弯沉值作为道路工程的主控项目,其直接非常重要的关系到道路的强度及承载能力,路基、基层、面层均涉及弯沉值。就弯沉值的施工技术及检验评定,有的建设从业者可能了解得还不够全面及深入。在此,作者结合自身工作经验,就弯沉值相关技术及评定方法作个全面总结,并实例步骤适用地讲解弯沉值的计算及评定过程,仍期望对您学习及工作有所帮助或提高!
1、弯沉值是什么
弯沉值是表征道路路基、基层、面层的强度指标;就是通过荷载加载作用下,路基、基层、面层发生变形的大小,采用1/100(亦写作0.01)毫米作计算单位。弯沉值越小,结构层强度就越高,反之亦然。道路各分项工程完后,通过弯沉值测量来检验及评定过程施工是否达到设计强度的要求,评定是否合格。
2、弯沉值如何测定
在道路工程施工中可采用落锤式弯沉仪(FWD)、自动弯沉仪及贝克曼梁测量。各测定方式简介如下:
落锤式弯沉仪:荷载 50kN ,荷载盘半径150mm,十字对称分开为4部分底部固定有橡胶片,通过落锤装置冲击记录变形数据。每个点至少测定3次,第1次数据去掉,取后面次数的平均值作为计算依据。
自动弯沉仪:用于无严重坑槽、车辙等病害的正常通车条件下连续采集沥青路面弯沉数据;测定的数据是总弯沉值,在高速公路验收及养护中经常采用。其测定结果受行驶速度(要求控制在3~4Km/h内)、横坡超高(i≯4%)影响。
贝克曼梁:标准车(双轴,后轴双轴4轮的载重车,后轴重量10t);贝克曼梁(长度有3.6m/5.4m两种,半刚性基层沥青路面、水泥混凝土路面采用5.4m;柔性基层及混合式结构沥青路面采用3.6m),一般通过车辆临近弯沉仪侧头的初始读数减去汽车驶出后终读数之差*2计算。需要修正的按相关要求执行。此乃市政道路工程中大家最熟悉的检测方式。
3、弯沉值如何划分评定单元
以1~3Km为评定路段,根据不同的类型(如路基、基层、面层)、不同的设计值(如上下基层、上中下面层)划分评定单元;长度不足1~3Km时,根据现场实际划分评定单元。
4 弯沉值检测频率有何要求
每一双车道评定路段(长度不超过1Km)落锤式弯沉仪(FWD)检测40点/自动弯沉仪或贝克曼梁检测80点;多车道在双车道检测点数基准上,按(实际车道数/2)的倍数进行。
市政道路工程按每车道20m测1点进行。
5 弯沉值计算及评定方法
5.1 评定依据:弯沉代表值大于设计要求的弯沉值时相应分项工程不合格。
5.1 公路路基、沥青路面弯沉代表值《公路工程及质量检验评定标准》(JTG F80/1-2017)计算方法(采用弯沉测量值的上波动界限):

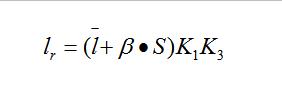
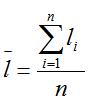
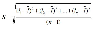
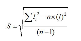
1 路基及路面弯沉代表值计算公式
式中:
---弯沉代表值(单位:0.01mm);
----实测弯沉的平均值;【批注】计算公式计算公式

2 平均值计算公式
S---标准差。 【批注计算公式1】

3 标准差计算公式1
【批注计算公式2】

4 标准差计算公式2
---目标的可靠指标。见表J.0.2

5 目标可靠值指标
K1---湿度影响系数。
【规范规定】路基弯沉测定时,根据当地经验确定;路表弯沉测定时,根据实测弯沉值通过反算得到路基模量值,修正后得到结构模量值,然后得出测试状态下的弯沉湿度修正系数,或根据当地经验确定。
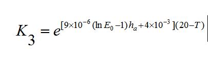
K3-路表弯沉温度影响系数。计算公式如下

