今年初我写了一篇“如何更好地理解IRR”的文章,目的是指导我们如何按照我们的想法去调整IRR的大小。但我们实际工作中我们还经常会遇到IRR报错或者为负数的情况,这个时候通过之前文章中的方法就不适用。
今天这篇文章就对测算表IRR报错或者负数的情况进行了一些探索,以期对大家的实际工作有所帮助,也希望能和大家一起交流学习。
(备注:为了方便大家的阅读,我把之前的文章直接放到了前半部分,如果之前已经看过的读者,可以直接看后半部分。)
1
作为一名房地产投资人员,就永远绕不开内部收益率(即IRR),很多公司在前期土地研判时一般考量两个指标,一个是净利润率,另一个便是IRR,比如我们知道的部分公司就要求净利润率及IRR必须达到双15%这个项目才可获取。
净利润率非常好理解,但是这个IRR在房地产项目测算结果出来时,很多朋友却不是特别理解,到底IRR能够代表什么深层次的含义?我们从这个指标当中能够得到什么信息?IRR的高低对一个项目的影响在哪里?
要知道IRR有什么用,你首先得理解NPV是怎么算出来的。技术经济学的课本给我们讲到,内部收益率(IRR)是基于净现值产生的一个概念,它是指项目在整个计算期内,当净现值等于零时的折现率。
为了便于理解,我们举一个例子,假设万科2017年某项目的现金流如下:

我们常规做法应该怎么计算这个项目的IRR呢?我们采用的是试错法的方式,假设这个项目的折现率为x,将每一期现金流折现到第1期,合计净现值为0,即:

拿到这个公式可纳闷了,这特么可怎么计算呢?
按照传统的方式我们只有分别假定一个折现率去试错,假设x=6%,公式左侧为负;假设x=4%,公式左侧为正,那么我们就可以推断IRR是介于4%-6%之间。这么算实在太麻烦。
在科技发达的今天,好在excel给我们提供了强大的计算工具,我们用IRR函数简单一拉结果就出来了,最终算出这个项目的IRR=5%

IRR=5%说明了什么问题呢,说明当这个项目现金流按5%折现时净现值刚好等于0,如果小一点按4%折现净现值就大于0,如果再大一点按6%折算,净现值就小于0了,这个项目就不可行了,而且折现率此时越大那么亏得越多。
2
好了,我们现在再回过头来重新理解IRR。
IRR是指在考虑资金时间价值的情况下,项目投资在未来产生的投资收益现值刚好等于投资成本时的折现率。再进一步理解,内部收益率是投资项目最低应达到的收益率。
IRR指标能够较为综合地反映项目管理、资本运营的效率和效益值,涉及项目的资金计划,是房地产企业对项目运营监控的核心指标。
计算NPV所用的折现率,是一个项目的加权平均融资成本。每家企业都有自己的融资成本,通常来说是个固定的值。
知乎上项梓例举了一个非常好理解的例子,比如我开发一个住宅项目,折现率为10%,计算出项目的NPV>0,说明这个项目是可以盈利的。现在,我计算出这个项目的IRR是5%。当折现率等于5%的时候,这个项目的NPV就变成0了。假如现在我的自有资金只够支持50%的前期投入,另外的50%要去*款贷**。我找信托找基金给到我的*款贷**年利率是10%,那我要不要*款贷**来做这个项目呢?经过这一计算我们知道这个项目当我的融资成本超过5%(IRR)的时候,NPV就会变成负的。说明不值得去*款贷**来做项目。
这个例子说明,一个项目的IRR越高,我越敢*款贷**来做项目。由此,我们可以推断这个项目是非常难做的,因为你去市场上是很难找到融资成本低于5%以下的钱的。
3
那紧接着,我们要思考第二个问题了,那就是如何来提高我们的IRR,这样可以指导我们在做测算的时候应该如何去“随心所欲”地调整我们的现金流来匹配我们想要的IRR指标(作为一名资深的投资人员,我想你懂的)。
我们还是采用上面的例子,5%的IRR实在太低,在很多发展商眼里这个项目肯定是通不过的,因此作为一名资深的投资人员,我们要想办法“做高”这个IRR。
根据上面我们列出的求IRR的公式,我们首先应该想到的是,在保证现金支出节奏不变的情况下,尽可能“早”地实现销售收入。
因此我们尝试着把整个项目的现金流入都往前摞动1期,即第5期的2000万摞到第4期实现,第6期1500万摞到第5期实现,第7期的500万摞到第6期实现,因此这个项目的现金流就成了这个样子:

