
5项研究带你深入解读!
报道专家|江苏省人民医院呼吸科 姚欣教授
整理|东央央
来源|医学界呼吸频道
前言:
机械通气是治疗各种原因所致呼吸衰竭,有效挽救和延长患者生命的重要手段。其中,有创通气需要经口、鼻插管或行气管造瘘,建立人工气道,连接通气机,从而辅助或驱动患者进行有效通气;另一种无创通气是指在不需要建立有创人工气道的情况下,进行辅助通气。
无创通气有多种方式,其中以经口鼻气道正压通气是临床上最常用、发展最为迅速的一种无创辅助通气方法。无创机械通气(NIV)作为一种呼吸支持手段,应用于临床已有三十余年,广泛应用于各种急、慢性疾病导致的轻、中度呼吸衰竭患者的呼吸支持治疗。
在实际临床工作中,对于不能耐受无创呼吸通气的患者,出现烦躁、焦虑等一系列不适的症状,这个时候是否可以选择镇定剂辅助治疗呢?

苏州召开的2018年中华医学会呼吸病学年会暨十九次全国呼吸病学学术会议上,江苏省人民医院呼吸科姚欣教授带你解读无创机械通气患者是否镇静的相关问题。
镇静治疗辅助NIV患者的现状:
2007年对美国胸科医师学会(n=2,656)和欧洲呼吸学会重症监护病房(n=339)医师进行网络问卷调查发现:仅在25%NIV病例中使用镇静剂或阿片类药物。15%的医生从未给接 受无创性负压通气(N PPV)的急性呼吸衰竭(ARF)患者使用过镇静剂。

是什么影响了镇静剂的使用呢?
临床工作中,我们发现使用镇静方案的主要顾虑:
1.缺少经验,没有使用过镇定剂;
2.担心呼吸抑制,减少呼吸驱动力;
3.安全性原因、经济因素并未被考虑在内。
目前我国关于这方面的研究并不多,且样本量小,实验设计欠严谨,而国外的相关研究同样存在样本量偏小的缺陷。姚欣教授给出了5个代表性的研究,让我们一起来学习一下。

代表研究
(5项)
1
Target-controlled infusion of propofol for sedation in patients with non-invasive ventilation failure due to low tolerance:a preliminary study.
对由于耐受性低导致无创通气失败患者进行目标控制输注异丙酚镇静效果的初步研究

该篇文章探讨的是对于因无法耐受无创机械通气,最终只能气管插管治疗的病人,是否可以通过镇定剂的使用,降低气管插管的发生率。
研究对10名因耐受性差导致NIV失败患者靶控输注(TCI)异丙酚(平均浓度0.82±0.25μg/ml),测量镇定前后平均pH,PaCO2,Pa/FiO2,发现镇静后平均Pa/FiO2及平均pH均上升,平均PaCO2下降。
该10名患者通过镇静后,7名不需要再插管,仅3名患者最后需气管插管治疗。这对于患者来说,是一个非常好的结果。
2
The Efficacy of Dexmedetomidine in Patients with Noninvasive Ventilation :A Preliminary Study
右美托咪定在无创通气患者中的疗效初步研究

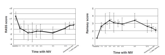
这篇文章研究目的是针对精神状态欠佳(Ramsay镇静评分、RASS镇静评分较低)的患者,评估在使用镇定剂治疗后,各项指标的改变。
研究给10名因躁动(Ramsay镇静评分1分;RASS镇静评分≥1分)导致NIV困难患者予以右美托咪定(初始剂量:3 μg kg-1 h1:后0.2μg kg-1 h-1~0.7μg kg-1 h-1范围内)持续静滴,患者躁动情况改善,RASS评分及Ramsey评分分别维持在-1.23±1.30和2.94±0.94分,患者精神状态得到了改善。

研究显示镇定后患者pH改善,PaCO2下降,Pa/FiO2上升,呼吸频率下降,心率下降,心脏收缩压及舒张压下降,病人状态得到了明显改善。最终所有患者均成功撤机。

此项研究虽然样本量不大,但是可以体现镇定剂使用的重要作用。
3
Remifentanil-based sedation to treat noninvasive ventilation failure: a preliminary study
基于瑞芬太尼镇静治疗无创通气失败案例的初步研究

