近日,ANSYS 2019 R2版本正式发布, 按惯例看了下升级说明。明显ANSYS在下一盘大棋,包括前处理、拓扑优化和增材制作持续增强,面向工程师的导向式平台功能增多。
我们越用越轻松,越用越开心,使用的时候越容易忘记该记忆的东西。例如新版有丰富的材料库,对于苦于没法实验测试的工程师是好事,导致工程师眼里只有那串材料库的数据。但是那串数据的工程意义是什么?对不起,不清楚。记得有位工程师在分析模态时材料输入错误,要花一天时间重新计算。没关系,耗机时。
如此种种,希望大家真正了解下我们这份吃饭的技术,不再是拼apm的软件操作。今天,我想跟大家聊聊ANSYS Workbench结构分析4个主要的材料问题,希望能引发大家共鸣。
问题1:两种材料的杨氏模量不同,泊松比相同,同样工况下线性静力学分析结果有何差异?


答:应力结果相同,变形结果不同。这是因为应力只与模型尺寸和受所载荷有关,在同样条件下可得应力相等。当不同材料的杨氏模量不同,由于应变等于应力除以杨氏模量,则由于应变不同,进而变形结果也不同。当然如果模型受到密度不同的惯性载荷时,应力结果自然也不会相同。


问题2:定义材料为理想弹塑性本构,为什么看起来应力逐渐增大,还超过屈服强度?



答:理想弹塑性本构即为材料过屈服点进入塑性变形之后,其应力应变曲线的斜率为0,这是一种非常理想的弹塑性本构,常用于对模型塑性进行估计。
既然在塑性段应力应变斜率为0,为何在后处理应力结果图还呈现应力逐渐增大的趋势。
首先,金属材料的弹塑性变形表现为屈服点之前为弹性变形,屈服点之后为弹性变形+塑性变形,即过屈服点之后,材料依然存在弹性变形,可以在后处理弹性应变中查询。现实工程中有非常明显的例子,钣金件在标准90°凹模中冲压成型,当钣金件取出后,其成型角度一定大于90°,这就是其释放弹性变形的结果。
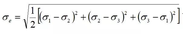
其二,模型屈服并不只是单轴应力达到屈服的表现,而是各应力分量之间满足一定条件时,所表现的状态。或言之,屈服是一种实际模型的多轴应力状态与单轴应力状态的转换形式。可以读取计算结果的三个主应力,采用

计算,会发现等效应力始终为之前在材料本构所定义屈服强度250MPa。
问题3:材料滞后曲线怎样读取?弹塑性本构中,等向强化和随动强化有什么区别?


答:若试样所受的载荷周期性地在拉、压之间变化,而且应力大于屈服强度,则应力应变曲线中将出现滞后环。环包围的面积就是在每个加载周期中,单位体积的材料以热能形式释放出来的应变能。例如将一根铁丝前后弯曲,铁丝的塑性弯曲区就会发热。
Isotropic work hardening(等向强化),是指屈服面以材料中所作塑性功的大小为基础在尺寸上扩张。对于等向强化,屈服面在所有方向均匀扩张,且在受压方向的屈服应力等于受拉过程中所达到的最高应力。由力-变形图可得,每次屈服后的屈服强度,类似我们常说的“加工硬化”。适用于大应变、单向屈服加载,不适用于循环加载。




Kinematic hardening(随动强化),是指屈服面的大小保持不变而仅在屈服的方向上移动,当某个方向的屈服应力升高时,其相反方向的屈服应力应该降低。例如随动强化中,拉伸方向屈服强度增加,导致压缩方向屈服强度降低,初始各向同性的材料在屈服后将不再是各向同性的。一般适用于小应变、双向屈服加载、低周疲劳的循环加载。
实际分析中,塑性强化有何意义?
真实材料中,两种塑性强化都是理想状态,但是由于存在塑性强化的特性,实际构件所受真实应力即便超过屈服强度也未必失效,这是因为当超过屈服强度少许时,材料主要表现强化现象,相当于提高了结构的刚度。这也是很多时候有限元计算结果超过屈服强度,但实验结果不失效的原因。例如对于过渡配合的孔轴系统,其内孔由于受到轴的挤压,呈现为微塑性状态,但是由于只存在单向压缩屈服,所以采用等向强化准则,多次挤压以后,屈服强度会略有增加,导致内孔不会失效。
问题4:古典强度理论是什么,存在什么缺陷,现代较常用的强度校核理论是什么?
第一强度理论只针对一个应力分量,不考虑其他应力分量和材料特性;第二强度理论考虑了三个主应力的影响,但是没考虑第二主应力、第三主应力的影响;第三强度理论以最大剪应力为校核对象,没有考虑第二主应力的大小和方向对强度的影响;第四强度理论对于金属材料使用最广泛,但是没有方向性,忽略了静水压力的影响;第五强度理论主要以剪应力为标准,同时对第二主应力的影响也估计不足。
以上强度理论在软件中均可以直接调用,特别是第四强度理论在软件中的使用已经到了泛滥的地步。但是通过了解滞后曲线和屈服强化后,第四强度理论不能反映拉压不同的屈服表现和静水压力。以下图阶梯轴为例,在小轴末端加载一个位移载荷,大轴末端固定约束,考虑材料非线性(定义屈服强度和切线模量),如果只考虑等效应力,得到最大应力在小轴中部;如果查看第一、第二、第三主应力,可得在轴肩外圈线存在很大的拉应力,此处明显比其它区域的压应力更容易失效。


现代一般采用应力三维度进行应力评价,如图所示。应力三维度反映了应力场中三轴应力状态和对材料变形的约束程度,直接表现塑性变形的大小形式和断裂应变能。一般表现为应力三维度越大,应力状态为拉伸,越易拉断;应力较小,材料越易剪断。同时对比不同网格尺度所得结果,由于存在塑性,所以结果变现为收敛性,结果更可靠。