
2021年6月,银保监会、人民银行发布了《关于规范现金管理类理财产品管理有关事项的通知》,对银行现金管理类理财产品的投资范围、集中度管理、流动性管理、杠杆率、偏离度等方面都做出了不同程度的收紧,拉平与货币基金监管标准。基于此,普益标准根据公开渠道披露的数据,选取2021年10月1日至10月31日期间已披露万份收益和7日年化收益率的存续公募现金管理类理财产品,对其近一个月内的平均7日年化收益率进行排名,推出“普益标准现金管理收益榜”,同时按照机构类型,推出“理财子公司现金管理收益榜”。
本期榜单中,广西北部湾银行“富桂宝天天添益系列G21999期净值型理财产品”平均7日年化收益率为3.9017%,摘得桂冠;柳州银行“"龙城理财"随鑫怡·添薪宝开放式人民币理财产品”平均7日年化收益率为3.8878%,位居第二位,与上期排名一致;广西北部湾银行“富桂宝天天添益系列G20888期净值型理财产品”平均7日年化收益率为3.7786%,位居第三位。
收益情况: 所有上榜产品平均7日年化收益率平均值为3.4377%,较上期下降了0.0788%;最低上榜产品平均7日年化收益率为3.2391%,较上期下降0.0873%。此外,有12款产品的平均7日年化收益率超过了榜单所有产品的平均7日年化收益率平均值,较上期增加2款。
机构类型分布: 上榜机构类型中,城商行产品数量最多,共有19款产品,占比63.30%;其次为农商行,共有8款产品,占比26.60%;股份理财子、国有理财子分别有2款、1款产品,占比分别为6.66%、3.33%。

理财子现金管理收益榜
本期榜单中,中银理财“尊享天天(非私人银行客户)”平均7日年化收益率为3.2735%,成功卫冕;平安理财“天天成长1号现金管理类人民币净值型理财产品”平均7日年化收益率为3.2492%,位居第二位;信银理财“日盈象天天利5号(新享日日金)现金管理型理财产品AF20A3007”7日年化收益率为3.2391%,位居第三位。
收益情况: 上榜的20款产品平均7日年化收益率平均值为3.1434%,较上期下降0.0454%;最低上榜产品平均7日年化收益率为3.0454%,较上期下降0.0655%。此外,有9款产品的平均7日年化收益率超过了榜单所有产品的平均7日年化收益率平均值,较上期增加2款。
机构分布: 上榜理财子总共11家,其中平安理财、兴银理财以及中银理财产品上榜款数最多,均为3款;信银理财、光大理财、华夏理财分别有2款产品上榜。

榜单说明:
☆ 现金管理型产品的判断标准:若该产品为每日开放申购赎回的固收净值型产品,且公开披露了万份收益信息,同时风险等级为一级或二级,则该产品归为现金管理型产品;若该产品为每日开放申购赎回的固收净值型产品,且产品名称中含有“货币”“现金”“流动”等词,同时风险等级为一级或二级,则该产品也归为现金管理型产品。
☆ 对于份额分级产品,选取该产品平均7日年化收益率最大的份额进行排名。
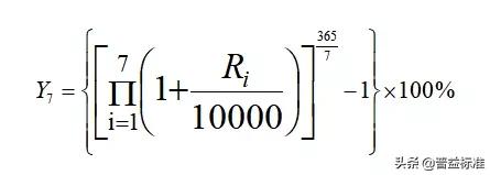
☆ 榜单样本:截至10月31日,存续的公募现金管理类净值型理财产品且在公开渠道披露万份收益和7日年化收益的产品,其中只披露万份收益的产品,7日年化收益率由普益计算得出,具体的计算公式为:

免责说明:
本排行榜所有信息及数据均来源于公开信息及合法渠道,由普益标准收集整理形成。普益标准是第三方数据研究机构,不做任何销售指导。普益标准本着审慎勤勉的态度,力求保证内容的客观公正,但不对本排行榜信息的真实性、完整性和准确性附带任何形式的保证。本排行榜内容的信息仅供读者参考,过往业绩不代表未来表现,市场有风险,投资需谨慎。