那是2009年初冬的一个清晨,外面大雪纷飞,第一场雪让空气清新了不少,父亲正在诊室准备医疗用品,却接到了一位失眠患者孙女打来的电话,说她爷爷失眠痊愈想表示感谢,特写了一封感谢信送来,谁知送来的不是一封普通的信,而一幅卷轴,打开一看,竟是书法手书的完整的治病过程、效果描述和感激言辞。现代社会,电脑、网络发达,人们忙忙碌碌,平时已经很少有手写书信的习惯,何况是用毛笔工整手书,更难得的是精心装裱成卷,谢意之诚溢于言表。

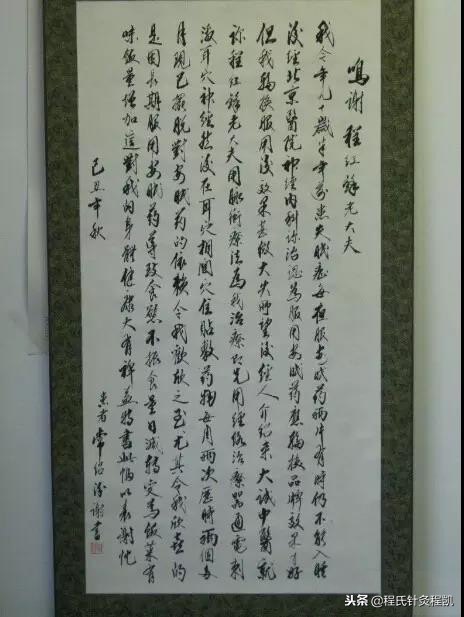
感谢信内容
鸣谢程红锋老大夫:
我今年九十岁,半年前,患失眠症,每夜服*眠药安**两片,有时仍不能入睡,后经XXX神经内科诊治,认为服用*眠药安**应转换品牌效果才好,但我转换服用后,效果甚微,大失所望,后经人介绍来大诚中医就诊,程红锋老大夫用脉冲疗法,为我治疗,以先用经络治疗器通电刺激耳穴神经,然后在耳穴相关穴位贴敷药物,每周两次,历时两个多月,现已摆脱对*眠药安**的依赖,令我欢欣之至,尤其令我欣喜的,是因长期服用*眠药安**,导致食欲不振,食量日减,转变为饭菜有味,食量增加,这对我的身体健康大有裨益,特书此幅以表谢忱。
己丑年秋 患者 XXX谢书。
父亲研究耳穴多年,颇有心得,特别是用耳穴治疗失眠,尤其是顽固性失眠,多有奇效。
Tips:很多人喜欢用*眠药安**对付睡眠问题,但这不是根本解决问题的办法。*眠药安**是一类对中枢神经系统产生抑制作用,有镇静和催眠的作用。长期服用*眠药安**对人体有许多危害。研究表明失眠病史较长,并服用*眠药安**物,极易引发内分泌的紊乱,并出现了头痛、*疮痤**、急躁、易怒、焦虑或抑郁等系列症状。对心动过缓的老年人更不宜服用过量,以免镇静过深引发脑血管疾病,甚至导致呼吸骤停的危重情况出现。
父亲的耳穴治疗方法怎么会有如此神奇的效果呢?要知道,这也是程氏针灸具有非常独特疗效的方法之一,且听我慢慢道来。
●潜心研究——找出最优耳穴组方
父亲研究耳穴,与他人不同。早年我去他诊室,经常看到他的窗户或镜子上粘着许多纸条,上面多写着穴位的名称,那是父亲在众多的耳穴中一个一个的筛选组合,不知重复了多少遍,终于找出应对不同病症的优效穴组。

以失眠为例吧,有效的穴位包括神门、肾、肝、胰胆、脾、胃、小肠、耳中、口、枕、三焦、额、皮质下、垂前、心脏点、失眠穴等,根据不同情况组合应用。而多数人都有较好效果的基础处方则由神门、口、垂前、枕、肝五个穴位组成。我试验过,单用这五个穴位,多数失眠症状都有所缓解。记得有一年,父亲接受了合肥一家电视台的采访,报道了父亲治疗失眠的疗效,结果患者纷纷打电话要求治疗。父亲分身乏术,就把这几个穴位告诉了在合肥的几个刚毕业的医生,没想到病人越治越多。因为疗效好,一传十,十传百,连附近郊县的都赶来治疗,电视台还做了跟踪报道。这个处方没有任何副作用,适用于各种类型的失眠问题,大家放心用吧。
●用穴如用兵——自制多头电极分清主次
爷爷(程莘农)年轻时跟随当时的温病大家陆慕寒公学习中医内科,对于中药的药性有比较透彻的认识,后从事针灸,对腧穴与中药、中药处方与针灸处方做到了融会贯通。他认为用药用穴都是在中医学基础理论指导下进行的,穴位和中药的作用常有异曲同功之妙。例如,补中益气,用药则用补中益气汤,用穴则用百会(类似升麻、柴胡)、关元、气海(类似人参、黄芪)、足三里(类似白术)。
这种思想也深深地影响了父亲,别人用耳穴,只是一组穴位不分主次,父亲用耳穴,却如方剂处方,分清主穴配穴。父亲说,治病如打仗,用穴如用兵,没有统帅,士兵怎么知道打哪里,没有主穴,治疗又如何快速起效?
一般来讲,耳穴神门多为失眠处方中的主穴。但怎样分主次进行刺激呢?爱钻研的父亲想了一个绝妙的主意——多头电极电脉冲治疗法。

