前研究了PEO薄膜中碘掺杂对介电弛豫、X射线光电子能谱和形态特性的影响,为了进一步调整电学性能,如折射率、光学带隙,并更好地了解 PEO 相互作用的本质,本研究提出了不同掺杂水平的 PEO 聚合物与无机填料的复合材料I2, 讨论了不同离子浓度的PEO:I2复合复合膜对光学和电学性能的影响。
«——【· 制备 ·】——»
MW300.000g/mol的聚环氧乙烷和MW 253.8089g/mol的碘获自Sigma-Aldrich,所有溶液均在无水甲醇中制备,将1.0gPEO溶解在100mLMeOH中, 在45°C下搅拌5小时,制备 PEO/MeOH 聚合物储备溶液。

通过在室温下搅拌5小时将0.1gI2溶解在100mL MeOH中来制备I2/MeOH的离子储备溶液,将20mLPEO/MeOH 与计算体积的I2混合,制备含有0、1、3、5 和 7 wt% I2的复合溶液通过超声波水浴/MeOH直至溶液变成黄色均匀溶液。
通过浸涂技术将PEO:I2复合复合膜沉积在熔融石英基底上2小时,之后,将所得薄膜在室温下干燥24小时,得到PEO:I2复合复合薄膜, 由研究人员提出的数学模型,用于计算薄膜厚度,结果约为 500 nm。
通过使用FTIR显微镜HYPERION 3000和HN MAS NM分析化学结构,研究了PEO:I2复合材料的掺杂机制, 还使用SevenGo Duo SG23电导率-pH 进行电导率和 pH 测量, 并使用具有总内部积分球的紫外-可见分光光度计检查复合溶液的吸收带,通过热重分析研究热稳定性。

纯PEO薄膜的1H NMR谱显示在1.038 ppm和3.224 ppm处有两个不同宽度的主峰,特征上,窄组分可以毫无歧义地分配给无定形相中的可移动聚合物链,而宽组分分配给结晶相中更刚性的分子。
因此,1.132 ppm 和 3.174 ppm 处的峰分别属于晶相和非晶相,非晶相峰在室温下具有对称形状,而结晶相的NMR峰仍然是宽的不对称卷积峰,表明结晶相仍处于刚性玻璃态,介绍2进入 PEO 基质会导致两个峰的线宽增加, 但与非晶相相关的峰的变化更为明显。
通过将I2添加到 PEO,两个峰都移动到较低的 NMR 频率,表明 PEO 中的质子具有更高的电子密度,这意味着I2充当路易斯酸,PEO充当路易斯碱,因此分子碘通过电荷转移机制与PEO分子发生有利反应, 形成电荷转移复合物,电子自旋共振光谱证实了这一点。

pH 值随着复合材料中I2浓度的增加而降低,这转化为掺杂后溶液酸度的增加,通过I2掺杂,PEO:I2溶液的电导率增加了四个数量级,当 I2重量百分比为 7 时,电导率最高达到 46 mS/cm。
此外,PEO:I 2薄膜的电导率也随着 I 的增加而提高,与纯 PEO 相关的低电导率值可归因于聚合物中的范德华相互作用以及在该聚合物中非晶相中跳跃的电荷载流子, 在PEO基质中引入I2会改变间隙态占据,从而改变电导率。
掺杂态碘的电活性可能受到两个因素的影响:第一个因素与PEO的悬空键D 0和H原子有关,第二个因素与其他悬空键态D+的产生有关,碘会在PEO中产生深层局域态,从而通过改变费米能级来导致能隙态密度变化,从而增加电导率, 复杂复合溶液的电导率远高于薄膜的电导率,这可归因于碘扩散和其他影响电导率的因素的存在

«——【· 热重分析与光电性质 ·】——»
热重分析用于研究PEO:I2复合复合材料在高达400°C的温度下的热稳定性,由于吸水、分子间/分子内键合和化学稳定性,PEO:I2复合材料的重量损失在 40–200 °C 范围内略有下降。
在 200 °C 时没有键断裂, 在200至300°C之间,纯PEO和PEO:I 2复合复合材料的失重再次下降,这反映了C-O拉伸、C-H弯曲和-CH2的消除纯PEO的拉伸,以及PEO:I 2复合材料除了CI拉伸之外的C-O拉伸、C-H弯曲和-CH2拉伸。
对于 PEO,在 325 °C 时观察到由 DTG 测定的最大失重率,随着PEO 中I 2含量的增加,该最大失重率转向更高的温度,这表明PEO:I2复合复合物与纯PEO相比具有更高的热稳定性。

