步进电机的选型及故障处理
步进电机的选型及故障处理
一、步进电机概述
步进电机是一种感应电机,它的工作原理是利用电子电路,将直流电变成分时供电的,多相时序控制电流,用这种电流为步进电机供电,步进电机才能正常工作,驱动器就是为步进电机分时供电的,多相时序控制器
虽然步进电机已被广泛地应用,但步进电机并不能像普通的直流电机,交流电机在常规下使用。它必须由双环形脉冲信号、功率驱动电路等组成控制系统方可使用。因此用好步进电机却非易事,它涉及到机械、电机、电子及计算机等许多专业知识。
步进电机作为执行元件,是机电一体化的关键产品之一, 广泛应用在各种自动化控制系统中。随着微电子和计算机技术的发展,步进电机的需求量与日俱增,在各个国民经济领域都有应用。
步进电机是一种将电脉冲转化为角位移的执行机构。通俗一点讲:当步进驱动器接收到一个脉冲信号,它就驱 动步进电机按设定的方向转动一个固定的角度(即步进角)。您可以通过控制脉冲个数来控制角位移量,从而达到准确定位的目的;同时您可以通过控制脉冲频率来 控制电机转动的速度和加速度,从而达到调速的目的。
1、步进电机的主要特点
1.一般步进电机的精度为步进角的3-5%,且不累积。
2.步进电机外表允许的最高温度。
步进电机温度过高首先会使电机的磁性材料退磁,从而导致力矩下降乃至 于失步,因此电机外表允许的最高温度应取决于不同电机磁性材料的退磁点;一般来讲,磁性材料的退磁点都在摄氏130度以上,有的甚至高达摄氏200度以 上,所以步进电机外表温度在摄氏80-90度完全正常。
3.步进电机的力矩会随转速的升高而下降。
步进电机转动时,电机各相绕组的电感将形成一个反向电动势;频率越高,反向电动势越大。在它的作用下,电机随频率(或速度)的增大而相电流减小,从而导致力矩下降。
4.步进电机低速时可以正常运转,但若高于一定速度就无法启动,并伴有啸叫声。
步进电机有一个技术参数:空载启动频率,即步进电机在空载情况下能够 正常启动的脉冲频率,如果脉冲频率高于该值,电机不能正常启动,可能发生丢步或堵转。在有负载的情况下,启动频率应更低。如果要使电机达到高速转动,脉冲 频率应该有加速过程,即启动频率较低,然后按一定加速度升到所希望的高频(电机转速从低速升到高速)。
5 步进电机必须加驱动才可以运转, 驱动信号必须为脉冲信号,没有脉冲的时候, 步进电机静止, 如果加入适当的脉冲信号,就会以一定的角度(称为步角)转动。转动的速度和脉冲的频率成正比。
6 三相步进电机的步进角度为7.5 度,一圈360度, 需要48个脉冲完成。
7 步进电机具有瞬间启动和急速停止的优越特性。
8 改变脉冲的顺序,可以方便的改变转动的方向。因此,目前打印机,绘图仪,机器人,等等设备都以步进电机为动力核心。

2、步进电机驱动器的特点
(1)构成步进电机驱动器系统的专用集成电路:
A、脉冲分配器集成电路:如三洋公司的PMM8713、PMM8723、PMM8714等。
B、包含脉冲分配器和电流斩波的控制器集成电路:如SGS公司的L297、L6506等。
C、只含功率驱动(或包含电流控制、保护电路)的驱动器集成电路:如日本新电元工业公司的MTD1110(四相斩波驱动)和MTD2001(两相、H桥、斩波驱动)。
D、将脉冲分配器、功率驱动、电流控制和保护电路都包括在内的驱动控制器集成电路,如东芝公司的TB6560AHQ、MOTOROLA公司的SAA1042(四相)和ALLEGRO公司的UCN5804(四相)等。
(2)“细分驱动”概述:将“电机固有步距角”细分成若干小步的驱动方法,称为细分驱动,细分是通过驱动器精确控制步进电机的相电流实现的,与电机本 身无关。其原理是,让定子通电相电流并不一次升到位,而断电相电流并不一次降为0(绕组电流波形不再是近似方波,而是N级近似阶梯波),则定子绕组电流所 产生的磁场合力,会使转子有N个新的平衡位置(形成N个步距角)。
3、步进电机分类
步进电机分三种:永磁式(PM) 、反应式(VR)和混合式(HB)。永磁式步进一般为两相,转矩和体积较小,步进角一般为7.5度或15度;反应式步进一般为三相,可实现大转矩输出,步进角一般为1.5度,但噪声和振动都很大,在欧美等发达国家80年代已被淘汰;混合式步进是指混合了永磁式和反应式的优点,分为两相和五相,两相步进角一 般为1.8度而五相步进角一般为 0.72度,这种步进电机的应用最为广泛。