此时,用excel计算得出IRR=6%,nice! 提高了1%。
同理,在此基础上我们试着把现金流出往后延1期试试:

此时,用excel计算得出IRR=9%,挺好,又提高了3%。由于咱们这个例子中期数比较少,现金流的数据也较少,我们也只摞动了1期,因此IRR的变动幅度还比较矜持。
若我们按照一个实际的房地产开发项目的现金流来计算,收入往前多摞动几期支出往后也多摞动几期效果会更加明显。
在此基础上,我们再增加销售收入试试,比如再第7期增加1000万:

此时计算得出IRR=18%,已经比较理想了!
同理,在此基础上我们在第2期再减少支出1000万:

此时计算得出IRR=44%,相当不错了!
由此,我们基本发现了提升IRR四条最基本规律:
①“快收”:尽可能地把销售收入提前,比如争取提前开盘、加快推售节奏。
②“慢支”:尽可能地把现金流出往后,比如争取土地款分期支付、施工方工程款垫资、条件允许下延缓各类费用支付节奏。
③“多收”:尽可能多增加销售收入,优化规划方案,尽量多布局高溢价产品;差异化定位,把握自主定价权。
④“少支”:尽可能节约成本,成本部同事测算时留给自己的“富裕量”部分,投资同事应该是要多去争取的。
这篇文章发布后,很多朋友留言,其中有1个代表性的问题集中回复一下:
问题:现金流采用年度、季度、月度数据求解出来的IRR之间是什么关系?
由于一般房地产项目的建设周期较短,一个高层项目从拿地到交付的时间周期也就3年左右,所以用年度现金流序列来计算IRR就不太合理,所以房地产项目一般采用季度或者月度现金流序列来计算IRR。
他们之间就犹如名义利率与实际利率的关系。比如你去找银行*款贷**年利率是8%,按月付息。由于是按月付息,因此8%是年名义利率,月利率=8%/12=0.66%,年实际利率=(1+0.66%)^12−1=8.2%。可见名义利率与实际利率是有差异的,且一般来讲实际利率高于名义利率。
同理,我们假设P0为年初现金流初值,当然P0同时亦为该年首季度和首月度初值,P为终值。IRR年度、IRR季度、IRR月度分别为年度、季度、月度内部收益率。
则有P= P0*(1+IRR年度)
= P0*(1+IRR季度)^4
=P0*(1+IRR月度)^12
于是,IRR年度=(1+IRR季度)^4-1=(1+IRR月度)^12-1
可见,IRR年度≠4* IRR季度≠12* IRR月度,这一点很容易出错,大家一定要注意!
4
除了提升IRR的问题外,我们在实际测算过程中,还经常遇到这样一种情况,那就是测算出来IRR为负数,这可如何是好,搞得很多朋友一脸懵逼。
比如,有这样一笔现金流:

通过EXCEl求解得出IRR=-8%,为一个负数。
此时大家一定非常迫切想搞清楚这几个问题:
1、 IRR为负数是什么含义?负数是什么情况产生的?
2、 测算表求解出IRR为负数后,我们应该怎么调整现金流?
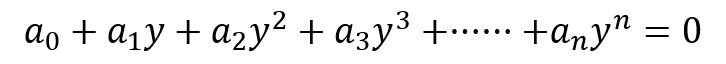
为了得出更加一般性的规律,我们首先得回归到IRR求解的数学模型中,比如拿我们上面列举的求解公式来看:

我们可以把这个方程抽象为:

