发现有不少朋友对于分辨率还有很多误区,所以这次我们把关于分辨率的知识补齐。
01、P 和 K 的关系
考虑到并不是所有人的显示器都是常规的 16:9,我们先要知道所谓 1080P 和 4K 到底是什么意思。
1080P,如果长宽比 16:9 就是 1920 * 1080。
其中 P 的意思是指「逐行扫描」,1080P 的意思就是「纵向」竖着约 1080 个像素,至于横向是不是 1920 个像素都无所谓。

4K屏,长宽比 16:9 就是 3840 * 2160,显然 2160 ≠ 1080 的 4 倍,所以 1080 P 并不等于 1K !!!
4K 中的 K 是指「横向」约4 个等效像素(1024个像素为一个等效像素),横向像素 1024 就是 1K 。

而现在常见的 2K 屏幕,多是 21:9 的带鱼屏(长屏幕),分辨率为 2560 * 1080,也就是 2k、1080P。而 1920 * 1080 的屏幕,实际上约等于 2K(1920 ≈ 2048)。

当然也有 16:9 的 2K 屏,分辨率大多为 2560 * 1440。
所以,4K 就是 4096 * 2160,1080P 就是 1920*1080 这种说法太片面了,这只是电视领域(16:9)的标准。

常见分辨率对比
其他显示器领域还有很多奇怪的分辨率:
比如微软的 Surface Pro7 屏幕分辨率为 2736 * 1824,大约就是 2.5K 屏;
苹果卖 4.8W 的 ProDisplay XDR 显示器分辨率为 6016 x 3384 像素,算是 6K 分辨率;
如果有一块屏幕分辨率是 16384 * 480,那称这款屏幕就是 16K,480P 并不矛盾。
02、清晰度
分辨率与清晰度并不能直接划等号。
我们都知道屏幕成像原理,不管是「周冬雨排列」还是「钻石排列」,我们说的「像素」在物理上就是屏幕最小发光单位,通常也就是「二极管」。

如果放大很容易看到一个个「像素点」,更常见的「户外LED显示屏」,远看的时候感觉还不错,但是走进了就能清楚看到灯泡大小的「像素点」。

所以分辨率并不能代表「清晰度」,因为像素点是均匀分布在整块屏幕上的,同样的观看距离,屏幕尺寸越大,「像素」分布越稀,「清晰度」自然越低。
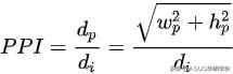
「清晰度」是一个模糊的概念,但也有专门的参数能够比较准确的表达它,那就是「PPI」,中文意思是:每英寸像素数量。

dp 为屏幕对角线的分辨率;wp 为屏幕横向分辨率;hp 为屏幕纵向分辨率;
di 为屏幕对角线的长度(单位为英寸)。
理论上,同样的屏幕面积,像素点越多,画面越清晰。但并不绝对,因为「清晰度」是个很模糊的概念。

同时用过苹果和安卓手机的朋友可能会发现,iPhone 一些老机型(包括XR),虽然只有 720P 左右分辨率,像素密度也不过 326 PPI,但实际观感却不输一些 400+PPI 的安卓手机。
这是因为决定屏幕素质的因素太多了,Apple 有独特的理解和优化,虽然分辨率不高,但屏幕色域、像素排列、可视角度、亮度等等都能影响最终体验。
03、尺寸推荐
这里只推荐电脑显示器的尺寸,手机屏幕请根据自己的手掌大小,手机重量选择。
通常人眼的视角是 120°,注意力集中时的视角只有 25°,大多数时候视角为 40° 左右。
考虑到你的显示器摆放位置距离眼睛的距离,可以带入公式:w=h×0.73。
w 显示器宽度,h为距离眼睛到显示器的距离,既 显示器宽度 = 距离×0.73 。

前面说了同尺寸下 PPI 越高,像素点越密集,同距离下看起来越清晰,所以高分屏支持大尺寸,低分屏强行买大尺寸,就会模糊。如果显示器放得足够远,即便大屏幕的低分屏也不会模糊,但放远了大屏幕也就成了小屏幕。按最常见的 0.6m 距离,小A推荐一下几个尺寸:1080P 屏幕通常 21寸、23寸、24寸比较合适,再大观感就不好了。2K 屏幕通常 23寸、25寸、27寸比较合适,再大观感就和 24寸 1080P 一样了 ;4K 屏幕通常 27寸、32寸比较合适。