一、选择题(共8小题)
1.集合运算

题1
考点分析 :本题考查集合的运算,考查交集定义、不等式性质等基础知识以及运算求解能力,是基础题,必须拿分。
解题分析 :先求出集合A,进而求出 ,由此能求出 的 集个数为4。
2.复数求值

题2
考点分析 :本题考查复数的运算性质以及复数求模,是基础题,必须拿分。
解题分析 :根据复数的运算性质求出 ,从而求出 的值,答案为 。
3.平均数和方差的应用

题3
考点分析 :本题主要考察极差和中位数的定义,以及平均数和方差的求法,属于基础题。
解题分析 :根据已知条件,结合极差和中位数的定义,及平均数和方差公式,得答案为C。
4.求曲线的切线方程

题4
考点分析 :本题考察函数的导数应用,切线方程的求法,是基础题。
解题分析 :设 ,求出导数方程为 ,将(-1,a)带入 得 ,求得 ,所以切线在(-1,0)这点的斜率为3,求出切线方程为 ,答案为A。
5.二项式定理应用

题5
考点分析 :本题主要考察二项式定理的应用,二项展开式的通项公式,以及二项式系数的性质,属于基础题。
解题分析 : 的展开式中第r+1项为 ,令6-r=4得r=2;令6-r=5,得r=1,所以原始展开式中 的系数为 ,答案为B。
6.函数图像分析

题6
考点分析 :本题考察函数的图像的判断,考察数形结合思想和推理能力,属于基础题。
解题分析 :由图像可知 为奇函数,
对于A, 是偶函数,故A错误;
对于B, ,故B错误;
对于C,定义域为 ,且 ,所以 为奇函数,
当 时, 增长更快,所以 ,C 错误。
该题正确答案为D。
7.抛物线问题

题7
考点分析 :本题主要考察了抛物线的焦半径公式,侧重对公式的转化能力以及计算能力,属于中档难度题。
解题分析 :利用三角形面积公式,可把△BCF与△ACF的面积之比转化为BC长与AC长的比,再根据抛物线的焦半径公式转化为A,B到准线的距离之比,借助|BF|=4求出B点坐标,得到AB方程,带入抛物线方程解出A点坐标,求出BN与AE的长度比,答案为A。
8.不等式问题

题8
考点分析 :本题考察不等式的性质及应用,以及导数的综合应用,属于难题。
解题分析 :根据题意可知, 同为正或同为负;
则 ,对四个选项分析:
对于A,根据a,b的取值范围可知, 恒成立,故A错;
对于B,左式减右式化简为 ,当 时,该式小 于0,即 ,所以C错误。
对于C, 所以
,所以 ,故C错。
排除法知该题答案为D,D的解法详见评论区。
二、多选题(共4小题)
9.直线与圆相交的问题

题9
考点分析 :本题主要考察直线与圆的位置关系及计算能力,属于简单题。
解题分析 :根据圆的方程,求出圆心坐标(1,-1),半径r=2,
求出圆心到直线 的距离d=1<2,即直线与圆相交,圆C上到直线 上距离为1 的点共有3个,故答案为BD。
10.三角函数图像问题

题10
考点分析 :本题主要考察三角函数图像的变换,以及三角函数的基本性质,属于简单题。
解题分析 : 时,
此时 上单调递增,故A正确,B错误。
当 时,
对称中心为 ,在区间 单调递减,故C正确;
该题答案为AC。
11.立体几何问题

题1112
考点分析 :本题主要考察空间点、线、面关系的基础知识,以及运算能力,属于中档题。
解题分析 :根据长方体的性质找到直线 所成角的平面角,判断A正确; 建立空间直角坐标系,利用向量判断B错误;将长方体补为以4为棱长的正方 体,求线面角和二面角,判断CD正确。
12.

题12
考点分析 :本题考察了函数的实际应用,等比数列的前n项和,属于简单题。
解题分析 :利用已知条件,分析可知每次操作去掉的区间长度成一个等比数列,判断该题答案为BC。
三、填空题(共4小题)
13.三角函数求值

题13
考点分析 :本题考察三角函数基本运算,属于简单题。
解题分析 :容易求得答案为
14.平面向量运算

题14
考点分析 :本题主要考察平面向量的数量积运算,以及共线向量的表示,属于中档题。
解题分析 :建立如下图的平面直角坐标系,则A(0,0),D(2,0),
当点P在BC上时,设
则 ,所以答案为[-2,2]
15.弧长求解

题15
考点分析 :本题主要考察弧长的求解,立体几何中的转化思想,属于中档题。
解题分析 :将三棱锥P-ABCD补全为棱长为 的正方体,根据已知条件判断棱锥各面与球面相交所成圆弧的圆心,进而求出弧长为 .
16.独立重复试验

题16
考点分析 :本题主要考察独立重复试验,概率乘法公式,属于基础题。
解题分析 :根据已知条件,结合独立事件的乘法公式,易得结果为 .
四、解答题(共6小题)
17.数列问题

题17
考点分析 :本题考察了等比数列的通项公式,以及数列求和,属于中档题。
解题分析 :因为 任意两个数不在同一列,即三个数必然各占一列,表格中满足等比数列的组合有2/4/8,3/6/12,且6和12在同一列,故舍弃。
(1)由上述分析,已知 ,又∵是等比数列 ∴
∴
(2)将 带入 得
记
记
当n为奇数时,
当n为偶数时,
综上,
18.三角函数问题

题18
考点分析 :本题考察了正余弦定理,两角和与差的公式,三角形面积等知识,属于中档题。
解题分析 :
(1)根据三角形面积公式及三角形内角性质可得 ,再由正弦定理的边角关系即可证明结论。
(2)由(1)及题设可知 ,进而求得 ,应用余弦定理及正弦定理边角关系求得sinB,即可求得cosB,最后利用cosA=-cos(B+C)及和角余弦公式求值即可,答案为
19.立体几何

题19
考点分析 :本题考察点线面关系证明,以及二面角求值,属于中档题。
解题分析 :


20.

题20
考点分析 :本题考察线性回归方程的求解,以及利用导数研究函数的单调性,属于中档题。
解题分析 :

21.动点轨迹方程

题21
考点分析 :本题考察了动点轨迹方程的求解涉及了正切的二倍角公式的应用,属于中档题。
解题分析 :
(1)设点M的坐标,将直线AM和BM的斜率之积用坐标表示,化简即可得到答案:
(2)设P(x,y)(x>0,y>0),利用∠PBA和∠PAB的关系,由两点间斜率公式以及二倍角公式的正切公式进行化简变形,得到一个等式,结合点P在椭圆上,求出P点坐标,即可得出答案。答案是
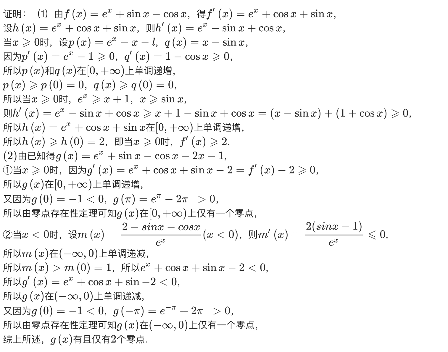
22.函数与导数

题22
考点分析 :本题考察利用导数研究函数的单调性与最值,考察不等式正经以及函数零点存在性定理的应用,属于难题。
解题分析 :
