哈喽,大家好!我们又见面了,欢迎继续关注【轩爸辅导】的【口袋数学】。日更【每日一学】【每日一练】,帮助孩子日积月累,考出好的成绩。配套辅导,哪里不会学哪里,哪里出错练哪里,帮助孩子提高效率。

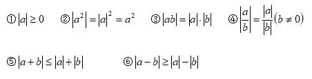
绝对值的基本性质:

大于或等于零的数称为非负数,|a|,a²是现阶段非负数的两种重要形式,他们有以下性质:
(1) 非负数最小值为零;
(2) 若干个非负数的和为零,则每个非负数都为零。
01 典型例题讲解
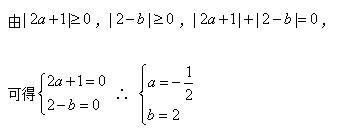
例1.已知a、b为有理数,且满足:1/2 |2a+1|+|2-b|=0,则a=_______,b=________.
【答案与解析】

【总结升华】由于任何一个数的绝对值大于或等于0,要使这两个数的和为0,需要这两个数都为0.几个非负数的和为0,则每一个数均为0.

02 举一反三练习

2、已知|a+3|+|b﹣5|=0,求:
(1)a+b的值;
(2)|a|+|b|的值.
3、已知|a+2|+|b﹣1|=0,则a+b=________
4、已知(1﹣m)²+|n+2|=0,则n+m的值为( )
A. ﹣3 B. ﹣1 C. 3 D. 不能确定
5、求满足|a-b|+ab=1的非负整数对
03 参考答案解析
1. 【答案】 ﹣1
【分析】根据一个数的平方是一个非负数及一个数的绝对值是一个非负数,可判断a+3=0及b-2=0,从而得到a、b的值代入计算即可。
【解答】根据题意得,a+3=0,b−2=0,
解得a=−3,b=2,
所以,

故答案为:−1.
2. 【答案】
(1)解:由题意得,a+3=0,b﹣5=0, 解得a=﹣3,b=5,
所以,a+b=﹣3+5=2
(2)解:|a|+|b|=|﹣3|+|5|=3+5=8
【分析】根据非负数的性质列式求出a、b的值,然后分别代入代数式进行计算即可得解.
3. 【答案】﹣1
【解答】解:根据题意得,a+2=0,b﹣1=0,
解得a=﹣2,b=1,
所以,a+b=﹣2+1=﹣1.
故答案为:﹣1.
4. 【答案】 B
【解答】解:由题意得,1﹣m=0,n+2=0,
解得,m=1,n=﹣2,
则n+m=﹣1,
故答案为:B.
5、【答案】
解:∵|a-b|≥0,
∴-|a-b|≤0,
∴1-|a-b|≤1,
又∵|a-b|+ab=1,
∴1-|a-b|=ab,
∴ab≤1,
又∵a、b是非负整数,
∴a=1,b=1;a=1,b=0;a=0,b=1;
∴满足条件的非负整数对为:(1,0),(1,1),(0,1).
另解:①当a≥b时,
∴a-b+ab=1,
即(b+1)(a-1)=0,
∵b≥0,
∴a=1,
∴(1,0),(1,1),
②当a<b时,
∴-a+b+ab=1,
即(b-1)(a+1)=0,
∵a≥0,
∴b=1,
∴(0,1),
综上所述:满足条件的非负整数对为:(1,0),(1,1),(0,1).

转载请注明:轩爸辅导 » 【口袋数学】聚焦绝对值,绝对值的非负性的应用和求解