整体与完形
【阅读与思考】
1.许多几何问题,常因图形复杂、不规则而给解题带来困难,这些复杂、不规则的图形,从整体考虑,可看作某种图形的一部分,如果将它们补充完整,就可得到常见的特殊图形,那么就能利用特殊图形的特殊性质转化问题,这就是解几何问题的补形法.
2.常见的补形方法有:
(1)将原图形补形为最能体现相关定理、推论、公理的基本图形;
(2)将原图形补形为等腰三角形、等边三角形、直角三角形等特殊三角形;
(3)将原图形补形为平行四边形、矩形、正方形、梯形等特殊四熟悉以下图形:

【例题与求解】





【解析】
根据a/b=(a+b)/(a+b+c)即可求得a/b=b/(a+c),延长CB至D,使BD=AB,即可求证△ABC~△DAC,即可得∠ABC=∠D+∠BAD=2∠D=2∠BAC.即可解题.
【点评】
本题考查了相似三角形对应边比值相等的性质,相似三角形的判定,本题中求证△ABC~△DAC是解题的关键.





【解析】
(1)都是内角平分线时,可根据等腰三角形三线合一的特点来求解,由于DB平分∠ABC,且AF⊥BD,如果延长AF交BC于K,那么三角形ABK就是个等腰三角形,AF=FK,如果延长AG到H,那么同理可证AG=GH,AC=CH,那么GF就是三角形AHK的中位线,GF就是HK的一半,而HK=BK-BH=BK-(BC-CH),由于BK=AB,CH=AC,那么可得出FG=1/2(AB+AC-BC);
(2)证法同(1)先根据题目给出的求法,得出GD是AC的一半,然后按(2)的方法,通过延长AF来得出DF是(BC-AB)的一半,由此可得出FG=1/2(BC+AC-AB)
【点评】
本题主要考查了直角三角形的性质,等腰三角形的性质,角平分线的性质以及全等三角形的判定等知识点.





【解析】
作出辅助线,构建直角三角形,使AD成为直角三角形的一条边,根据勾股定理求解.
【点评】
本题考查的是直角三角形中勾股定理的运用,作辅助线构建可以运用勾股定理的直角三角形是解题的关键.




【解析】
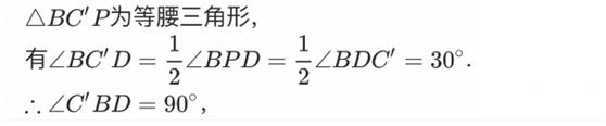
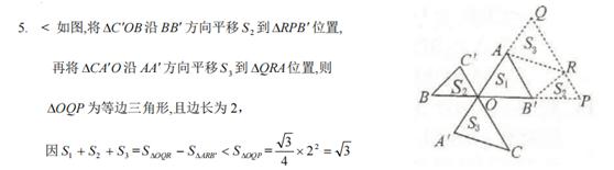
1.本题是一个几何定值证明问题,关键是将八边形问题转化为三角形或四边形问题来解决,若连接对角线则破坏一些已知条件,故考虑向外补形.
2.在证明过程中用到了两平行线之间某点到两直线的距离之和为两平行线间的距离这一性质.






【点评】
此题分别考查了等边三角形的性质与判定、全等三角形的性质与判定及轴对称的性质,解题的关键是利用角平分线的性质与判定构造全等三角形,然后利用全等三角形的性质即可解决问题.
【能力训练】




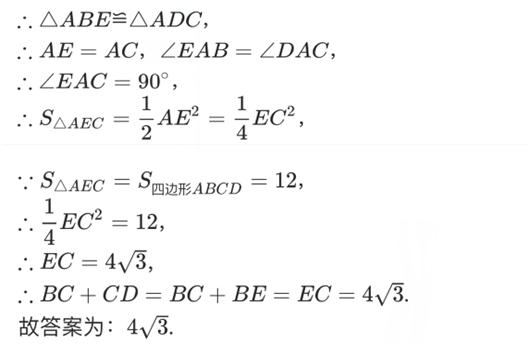
【解析】
本题可通过作辅助线进行解决,延长CB到E,使BE=DC,连接AE,AC,先证两个三角形全等,利用直角三角形的面积与四边形的面积相等进行列式求解.
【点评】
本题考查了面积及等积变换问题;巧妙地作出辅助线,把四边形的问题转化为等腰直角三角形来解决是正确解答本题的关键.





【点评】
本题考查轴对称的性质,对应点的连线与对称轴的位置关系是互相垂直,对应点所连的线段被对称轴垂直平分,对称轴上的任何一点到两个对应点之间的距离相等,对应的角、线段都相等.



【解析】
延长并反向延长AB,CD,EF,构成一个等边三角形,再将这个六边形以外的多边形减去即可得这个六边形的周长.
【点评】
本题考查了多边形的周长.解决本题的关键是构造等边三角形,根据等边三角形的三边相等的性质求解.




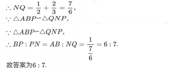
【解析】
作辅助线,延长AM、EN交于Q,延长AB、DC交于R,由△DMQ~△RMA,得出线段DQ的长,进而可得NQ的长,再由△ABP~△QNP,即可求解BP与PN的比值.
【点评】
本题主要考查了相似三角形的判定及性质问题,能够熟练利用其性质求解一些计算问题.


解法一:

解法二:


【点评】
此题考查了三角形的面积,利用特殊三角形及正弦定理的面积公式计算出每个三角形的面积即可.



【解析】
分析题意构造一个直角三角形,然后利用勾股定理解答即可.
【点评】
本题通过作辅助线,构造直角三角形,利用解直角三角形的知识进行计算.



【解析】
延长线段BN,交AC于E,利用已知易证ABN≌△AEN,所以BN=EN,从而证得MN是△BCE的中位线,所以求出EC,再运用中位线定理求MN.
【点评】
作出辅助线NE即可:(1)构造出全等三角形(△ABN≌△AEN),从而求出CE的长;(2)证明MN是中位线,从而轻松解决问题.



【解析】
运用割补法把原四边形转化为正方形,求出BE的长.
【点评】
本题运用割补法把原四边形转化为正方形,其面积保持不变,
所求BE就是正方形的边长了;也可以看作将三角形ABE绕B点逆时针旋转90°后的图形.



【解析】
通过对内分割或向外补形,构造直角三角形,解出AF、BF的长,得出AE、DE,解直角三角形ADE求出角D的度数.
【点评】
考查了解直角三角形的应用.
注:因直角三角形元素之间有很多关系,故用已知元素与未知元素的途径常不唯一,选择怎样的途径最有效、最合理呢?请记住:有斜用弦,无斜用切,宁乘勿除,在没有直角的条件下,常通过作垂线构造直角三角形;在解由多个直角三角形组合而成的问题时,往往先解已具备条件的直角三角形,使得求解的直角三角形最终可解.


解法一:


解法二:



【解析】
△ABC和△CDE都是一般斜三角形,直接根据已知条件不易求得结果,但是由于△ABC中AC已知,且∠BAC=60°,若以AC为一边和以∠BAC为一内角构成直角三角形或一个等边三角形,则这两种三角形面积都能求.
【点评】
本题通过构造三角函数和等边三角形可以求解,利用直角三角形和等边三角形的性质,全等三角形的判定和性质、相似三角形的判定和性质求解.











【点评】
此题主要考查了面积及等积变换,根据题意得出所求的八边形的面积与八边形各边长排列顺序无关进而求出是解题关键.