电力系统的电压等级一般有1000kV、750kV、500kV、220kV、110kV、66kV、35kV、20kV、10kV、6kV、380V、220V,到用户端,过高的电压等级或者过低的电压都会对用电设备等造成损害,今天我们来聊聊低(高)电压的危害及治理措施。
(1)低电压的产生
当线路(电力设备)传输功率时,电流将在线路阻抗上产生电压损耗,如下图:

图1 电压损耗向量图
根据欧姆定律可知,线路的首端电压和末端电压存在下列关系:

图2 电压损耗公式
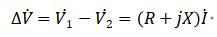
将电流用功率表示,可以转化成如下图公式:

图3 电压损耗计算公式
对于变压器等电力设备同理(公式不同)。
(2)电压的偏移要求
现行国家标准《电能质量供电电压偏差》GB/T 12325 的相关要求。各电压等级供电电压偏差应符合下列规定:
a) 110~35kV 供电电压正负偏差的绝对值之和不超过标称电压的10%,即最高电压不超过121kV。
b) 10(20)kV 及以下三相供电电压允许偏差为标称电压的±7%。
c) 220V 单相供电电压允许偏差为标称电压的+7%与-10%。
d) 对供电点短路容量较小、供电距离较长以及对供电电压偏差有特殊要求的用户,由供、用电双方协议确定。
(3)电压偏低(高)的危害
对用户的危害:用电设备在额定电压时性能最好、效率最高,发生电压偏差时,其性能和效率都会降低,有时还会减少设备的使用寿命。
1) 照明设备
照明常用的白炽灯、荧光灯等,其发光效率、光通量和使用寿命均与电压水平有关。当电压低于额定电压5%时,白炽灯的光通量减少18%;当电压低于额定电压10%时,光通量减少30%。当电压高于额定电压5%时,白炽灯寿命减少30%,当电压高于额定电压10%时,寿命减少50%。
2) 电动机
电动机的电磁转矩、效率和电流与电压水平有关。电动机的最大电磁转矩与电压平方成正比。当电压下降为额定电压的10%,转矩为额定转矩的81%。如果电压降低过多,则会导致电动机堵转或无法启动。另外,当电压降低时,滑差率增大,电动机电流显著增加,导致绕组过热,从而缩短使用寿命。电压过高时,可能损坏电动机绝缘或由励磁电流过大而过电流,缩短使用寿命。
3) 带铁芯设备
用电设备中常见的带铁芯设备包括变压器、互感器等。电压偏高时,励磁电流增大,容易导致铁损增大,铁芯温度升高。另外会导致绕组电场强度增大,加速元件老化和绝缘损坏。电压偏低时,当传输功率一定,电流增大,将增大绕组损耗。
4) 并联电容器(并联电容补偿等)
电容器输出的无功功率与电压的平方成正比,电压偏低会导致其无功出力大大降低。电压偏高会使电容电场强度增大,局部放电加强,绝缘老化,使用寿命下降,甚至会导致电容器爆炸或鼓包。
5) 家用电器
电压降低使电视机色彩变坏,亮度变暗,屏幕显示不稳定,图像模糊;空调、冰箱无法启动;电饭煲无法正常工作;电子控制设备紊乱。
6) 工业用电设备
工业用电设备的输出功率、效率和使用寿命不同程度地受电压的影响。电压偏低会使电能损耗增加,产品质量下降或报废,产量减少,设备损坏甚至停产。
对电力系统的危害:交流系统存在同步运行稳定问题,输电线路的输送极限功率受稳定极限的限值,尤其是小扰动下的稳定功率极限与电网运行的电压水平有关。电压越低,稳定功率极限越小。当电网缺乏无功功率时,运行电压低,有可能产生电压不稳定,甚至造成电压崩溃,从而可能造成大量用户停电或系统瓦解。同时电压过低或者无功功率的远距离传输,会增大电网的损耗,提高供电成本。
电压过高,则会造成系统中各种电气设备的绝缘受损,使得铁芯饱和,产生谐波,并有可能引发铁磁谐振,从而影响电力系统的安全和稳定运行。电压过高还会造成电晕损耗的增加,提高供电成本。
(4)电压偏低(高)的治理措施
通过中压线路调压器、串补装置、单相变压器、静止无功发生器、动态调压恢复器、负荷调整、输电线路线径改变、新能源接入等治理装置进行电压的提升。
另外,电压的分布与无功功率的分布有很大关系,后面有机会再聊。