该项研究样本量仍然不是很大,研究选择了13名(10名ARF和3名急性高碳酸血性呼吸衰AHRF)不适合/或拒绝继续NIV患者予以瑞芬太尼(平均剂量0.1±0.03μg /kg/分)治疗后,pH,PaCO2,PaO2呼吸频率均有明显改善。
这项研究也说明了镇定剂使用在对于无创机械通气治疗II型呼吸衰竭病人同样有很好的疗效。
4
Sedation During Noninvasive Mechanical Ventilation With Dexmedetomidine or Mildazolam:A Randomizes, Double-Blind ,Prospective Study
针对无创通气期间使用右美托咪定或咪达唑仑镇静效果的随机,双盲,前瞻性研究

这同样是针对AHRF患者的一项研究。研究选取40名AECOPD伴AHRF予以NIV患者(Ramsay镇静评分1分,Riker镇静,躁动评分≥1),将其随机分为两组(Group D和Group M),分别予以右美托咪定(1μg/kg静脉注射10分钟,0.5μg/kg/h静脉滴注维持)或咪达唑仑(0.05μg/kg静脉注射10分钟,0.1μg/kg/h静脉滴注维持)镇静治疗后,右美托咪定或咪达唑仑辅助NIV后,患者气体交换功能(pH、PaO2增加,PaCO2、呼吸频率下降)及心率、血压结果皆明显改善,两组无明显差异。
这两组治疗方案对于患者的心肺功能及对无创机械通气的配合度都有明显改善,同样说明了镇定剂使用的有效性。

5
Efficacy and Safety of Early Dexmedetomidine During Noninvasive Ventilation for Patients With Acute Respiratory Failure
无创性通气早期使用右美托咪定用于治疗急性呼吸衰竭患者的疗效和安全性
这是一项针对应用镇定剂长期应用的效应的研究,研究样本量同样不是很大。研究从ICU选取33名ARF患者进行无创机械通气8小时,后将患者分为两组,一组(n=16)予以右旋美托咪啶静脉输入,另一组予以安慰剂治疗,若无疗效则再分为两组,一组给于咪达唑另一组予以芬太尼。
结果显示NIV后(平均4小时)早期应用右美托咪定并未改善患者NIV耐受性(OR,1.44,95%CL,0.44-4.7;p=0.54)

且最终整体治疗时间无区别(p=0.56),无创机械通气失败率无区别(P=0.80);
右美托咪定辅助NIV组的护理,医生,患者满意度评估较安慰剂组无统计学意义。
得出这样的阴性结果可能由于样本量较小,且对于病因分类较细导致,其结果待进一步完善,可能会有不同的结论产生。
研究证实的辅助NIV的镇静药:

目前代表药物有*啡吗**,瑞芬太尼,咪达唑,右旋美托咪唑,异丙酚等,从这张表中的研究结果显示:NIV初始可使用*啡吗**,右旋美托咪唑,咪达唑;NIV适应较差时可使用瑞芬太尼,咪达唑,右旋美托咪唑,异丙酚。

右旋美托咪唑,咪达唑,瑞芬太尼,异丙酚在用于NIV时的推荐使用剂量为:

对于不同病人情况,需根据具体情况调整药物的使用量。
对于NIV使用镇静剂的临床应用,应遵从以下流程:
1.确定患者NIV“不适”的原因(如激动,焦虑疼痛,呼吸困难,心理因素等);
2.通过结构化评估明确导致失败的患者方面因素(如接受度,依从性);
3.在尝试非药物治疗NIV“不适”(如在NIV之前进行躯体学和或患者教育)特别注意不合适的面罩对患者接受NIV的影响;
4.如果仍存在NIV不适,需谨慎权衡镇静辅助NIV的可能益处。
指南怎么说:
(成人急性呼吸衰竭的通气管理指南(BTS)对于NIV患者使用镇静剂的建议)
1.仅在密切监测下使用镇静剂(D级);
2. 仅在HDU或ICU使用镇静/抗焦虑药物(D级);
3. 如果NIV失败不准备气管插管,对于痛苦或躁动的患者可以使用镇静/抗焦虑药物控制症状(D级);
4. 对于躁动/痛苦和/或呼吸急促的患者,可静脉注射*啡吗**2.5-5mg(±苯二氮卓类药物)缓解症状并改善NIV的耐受性。
作者往期精彩文章