玻璃酸钠也叫透明质酸钠,具有高度的粘弹性、可塑性、以及良好的生物相容性,除了化妆品中保湿和美肤作用,在临床上也可用于皮肤损伤,促进伤口愈合,对于擦伤及撕裂伤,腿部的溃疡,以及清创术等。微源检测分享一篇关于玻璃酸钠中泡敌消泡剂的测定方法,本方法是采用液相色谱法对玻璃酸钠中消泡剂含量进行测定。在该方法中消泡剂浓度水平下和消泡剂浓度呈指数关系,考察系统适用性、稳定性等。

微源检测实验室
1、仪器和试剂
|
名称 |
型号 |
生产商 |
|
高效液相色谱仪 |
1260 |
安捷伦 |
|
分析天平 |
XPR205 |
梅特勒 |
|
名称 |
级别 |
批号 |
生产商 |
|
*腈乙** |
AR |
/ |
/ |
2、方法和图谱
色谱条件:色谱柱:/,流动相:*腈乙**溶液,流速0.7 mL/min,柱温:45°,进样量20uL,时间30min
实验方法:待仪器稳定后,依次分析空白溶液、对照品溶液(6针)、校准曲线溶液(各1针)、供试品溶液,溶剂干扰和系统适用性应符合可接受标准,样品中杂质量通过标准曲线法计算。
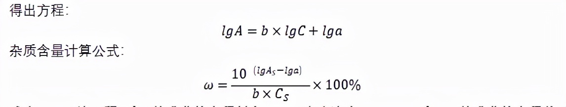
计算公式:以校准曲线溶液各点峰面积对数值对校准曲线溶液各点浓度对数值进行线性拟合,

式中:A为峰面积、为校准曲线方程斜率、C为溶液浓度,μg/mL、为校准曲线方程截距、ω为样品中杂质量、As为供试品溶液中杂质峰面积、Cs 为供试品溶液浓度,μg/mL
验证过程如下:
专属性:按照验证方案配制空白溶液、对照品溶液、校准曲线溶液、100%供试品加标溶液,依次分析空白溶液、对照品溶液(6针)、校准曲线溶液(各1针)、100%供试品加标溶液。记录空白溶液在目标峰保留时间处干扰情况,计算连续6针对照品溶液目标杂质响应值RSD。
检测限和定量限:按照验证方案配制空白溶液、对照品溶液、校准曲线溶液、检测限溶液、定量限溶液。依次分析空白溶液、对照品溶液(6针)、校准曲线溶液(各1针)、检测限溶液(3针)、定量限溶液(6针)。计算目标杂质检测限浓度并记录其信噪比,计算目标杂质定量限浓度和峰面积RSD并记录其信噪比。
3、实验结论:
|
验证项目 |
可接受标准 |
结果 |
|
|
专属性 |
溶剂干扰 |
空白溶液在目标峰保留时间处无干扰 |
空白溶液在目标峰处无干扰,符合可接受标准。 |
|
系统适用性 |
连续6针对照品溶液目标峰响应值RSD≤10% 校准曲线相关系数≥0.99 |
空白溶液在目标峰保留时间处无干扰,响应值RSD=2.6%,符合可接受标准 |
|
|
检测限和定量限 |
检测限溶液信噪比≥3 定量限溶液信噪比≥10 定量限溶液连续6针响应值RSD≤10% |
检测限浓度为5.24μg/mL,最小信噪比为16.1,定量限浓度为15.72μg/mL,最小信噪比为56.2,响应值RSD=4.9%,符合可接受标准 |
|
想了解更多关于生产消泡技术,欢迎留言。
微源检测官网--药物质量研究、杂质研究、结构确证、生物药分析、方法学开发与验证