4、步进电机的优缺点
---优点
1. 电机旋转的角度正比于脉冲数;
2. 电机停转的时候具有最大的转矩(当绕组激磁时);
3. 由于每步的精度在百分之三到百分之五,而且不会将一步的误差积累到下一步因而有较好的位置精度和运动的重复性;
4. 优秀的起停和反转响应;
5. 由于没有电刷,可靠性较高,因此电机的寿命仅仅取决于轴承的寿命;
6. 电机的响应仅由数字输入脉冲确定,因而可以采用开环控制,这使得电机的结构可以比较简单而且控制成本;
7. 仅仅将负载直接连接到电机的转轴上也可以极低速的同步旋转。
8. 由于速度正比于脉冲频率,因而有比较宽的转速范围。
---缺点
1. 如果控制不当容易产生共振;
2. 难以运转到较高的转速。
3. 难以获得较大的转矩
4. 在体积重量方面没有优势,能源利用率低。
5. 超过负载时会破坏同步,高速工作时会发出振动和噪声。
5、步进电机基本术语
保持转矩(HOLDING TORQUE)是指步进电机通电但没有转动时,定子锁住转子的力矩。它是步进电机最重要的参数之一,通常步进电机在低速时的力矩接近保持转矩。保持转矩越大则电机带负载能力越强。由于步进电机的输出力矩随速度的增大而不断衰减,输出功率也随速度的增大而变化,所以保持转矩就成为了衡量步进电机重要的参数之一。比如,当人们说2N.m的步进电机,在没有特殊说明的情况下是指保持转矩为2N.m的步进电机。
步进电机的细分技术实质上是一种电子阻尼技术(请参考有关文献),其主要目的是减弱或消除步进电机的低频振动,提高电机的运转精度只是细分技术的一个附带功能。比如对于步进角为1.8度的两相混合式步进电机,如果细分驱动器的细分数设置为4,那么电机的运转分辨率为每个脉冲0.45度,电机的精度能否达到或接近0.45度,还取决于细分驱动器的细分电流控制精度等其它因素。不同厂家的细分驱动器精度可能差别很大;细分数越大精度越难控制。
运行矩频特性是电机在某种测试条件下测得运行中输出力矩与频率关系的曲线。
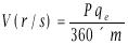
实用公式:转速(r/s)=脉冲频率 /(电机每转整步数*细分数)

V:电机转速(R/S);P:脉冲频率(Hz);θe:电机固有步距角;m:细分数(整步为1,半步为2
二、电机计算与选型方法
选择电机一般应遵循以下步骤:

1、电机最大速度选择
步进电机最大速度一般在600~1200 rpm。
交流伺服电机额定速度一般在3000 rpm,最大转速为5000rpm。
机械传动系统要根据此参数设计。
2、电*定位机**精度的选择
机械传动比确定后,可根据控制系统的定位精度选择步进电机的步距角及驱动器的细分等级。一般选电机的一个步距角对应于系统定位精度的1/2 或更小。
注意:当细分等级大于1/4后,步距角的精度不能保证。
3、电机力矩选择
步进电机的动态力矩一下子很难确定,我们往往先确定电机的静力矩。静力矩选择的依据是电机工作的负载,而负载可分为惯性负载和摩擦负载二种。直接起动时(一般由低速)时二种负载均要考虑,加速起动时主要考虑惯性负载,恒速运行进只要考虑摩擦负载。一般情况下,静力矩应为摩擦负载的2-3倍内好,静力矩一旦选定,电机的机座及长度便能确定下来(几何尺寸)
转动惯量计算
物体的转动惯量为:

式中:dV为体积元,r为物体密度,r为体积元与转轴的距离。单位:kgm2
将负载质量换算到电机输出轴上转动惯量,常见传动机构与公式如下:

加速度计算
控制系统要定位准确,物体运动必须有加减速过程,如图所示。

已知加速时间、最大速度Vmax,可得电机的角加速度:

(rad/ s2)
电机力矩计算
力矩计算公式为:

式中:TL为系统外力折算到电机上的力矩;h为传动系统的效率。
4、计算例题
已知:直线平台水平往复运动,最大行程L=400 mm,同步带传动;往复运动周期为T = 4s;重复定位误差 £ 0.05 mm;平台运动质量M = 10 kg,无外力。
求:电机型号、同步带轮直径、最大细分数。