PEO:I 2复合材料热稳定性的提高可归因于离子半径的差异,其中I离子半径低于O离子半径,因此,PEO:I 2复合复合薄膜预计在低于385℃的温度下保持稳定, 在该温度下可以实现大多数光学、光电和电气应用。
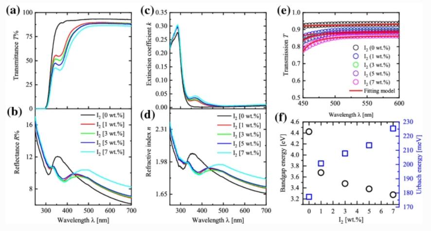
随着波长从250nm增加到400 nm,PEO薄膜的透射率光谱增加到93%,然后在400–700 nm范围内达到稳定水平,PEO:I2复合复合薄膜的透光率低于纯PEO薄膜, 但在可见光区域仍具有较高的透光率。
PEO:I2薄膜的透射光谱在 350–450 nm 范围内的大幅下降归因于I2的X到 B 能带转移,随着I2浓度的增加, 吸收边不断移入红色区域, 表明由于价带电子激发到I2离子的导带,带隙能量不断降低。

随着入射光子波长从 250 nm增加到700nm,纯 PEO 薄膜的 n 值从 2.00 减少到1.66,此外,增加PEO薄膜中的I2浓度会导致折射率随之增加,这是由于碘离子在PEO薄膜中凝结成聚碘簇。
纯 PEO 薄膜的折射率光谱在 250–350 nm 范围内大幅下降 ,PEO:I 2的折射率光谱在 300–450 nm 范围内大幅下降,纯PEO薄膜的带隙能为4.42 eV,随着PEO: I2薄膜中I2含量的增加,对于7wt%的I2,带隙降低至最小值3.28eV。
有效单振子能量和色散能量用于设计色散和光通信设备,PEO:I 2 薄膜中I 2的增加导致减少,相反,由于结合减少而导致增加薄膜元件之间的能量, 平均振荡器波长值从 197.13 增加到 198.53 nm,振荡器长度强度。

值从增加当PEO 中I 2变为和的增加是由于在 PEO 薄膜中引入 I2导致薄膜表面形貌的下降,PEO 薄膜的高频介电常数对于PEO 中7 wt% 的 I2 ,该值增加至 3.949,这也增加了载流量。
«——【· 结论 ·】——»
使用 FTIR 光谱、pH、电导率、紫外-可见吸收光谱和 TGA 研究了PEO:I 2的掺杂机理,吸收光谱的峰位置和线宽的变化是由于PEO和I2的掺入造成的,由于 C-I 伸缩振动增加,将 I2引入 PEO 会导致 535 cm–1处的峰发生移动, 电导率随着PEO薄膜中I2掺杂量的增加而增加,而pH值由于溶液酸度的增加而降低。

不同退火温度下的 TGA 和 FTIR 分析表明,纯 PEO 和 PEO:I 2复合复合材料的重量损失从 40 °C 到 200 °C 略有下降,这归因于吸附水、分子间/分子内键合和化学稳定性。
在200至300°C之间,由于消除了纯PEO的C-O拉伸、C-H弯曲和-CH2拉伸,纯PEO和PEO :I2复合复合材料的重量损失也降低了,除了CI拉伸之外,还有C–O拉伸、C–H弯曲和CH2拉伸,超过 300 °C,纯 PEO 和 PEO:I 2复合复合材料的重量损失急剧下降, 这归因于薄膜复合材料的键断裂。

PEO薄膜的透过率随着I2含量的增加而降低,而随着I2含量从0wt%增加到7wt%,光学带隙能量从4.42eV降低到3.28eV ,随着波长从700减小到350,PEO膜的折射率的值在1.66到2.00之间,并且随着I2的浓度增加到7wt%,折射率的平均值增加。
1.038 ppm 处出现的1H NMR峰可归属于无定形相中的移动聚合物链,而 3.224 ppm 处的峰归属于结晶相中较刚性的分子,该分子在室温下仍处于刚性玻璃态,通过将I2添加到 PEO 中,两个峰(无定形和晶体)都移动到较低的 NMR 频率, 表明 I2充当路易斯酸,PEO 充当路易斯碱并形成三碘化物。

参考文献:
1.《锂离子电池用聚环氧乙烷电解质》
2.《聚合物电解质:锂聚合物电池的关键》
3.《Li+导电固体聚合物电解质的替代主体材料》
4.《锂离子聚合物电解质的段弛豫和离子电导率的解耦》
5.《一种具有高离子电导率和高模量的二氧化硅-气凝胶增强复合聚合物电解质》