6 路表弯沉温度影响系数
T---弯沉测定时沥青结合料类材料层中点实测或预估温度(℃);
---沥青结合料类材料层厚度(mm);
---平衡湿度状态下路基顶面回弹模量(Mpa).
【批注】湿度修正系数K1为标准中评定的难点,工程实施过程中各参建单位对此有不同的理解,有的单位直接认为K1=1。建议解决思路:首先由设计单位按照设计规范的规定提供出来。施工设计图中如果没有,图纸会审或后续过程中请设计单位单独提出一个验收标准,包括K1的参数取值。便于公路工程评定尺度统一。
5.3 公路料粒类底基层及基层、现行市政道路弯沉代表值计算方法:

7 公路基层及现行市政道路弯沉值评定
市政道路Za取值如下示:
沥青面层:快速路、主干道1.645/次干道、支路 1.50;
路基、柔性基层:快速路、主干道2.0/次干道、支路 1.645。
5.4 其他说明: 二级及二级以下公路,当路基、底基层、基层的弯沉代表值不符合要求时,可以将超出的弯沉特异值舍去,对舍去的弯沉值大于的点,找出其周围界限,进行局部处理,对弯沉值进行复测后重新计算平均值和标准差。高速公路和一级公路不得舍弃特异值。
6 某市政道路弯沉值评定步骤解析
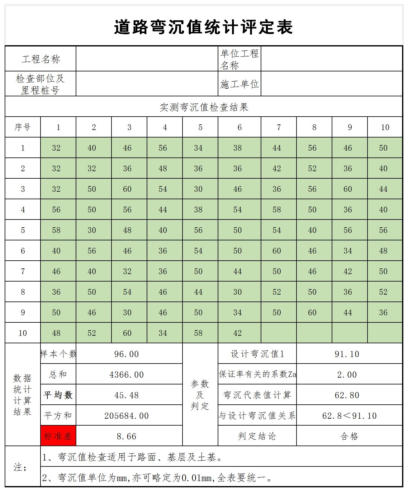
【案例】某市政道路工程,道路等级城市主干道,道路底基层设计采用200mm厚水泥含量4%水泥稳定碎石层,设计容许弯沉值91.10(0.01mm),实施时某验收段实测弯沉值如下(资料软件截图数据),请评定弯沉值。

8 弯沉值评定表
由于弯沉值录入数据较多,实例计算评定除资料软件以外一般可采用科学计算器的统计运算;电子表格EXCEL公式计算。为明明白白清清楚楚地复核及验算实体数据成果,以下以电子表格辅助计算讲解。
【步骤1】 根据相应的《检测报告》录入现场实际检测的结果数据(单位0.01mm),本例中录入数据的单元格范围为(B6:K15), 计算测点个数。

9 单元格数据录入
计算测点个数n=10*9+6=96个。
EXCELL公式计算:=COUNTA(B6:K15) 见下图示

10 样本个数计算
【步骤2】计算弯沉平均值
理论依据:平均数=样本数据总和/样本的个数
EXCELL公式计算:
样本数据总和:=SUM((B6:K15)) 计算结果4366;
样本平均值:=AVERAGE((B6:K15)) 计算结果45.48;
手动计算平均值=4366/95=45.48;
辅助计算见下图示

11 平均值计算
【步骤3】计算标准差
理论依据:标准差=[(样本所有数的平方之和-n*平均数^2)/(n-1)]^0.5;
手动计算标准差:

12 标准差手动计算
EXCELL公式计算:
标准差=SQRT((样本数平方和-n*平均数^2)/(n-1)) 见下图示

13 辅助计算标准差
【步骤4】录入设计弯沉值、查询Za
本例中设计弯沉值91.10(0.01mm)
类别主干道基层: Za=2.0。
【步骤5】计算弯沉代表值Lr
Lr=平均值+Za*S=45.48+2.0*8.66=62.80
【步骤6】比较大小及结论
62.80<91.10,结论:弯沉评定合格。
辅助计算的完全表格呈现如下

14 辅助计算完全成果表
各位朋友,文中的不足以及工程实例使用过程中有更好的建议或意见请多赐教!