运动学计算
平均速度为:

设加速时间为0.1 S;(步进电机一般取加速时间为:0.1~1秒)
(伺服电机一般取加速时间为:0.05~0.5秒)
则加减速时间共为0.2 S,且加减速过程的平均速度为最大速度的一半。

故有:L = 0.1 ´ Vmax / 2 + 1.8 ´ Vmax+ 0.1 ´ Vmax / 2= 0.4 m
得:Vmax = 0.4 / ( 0.2 / 2 + 1.8 )= 0.211 m/s
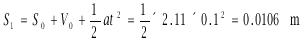
所以,加速度为:

加速距离:

匀速距离:

减速距离和加速距离相同,


1、动力学计算
同步带上需要拉力: F = M a + f
摩擦力:f = m M g
设导轨摩擦系数 m= 0.1
则摩擦力:f = 0.1 ´ 10 ´ 9.8 = 9.8 N
惯性力: F1 = M a = 10 ´ 2.11 = 21.1 N
故:同步带上要有拉力 F = F1+ f = 21.1+9.8= 30.9 N
2、选择同步带直径Φ和步进电机细分数m
设同步带直径Φ=30 mm
周长为C=3.14 ´ Φ = 3.14 ´ 30= 94.2 mm
核算定位精度: C / (360°/1.8´ m) < 0.05;
细分数:m > C / (200 ´ 0.05)= 94.2 / (200 ´ 0.05) = 9.42
核算最大转速:nmax = Vmax/ C = 0.211 / (94.2/1000) =2.24 r/s
显然,细分数太大,最大转速太低。
但是,同步带直径也不可能小2倍,所以只能增加一级减速。

第2级主动轮直径仍取:Φ3= 30 mm;
第1级主动轮直径取:Φ1= 25 mm;
减速比取:i = 1 :3;
则第1级从动轮直径为取:Φ2=75 mm;
电机最大转速为:

驱动器细分数:

故,取4细分就很合适了。
实际脉冲当量:

即满足重复定位误差 £ 0.05 mm。
3、计算电机力矩,选择电机型号
第2级主动轮上的力矩:T2=F´Φ3 / 2
第1级主动轮上,即电机轴上的力矩:T1=T2´ i =F´Φ3 / 2 ´ i = 0.155 Nm
由于没有考虑同步带的效率、导轨和滑块装配误差造成的摩擦、同步带轮的摩擦和转动惯量等因素,同时,步进电机在高速时扭矩要大幅度下降;所以,取安全系数为2比较保险。
故,电机力矩To=0.155 ´ 2 = 0.310 Nm
选57HS09即可,其静力矩为0.9 Nm。和57HS09类似的电机矩频特性图如下:

