#阿司匹林# #心脏病# #心脑血管疾病的预防#
绝大部分人吃阿司匹林都是小剂量服用75-100mg/天。难道每个人吃药的剂量都一样吗?
当然不是,不同的疾病、发病时间的不同,可能服用阿司匹林的剂量是不相同的。
可能某些人在某一段时间内需要吃到负荷剂量。每年吃掉4万吨阿司匹林,是不是吃多了?(阿司匹林之13)

“首剂加倍”是指首次服用某种药时,用药量要加倍。
任何药物都要达到一定的血药浓度才能发挥药效,为使药物迅速达到稳态血药浓度,通常第一次给予常用量的加倍量(又称负荷剂量),以使药物尽可能在最短的时间内达到血药浓度的稳定状态。
如果首剂不加倍,只给与常规剂量,不能迅速达到有效药物浓度,并不会起到明显的疗效,延误疾病治疗。

哪些人需要给予负荷剂量?
- 急性冠状动脉综合症或急性缺血性脑卒中患者起病后应尽快给予负荷剂量阿司匹林300 mg,之后长期使用阿司匹林75~100 mg/d维持。心脑血管疾病者阿司匹林应该吃多长时间?(阿司匹林之 11)
- 以往未规律服用阿司匹林的患者,血管支架植入术前予阿司匹林300 mg口服,例如冠脉支架、颈动脉支架、脑血管支架等。(对于长期服用阿司匹林的患者,术前无需停药。)
- 无禁忌证的非溶栓脑梗死或心肌梗死患者,应在发病后尽早给予口服阿司匹林150~300 mg/d,急性期过后可,改为预防剂量100 mg/d。
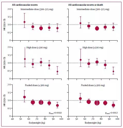
小剂量阿司匹林对体重为50-69 kg人群心血管事件的预防效果最佳,特别是每日服用阿司匹林者
大剂量(300-325 mg或500 mg)阿司匹林可降低≥70 kg人群心血管事件风险。

基于不同体重,大剂量阿司匹林与对照组在心血管事件或死亡的对比结果
(此处已添加医疗卡片,请到*今条头日**客户端查看)
日拱一卒,健康一天。
了解更多,关注*今条头日**魏向阳医生。
参考文献:
Rothwell PM, Cook NR, Gaziano JM, et al. Effects of aspirin on risks of vascular events and cancer according to bodyweight and dose: analysis of individual patient data from randomised trials. Lancet. 2018 Jul 12. pii: S0140-6736(18)31133-4.