
一提到保险公司,可能第一想到的就是精算师这个行业.这个神秘的行业以精算师资格证难考著称.那么精算师有多难考.小编可以举个例子.有些人上了精算专业的研究生以后仍然考不过精算师.而考一个精算师需要花费7-8年,投入大量的时间和精力.掉头发就不用说了.真的可能掉了头发花了时间也依然考不过.
现在就介绍一下北美的精算师需要考试的课程
北美精算师考试科目
七门考试:
●Exam P–Probability 概率论
●Exam FM–Financial Mathematics 金融数学
●Exam IFM- Investment and Financial Markets 投资和金融市场
●Exam LTAM-Long Term Actuarial Mathematics 长期精算数学
●Exam STAM - Short-term Actuarial Mathematics 短期精算数学
●Exam SRM- Statistics for Risk Modeling 风险建模统计
●Exam PA-Predictive Analytics 预测分析
普通人考这些课程需要有数学和保险学的基础,考试用的是英文.所以并不是一般人能够顺利考取得.
但是精算师的收入如何呢?现在国内一家普通外资保险公司,刚入职的精算师也就一万多两万人民币的薪酬.传说中薪资很高的总精算师,可能有1000万的薪酬,但是这些年也被限薪了.

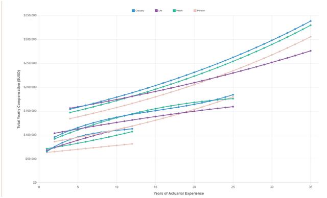
精算师的起薪确实不能用高来形容,但后期工资提升潜力大,十年以上工作经验年薪可达百万。
大陆地区entry level 平均年薪11万左右;5年后达到40万左右;10年以上行业相关经验,年薪可达百万。图2是19年5月某求职网站的招聘信息,要求10年以上精算或产品开发经验+3年以上精算部门管理经验,给出的薪资范围为240-300万。国内顶尖的总精算师薪资可达80-450万不等。

精算师因为较高的工资,现在很多年轻人都年纪轻轻考了精算师资格证.所以这个行业基本上是饱和的状态.所以,花费如此大的精力去考精算师,到底值不值当呢?看着保险业这几年的发展如此之好.小编只能说,能者多得吧!