4、细分
nmax=6.72r/s=806r/min =5374pps 时,从上图对应的T= 35 N cm=0.35N m>0.310Nm
二、步进电机的故障诊断与分析处理
常见故障原因
1)驱动步进电机的脉冲频率太高,使步进电动机不能响应,发生失步或堵转。
2)驱动电源不佳而造成步进电机失步。
3)步进电机控制及驱动电路常见的故障有停转、摆动和不能紧锁。
4)工作台负载过重能造成步进电机失步甚至停转。
5)步进电机本身问题或绕组烧坏造成失步或停转。
典型故障分析与处理
1、起动和运行速度慢,影响系统同步
(1)步进电动机检修时,常要将定子各相控制绕组中串联的小电阻摘下,进行绕组检测和修理,检修后未再接入串联电阻,有时小电阻损坏或失效未更换,造成难起动,运行速度减慢。小电阻失效或未接入,则回路时间常数加大,使脉冲电流上升沿和下降沿由陡变为平坦,恶化了频率特性,也即恶化了步进电动机运行特性。所以,当步进电动机修完后,一定要接入小电阻;检修过程也必须用万用表检测小电阻有无断路、短路或击穿故障,如有则应同时更换合格的同规格小电阻,不要使之失效仍接入线路,不然影响抑制绕组中电感,使系统不同步,又为查找故障增加麻烦。
(2)定转子气隙不均,使定转子相擦,造成起动困难或运行速度减慢。由于气隙不均造成定转子相擦,加大了步进电动机静态力矩,阻力加大使动态特性变坏,导致起动和运行速度减慢。当发生此类故障时,应仔细检查定转子相擦的原因。根据造成的具体原因,采取有效措施,排除故障,使气隙均匀。
①检查中如发现因轴承损坏或端盖止口与定子外壳不同心所至,应更换新的合格轴承,及新配端盖,新端盖止口车削要按外壳止口公差尺寸配车。
②如检查出属转轴变弯,可采取调直方法调直弯曲端或更换新轴。
③测量转子外径如发现椭圆度超差,将转子进行精车一刀或磨削加工,消除不圆度。应注意车削或磨削加工时,加工量不宜过大,仅需将椭圆大直径车去或磨去,否则气隙加大,会导致电机其它性能变坏。
2、步进电动机运行中失步
当步进电动机改变负载运行时,如带大惯量负载则产生振荡,造成电机在某一运行频率下,起动丢步或停转滑步。造成步进电动机运行中失步。为了消除大惯性负载引起失步,可以采用机械阻尼的方法,用以消除或吸收振荡能量;也可以通过加大负载的摩擦力矩的方法,从而改善运行特性,消除失步。因为步进电动机受控于电脉冲而产生步进运动,采取如上措施能使电脉冲正常,不受干扰,从而消除电机运行中失步。
另一种失步可能是原采用双电源供电的而改为单电源供电,又未采取相应补救措施,使起动频率和运行频率降低,矩频特性恶化而失步。当是此种原因所至,应重新恢复双电源供电。有些使用单位或部门,为简化电路采用单电源供电造成电动机运行失步,这种做法不当,要知道采用双电源是为了提高起动和运行两种频率,改善矩频特性,从而改善了输入步进电动机绕组中脉冲电流的上升沿和下降沿。用单电源供电,脉冲稳定电流得不到维持,步进电动机功率相应减小,所以在驱动中相当于容量减小而过载,效率降低而失步。采用双电源,用高低两套电路,即在步进电动机绕组脉冲电流通入瞬间,对其施以高压,强迫电流上升加速;池电流达到一定值后,再改施以低压,使电机正常运行。这种措施不仅使驱动电源容量大大减小,同时也提高了运行效率,改善运行特性,电动机不会失步运行。
3、控制绕组一相反绕,影响正常运行
当步进电动机不能正常运行时,除上述两种原因影响速度或失步外,可能是定了控制绕组有一相反接。当一相绕组反接,相当于通电电流方向相反,电流相互抵消,电动机在此相内无脉冲电流,运行失常或根本不能运行。在通电情况下,检测三相电流就能发现。检测出反接相后,将该相绕组首末引出线对调,按正确接法接好,再通电运行进行电流的检测。
4、开路故障
定子控制绕组开路故障,表现为一种是引线接头处断或焊接处全脱焊,或从某一匝中导线折断;另一种情况是导线将断未断,如假焊、虚焊,或有裂纹。
此故障可采用检测普通三相电动机断路方法来检测,较方便的是用万用表电阻档来检测,当指针不动或电阻很大,说明所检测一相绕组为开路。
修理方法是找到故障处,将断开两头漆皮刮掉后拧紧再焊牢,包上绝缘。
5、短路故障
步进电动机定子控制绕组一般为单根导线绕制的多匝绕组,短路也是匝间短路。检测方法主要分以下两步:
目测法:凡短路的绕组因短路电流大而过热,绕组导线绝缘层有发黑变脆的糊焦状,凡有此种情况的为故障相;
用在通电运行状况下,测量各相电流,凡电流大的相为故障相。
故障相找到后,如果短路在端部外层,采用加热绕组后,轻轻撬起短路匝,用薄绝缘纸垫好,再压实,线圈局部加热,再刷上1032号绝缘漆后烘于即可;如短路严重不能局部修理,只有重绕线圈换上。
6、击穿故障
击穿故障的绕组可目测出,也可用兆欧表摇测其绝缘电阻,一般击穿后绕组将接地,检测相绝缘电阻为零者,说明即击穿又接地。
7、电源装置故障使步进电动机不能运行
功率放大失灵,门电路中电子开关损坏及计数器失灵是常发生的。可采用万用表及示波器等仪表,对照线路逐段检测。如测出放大程序逻辑部分无信号或信号弱,说明功率驱动器有毛病,对其应进一步检测和排除故障至有正常信号;当电子开关未在起动位置,门电路就开通,说明起动开关已经损坏,只有更换合格的开关;如反馈信号没有,即反馈没有电压值,说明反馈环节有故障,应检测脉冲数选器及整形反相环节等,找出毛病调整至有正常反馈电压为止。当发现电动机通电顺序不对,不符合设定顺序,说明环形分配器失灵,因它的级数应等于电动机的相数,在此情况下,它才按规定逻辑给电动机各相绕组依次通电,使之顺序转或逆转。总之,对电源装置应经常检测和调试,防止故障出现,影响电动机正常运行。