技术周刊
梁端点了铰接,扭矩依然很大?
PKPM结构系列软件常见问题解析
二零二二年第三十七期
问题汇总:
Q1: 图示为恒载工况下扭矩图,两边都没有楼板,红色方框内次梁荷载、尺寸和扭矩是0.9的那根梁是一致的,圈出来的梁扭矩却很大,两端已经点铰了,这种结果是如何得出的?
Q2: SATWE中定义完交叉斜筋后,输出的ASD是什么意思,该怎么配筋?
Q3: 砌体计算,报错LDLT分解失败?
Q4: PKPM钢结构施工图连接设计的支撑节点计算书中,极限承载力验算时,钢材的强度用的是钢材的抗拉强度fu,是不是算错了,这个计算公式出自于哪里?
Q5: 模型数检提示“板定义错误(面积为0)”?
Q1:图示为恒载工况下扭矩图,两边都没有楼板,红色方框内次梁荷载、尺寸和扭矩是0.9的那根梁是一致的,圈出来的梁扭矩却很大,两端已经点铰了,这种结果是如何得出的?

图1.扭矩“疑似”异常位置
A:这是考虑变形协调的结果。首先明确,程序中点铰处理仅释放弯矩,不释放扭矩。其次,在弹性挠度结果查看可以初步判断出,如图2,“问题梁”1点相对挠度0.45,2点相对挠度5.24,梁两端位移不一致,如图3,靠近端部次梁(2点)截面与前方“主梁”相接截面变形协调,产生绕截面转动,扭矩由此而来。挠度0.9的梁同理,由于梁两端位置在搭接梁跨中,该位置由于是近乎垂直向下变形,也就近乎没有产生绕截面转动的变形。所以结果可以认为是准确的。

图2.恒载下梁挠度图

图3.梁变形示意图
Q2:SATWE中定义完交叉斜筋后,输出的ASD是什么意思,该怎么配筋?

图4.配筋简图中的“ASD”
A:SATWE计算输出的交叉斜筋[ASD]是按照《混凝土结构设计规范》(2015年版)GB 50010-2010的第11.7.10条中的Asd即为单向对角斜筋的截面面积。例如规范图示,截面1-1,钢筋标注“1”是4根交叉斜筋,程序输出的ASD是单向斜筋面积,即红色框框内的单侧两根的总面积,标注“3”即为连梁的上下纵筋位置。对于标注“2”折线筋,程序并没有考虑,需要设计人员依据规范构造自行在施工图中添加绘制。

图5.交叉斜筋配筋连梁
Q3:砌体计算,报错LDLT分解失败?

图6.异常报错
A: 一般有四种报错原因,
第一:楼层组装表存在重叠;
第二:砂浆强度为0;
第三:砌体强度为0;
第四:采用结构模块的SATWE进行计算;
此模型属于存在砌块强度为0的情况,修改后恢复正常计算。

图7.砂浆、块体强度均为0
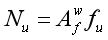
Q4:PKPM钢结构施工图连接设计的支撑节点计算书中,极限承载力验算时,钢材的强度用的是钢材的抗拉强度fu,是不是算错了,这个计算公式出自于哪里?

图8.支撑承载力验算结果
A: 建筑结构的抗震概念设计中,“强节点弱构件”的方法是保障结构安全与延性的有利措施,节点较容易发生破坏,所以设计中应保证构件先于节点发生屈曲、破坏。对于钢结构房屋中支撑的抗震设计,《建筑抗震设计规范》GB50011-2010(2016年版)第8.2.8-4提出了明确的计算要求:
支撑连接和拼接
其中:Njubr表示支撑连接和拼接的极限受压(拉)承载力;nj表示连接系数;Abr表示支撑杆件的截面面积;fy表示钢材的屈服强度;
模型中的支撑采用的是角钢截面,在前处理的特殊支撑中查看,支撑被定义为单拉杆,此时在验算支撑连接时应计算其极限受拉承载力,参考《钢结构设计手册》(第四版)第12.5.2章节公式12.5-17:
4 连接极限承载力的计算
焊缝连接的极限承载力可按下列公式计算:

对接焊缝受拉

角焊缝受剪
式中:Awf—焊缝的有效受力面积;
fu—构件母材的抗拉强度最小值;
程序中计算采用如下公式计算:

对焊缝连接
Awf—焊缝的有效受力面积,1,2为两侧;
fu—连接母材的抗拉强度。
所以这里并非计算错误,程序中所用的计算公式选取至《钢结构设计标准》GB50017-2017规范编制组部分专家所撰写的配套设计教材,计算结果可认为是合理可靠的。

图9.支撑、单拉杆指定示意图
Q5:模型数检提示“板定义错误(面积为0)”?

图10.数检报错文本
A: 模型第二层为转换层,为保证不生成悬空墙,可采用“节点下传”命令,在转换层布置虚梁作为“转换导荷”作用。但应注意是否有多余节点和虚梁,多余节点易导致节点归并异常,多余虚梁易导致形成微小三角形区域,生成板的面积过小,从而数检不通过。可以删除多余虚梁,释放小三角形封闭区域的楼板,如遇到无法避免的三角形,可以只保留剪力墙两端位于主梁交汇处的节点,中间虚梁段可以删除,此做法对于转换层导荷影响不大。

图11.极小三角形围成的房间

图12.删除三角形某一边形成开口