普通的电脉冲仪只有正负两个电极,只能同时刺激两个穴位,而且难分主次。父亲亲手用废旧电线焊制了一个爪状的电极,有四个分支,每个分支顶端用锡焊了一个突起的圆点,以起到穴位按压与刺激的作用。还制作一个导电的夹子,夹子夹于主穴神门上,接正极,由于是耳朵正背相夹,对神门穴的刺激量较强。爪状电极用胶布分贴于配穴上,接负极,由于是多头共同一个电极,而且胶布贴压,则刺激量较弱。
用这种方法分出了主穴与配穴,加上多穴协同起效,疗效自然没的说。
精益求精——耳穴压籽都要用中药泡制
用多头电极脉冲仪治疗每次也就15-20分钟,治疗后为延长对耳穴的刺激,加强疗效,还要埋上药籽。其实这个药籽也是一味中药,叫做王不留行。
王不留行,从这个名字我们就可以看出这个药具有很好的活血通经的效果,即使是有皇帝的命令也不能让它停留,所以叫做王不留行。此外,王不留行还是重要的催乳的药。中医有俗语叫“穿山甲、王不留,妇人吃了乳长流”。而现在,除了用于产妇的催乳以外,还有很多养奶牛的,在饲料中添加王不留行籽,发现对于奶牛也有很好的催乳作用,可以提高乳牛的乳汁产量。
Tips:王不留行药籽的贴压法
将王不留行籽贴附在0.6厘米×0.6厘米大小胶布中央,用镊子挟住,贴敷在选用的耳穴上,每日自行按压3~5次,每次每穴按压30~60秒,3~7日更换1次,双耳交替。刺激强度以患者情况而定,一般儿童、孕妇、年老体弱、神经衰弱者用轻刺激法,急性疼痛性病证宜用强刺激法。对皮肤过敏者,可选用脱敏脱布。

但是父亲还要精益求精,小小的王不留行药籽,还要用特殊配制的中药泡制,以增加疗效。这个处方虽然出于程门,但告诉大家也无妨,希望帮到更多人,只是制作工艺稍微麻烦一点。
石菖蒲15g 牡丹皮12g 女贞子12g 当归15g 白芍15g、郁金10g 炙黄芪15g 茯神10g 远志10g 益智仁10g
按量取上述中药泡洗干净,一并研末后,上锅炒热,与王不留行籽500g一起放于干净干燥的瓶中密封,密封时加冰片1g。约半个月后取出去末,留药籽,再用75%酒精洗净,晾干备用。
为什么开始要泡洗,后面还要酒精浸泡呢?父亲说药籽虽小,但要贴于耳上,而耳部穴区皮肤薄嫩,如果药籽不干净的话,容易引起感染。父亲真是仔细,不仅将点滴心思花于治疗的每一个环节,而且还尽量为患者考虑周全,难怪深得患者好评。
正是,医者多用心,患者多有福啊!
父亲已是古稀之年,身体欠佳,三亚大诚中医筹办之际,便劝父亲去三亚这个蓝天碧海的地方修养,父亲舍不了北京的患者,一再劝说才能成行,三亚大诚中医开业,最高兴的是父亲,因为解决患者的病痛是老先生最大的快乐。
程红锋国医大师、中国针灸界泰斗程莘农院士长子。程氏针灸第三代传承人。大诚中医创始人之一。中国中医科学院退休专家,中国针灸学会耳穴诊治专业委员会委员,香港耳针学会学术顾问。
行医四十余载,承家学,纳百家,更潜心研究耳穴,创"程氏疗法"。擅长:使用耳穴治疗失眠、甲状腺相关疾病、戒烟、戒酒、头痛、三叉神经痛及莫名疼痛;运用梅花针治疗青少年近视、远视、儿童弱视,疲劳综合征、面部*疮痤**、*褐斑黄**等。
大诚中医 各门诊地址及约诊电话

北京大诚中医针灸医院(远大路青清商厦店)
地址:海淀区远大路39号青清商厦二层
电话:(86-010) 62800148-8000、8004
北京大诚光中医门诊部(西大望路外企大厦店)
地址:朝阳区西大望路15号院4号楼外企大厦B座三层
电话:(86-010) 67771608-0
上海大诚中医门诊部(华石路徐汇店)
地址:上海市徐汇区华石路 81 号
电话:(86-021) 64812208
石家庄大诚中医门诊部(试营业)
地址:石家庄新华区联盟西路366号宏基商城二楼F2-02
电话:(86-0311) 68002025
三亚大诚中医门诊部(海南三亚鹿回头店)
地址:海南三亚市天涯区南边海路352号三亚钟情会所主楼一层
电话:(86-0898)88989111
青岛大诚中医门诊部
地址:山东省青岛市市北区南京路236一5号
电话:(86-0532)80977070
—— END——
文字 | 程氏针灸
图片 | 来自网络
如需转载请联系我们授权
欢迎微信关注“程氏针灸”公众号 了解更多中医知识,分享,健康就在身边。