数学上我们把这种方程叫做一元n次多项式,它是n次方程。n次方程应该有n个解(其中包括负数根和重根),很明显,负根并无经济意义。只有正实数根才能是项目的IRR,而方程的正实根可能不止一个。
而n次方程式的正实根的数目可用笛卡尔符号规则进行判断,即正实根的个数不会超过项目现金流量序列(多项式系数系列)的正负号变化的次数p(如遇有系数为零,可视为无符号)。
是不是越看越懵逼?到底是什么意思呢?能不能说人话......
直白一点,就是说这个项目的现金流求解出来的IRR的个数取决于这笔现金流的“现金流”(注意,这里的现金流对应到测算表中应为净现金流)由正转负或者由负转正的次数,假设这个次数为p:
如果P=0(正负号变化0次),则方程无根;
如果P=1(正负号变化1次),则方程有唯一根。
如果P=2(正负号变化2次),则方程的正实根<2个。
也就是说,若项目的净现金流(t=0,1,2,,n)的正负号仅变化1次,内部收益率方程肯定有唯一解。
而当净现金流序列的正负号有多次变化(两次或两次以上),内部收益率方程可能有多解。
5
为了便于大家更好的理解,这里列举几种典型的现金流:
(1)

这笔现金流序列正负号仅变化1次,因此内部收益率方程只有唯一解。果不其然,通过excel计算得出IRR=20%,这是一笔比较常规的现金流,与我们前文所列举的现金流特征一致。
(2)

这笔现金流序列正负号仅变化1次,因此内部收益率方程只有唯一解。但这笔现金流计算得出IRR=-8%,为负数。
问题来了,为什么会出现负数呢?
我们对比一下上面两笔现金流序列,可以从中找到一个重大区别:那就是“累计净现金流”的区别,第一笔累计净现金流=500为正,因此IRR为正;而第二笔累计净现金流=-1000为负,因此IRR为负。
通过这种观察得出结论是不是偶然呢?我们进一步验证。
我们把第2笔现金流中第6期的金额调整为3000,使得累计净现金流=0,此时我们计算出IRR=0,如图:

进一步,我把第6期净现金流金额再增加1000,使得累计净现金流为正。果不其然,此时计算得出IRR=6%,成为正值了,如图:

为了得出一个更一般性的结论来指导工作,我们再看几笔特殊的现金流:
(3)

这笔现金流序列正负号变化0次,因此内部收益率方程应无解,通过excel验算果然报错!
(4)

这笔现金流序列正负号变化2次,因此内部收益率方程至多有2个解,即至多存在2个IRR。
(5)

这笔现金流序列正负号变化3次,因此内部收益率方程至多有3个解,即至多存在3个IRR。
看完以上五笔现金流案例,我们大概可以总结出一个更一般性的结论来指导我们测算工作:
1、若方案的第一笔净现金流<0(即正常的项目我们第一笔资金基本是支出的,也就是我们投入的一部分),现金流序列仅改变一次正负号,且累计净现金流>0,此时项目必有唯一的“正”IRR解。
2、若方案的第一笔净现金流<0,现金流序列仅改变一次正负号,且累计净现金流<0,此时项目必有唯一的“负”IRR解,铺排的此现金流方案不可行,需要调整。
3、若方案的现金流序列不改变正负号,则方案的IRR不存在,不能用IRR来评价此方案。
4、若方案的<0,现金流序列符号变化多次,则方案的IRR个数不超过现金流序列符号变化的次数。在这种情况,也可能会有唯一的IRR解也有可能无解。
显然我们在测算的时候是不希望IRR出现负值(负值无意义),也不希望IRR出现多解,因为此时IRR无法确定而导致IRR失效。
查阅了很多文献,在IRR存在多个解的情况下用excel的IRR函数就非常受局限,因为无论由谁来做,或无论你做多少次,excel均只给出一个解,这显然是不合适的。但尽管在这种情况下,我们很多公司的测算表也是非常*力暴**地使用excel的IRR函数直接进行求解,我个人认为此时求解出来的结果是有待商榷的。
因此,我们在铺排现金流的时候,期初为负,后续期为正,累计净现金流为正,是我们需要关注的三个要点,此时求解出来的IRR是唯一确定的正值。