吉林大学第一医院肝胆胰内科 李昕宇 迟秀梅 牛俊奇 报道
中国的糖尿病患病率正在迅速增加。糖尿病对慢性肝病和肝癌的的影响还不明确。研究目的是探索糖尿病与慢性肝病和肝癌之间的关系,随机血糖(RPG)和患有肝病但无糖尿病的中国成年受试者之间的关系,并评估乙型肝炎病毒(HBV)感染与糖尿病是否存在的相互作用。
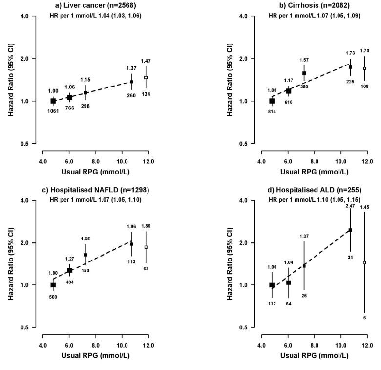
中国慢性病前瞻性研究中心(Kadoorie Biobank )于2004年至2008年期间,共招募了512891例受试者,受试者中有503993例基线无肝癌或慢性肝病病史,在10年随访期间,2568名参与者发生肝癌,2,082人发生肝硬化,1,298人因确诊非酒精性脂肪肝(NAFLD)住院,244名确诊酒精性肝病(ALD)住院。研究使用Cox回归模型评估了糖尿病病情与各种肝脏疾病的风险比(HR)以及未诊断糖尿病受试者的血糖水平与各种肝脏疾病的风险比(HR)。
基线时总体参与者中有5.8%患有糖尿病(既往诊断的糖尿病患病率为3.1%,筛查出糖尿病患病率为2.7%)。与无糖尿病的患者相比,糖尿病患者发生肝病风险比均增加,肝癌发生风险为1.49倍,肝硬化发生风险为1.81倍,非酒精性脂肪肝发生风险为1.76倍,发生酒精性肝病风险为2.24倍。糖尿病患者的患病风险随着持续时间增加而有下降趋势,但始终处于升高水平。无糖尿病的患者中,血糖与肝脏疾病发病风险呈正相关,调整后风险比为:每升高1毫摩尔/升血糖,肝癌发生的风险增加为1.04倍(1.03-1.06),肝硬化风险增加为1.07倍(1.05-1.09),非酒精性脂肪肝风险1.07倍(1.05-1.10),酒精性肝病为1.10倍(1.05-1.15)。 以上患病风险与血糖的关系与HBV感染无关。

总结:在中国成人中,糖尿病和未确诊糖尿病的高血糖水平患者发生肝癌和慢性肝病的风险增加相关。
临床指导意义在于中国有大量未确诊的糖尿病患者,糖尿病的早期发现可能有助于识别具有慢性肝病风险的人群,有助于预防其发展为肝硬化和肝癌。在临床实践中应关注患者血糖水平。
