创新点:
基于优先效应的知觉空间分离可以使空间注意更好的集中在某个特定方向,从而提高被试者的去掩蔽水平。采用知觉空间分离前脉冲抑制(PPI) 范式,将PPI缺陷和注意缺陷结合起来,可以更优地研究精神病的病理生理机制。将其纳入精神病早期识别评估体系有助于提高精神病早期识别的准确性。
关键词:
精神病临床高危,精神分裂症,知觉空间分离,前脉冲抑制
分类:
生物医学与健康
配图:

正文:
精神病患者在疾病发作前已经表现出一些非特异临床症状,如:感知觉异常、怪异想法、记忆障碍、注意集中困难、焦虑抑郁等改变,常伴功能下降,概括为临床高危(CHR)状态。将近三分之一的临床高危个体会在未来2-3年时间内转化为以精神分裂症为代表的精神病。目前临床访谈问卷仍是基于症状的主观评估,缺乏客观生物学依据。开展生物学研究,可为精神病早期识别提供可靠的生物学标记物。
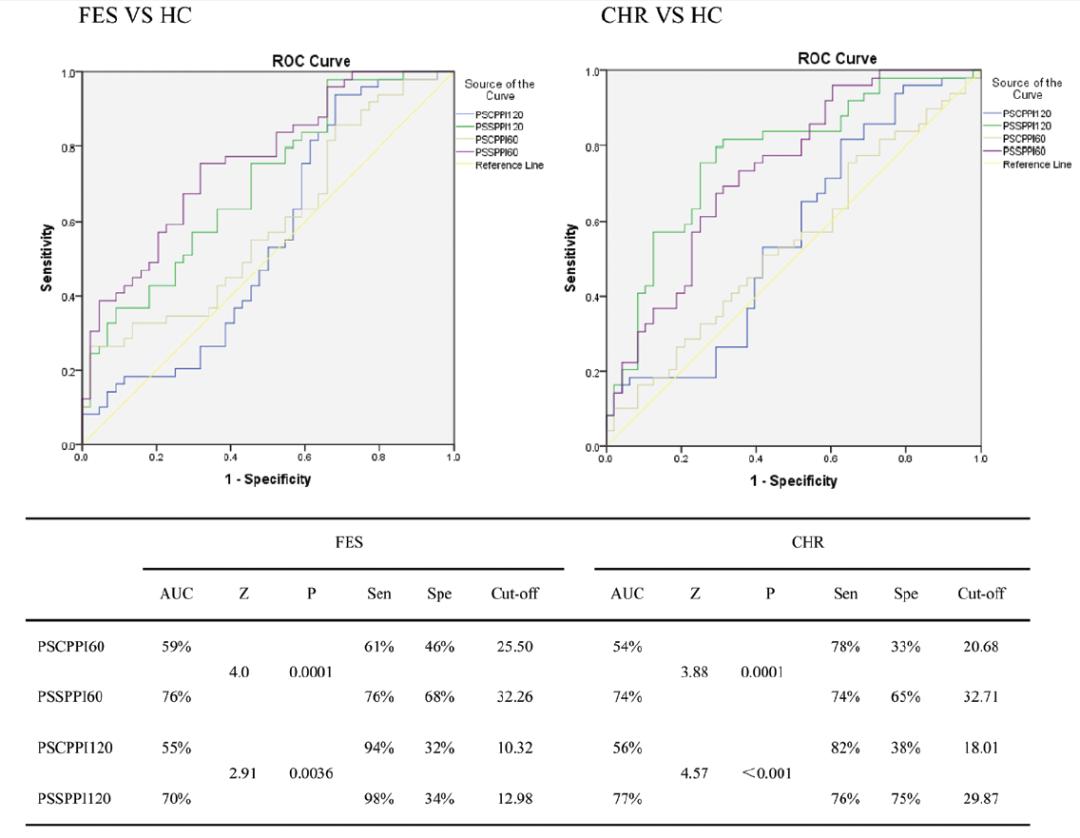
注意和前脉冲抑制(PPI)都是大脑选择重要信息并且抑制无关信息干扰的机制,精神分裂症患者注意和PPI的调节存在缺陷,且只有注意和PPI调节的缺失才与精神分裂症特异性症状(如幻觉、猜疑、思维紊乱等)及其严重程度相关,更能反映精神分裂症核心的精神病理症状。研究已证明基于优先效应的知觉空间分离范式(PSSPPI)提高了听者对目标信号的空间选择性注意,但不会改变信号的特征,从而真实提取并提高了目标信号的识别。这种改良的PPI范例已被应用于精神分裂症患者,其有效性和可靠性都得到了证实。
本研究采用改良的PSSPPI范例,比较首发精神分裂症(FES,n = 53)、CHR(n = 55)及健康对照(HC,n = 53)的PPI水平。发现:①和FES相似,CHR存在显著的PPI缺陷。②相对于HC组,在改良范式60 ms上,FES组效应尺度为1.06,CHR为0.91;在120 ms上,FES组效应尺度为0.80,CHR为0.98;均大于0.8,为高效应尺度。③用于鉴别FES,PSSPPI60指数更好(灵敏度:76%,特异度:68%,最佳临界值:32.26%);对于识别CHR个体,PSSPPI120指标更好(灵敏度:76%,特异度:75%,最佳临界值:29.87%)。ROC曲线下面积统计比较:PSSPPI优于经典范式。④在HC中,PSSPPI范式的注意增强作用具有显著意义,而FES和CHR组的注意增强作用受损。
研究发现相较于知觉空间融合范式,改良PSSPPI范式提高了对CHR识别的准确性,为CHR个体诊断提供新的生物学指标,可作为CHR个体早期识别和筛查的工具。
该工作由首都医科大学附属北京安定医院王传跃课题组、北京大学心理学系的李量课题组合作完成,王传跃教授为通讯作者,薄奇静副主任医师、毛珍住院医师为共同一作,相关论文在线发表在Schizophrenia Bulletin(DOI: 10.1093/schbul/sbaa102)上。
编辑 | 朱秋艳
★在线复诊、开药可关注北京安定医院互联网诊疗服务号或*载下**北京安定医院APP★
北京安定医院互联网诊疗服务号
北京安定医院APP

微信号 : 北京安定医院
新浪微博:@北京安定医院