#头条创作挑战赛#
有一个不定积分公式,我们经常都会遇到。不过很多人记不住这个公式,因为它很少以公式的形式和大家见面。所以很多人在运用时,总是要重新推导一遍,增加了很多重复劳动,完全就是在浪费学习的宝贵时间。这里老黄帮你指出来,并且明确这个公式的形式,以后你再见到,直接运用就可以了。

下面从一道典型的例题说起:
求∫dx/(x^2-a^2) (a≠0).
注意这个不定积分的被积函数。它是一个分式函数,分母是一个平方差的形式,前面是积分变量的平方,后面是常数a的平方。规定a不等于0,下面的公式才有意义,否则就变成简单的幂的积分公式了。分子等于1,其实等于其它常数也是一样的,移到积分符号前面做系数就可以了。
解这个不定积分的步骤如下:
解:原积分=1/(2a)*∫(1/(x-a)-1/(x+a))dx【如果第一步就看不懂,把括号内两个分式通分相减,就会明白了】
= 1/(2a)*(∫dx/(x-a)-∫dx/(x+a))【运用了和的不定积分等于不定积分的和的线性法则,拆分成两个不等积分的和。两个不定积分都进行了凑微分,积分变量分别变成了u=x-a和t=x+a,如果你把u,t代入,就是显性第一换元积分法的运用,不代入就是隐性第一换元积分法的运用】
=1/(2a)*(ln|x-a|-ln|x+a|)+C.【两个不定积分都应用了(负1次幂的不定积分公式,结果等于积分变量的绝对值的自然对数】
=1/(2a)*ln|(x-a)/(x+a)|+C.【运用了对数差等于真数商的对数】

观察这个结果,它前面的系数是被积函数分母中的常数a的两倍的倒数,后面是积分变量与常数差除以和的绝对值的自然对数。当然最后还要加常数C。因此可以得到这样的一个积分公式:
∫dx/(x^2-a^2)=1/(2a)*ln|(x-a)/(x+a)|+C. (1)
用语言描述就是:变量与常数的平方差的倒数的不定积分,等于2倍这个常数的倒数,乘以变量与常数差除以和,商的绝对值的自然常数,加C。通过这样的文字语言描述,可以加强记忆。常见的形式还有:
∫dx/(a^2-x^2)=1/(2a)*ln|(x+a)/(x-a)|+C. (2)即变量作减数时,就用和除以差。
下面我们来看一道应用:
例1:求∫x^3/(x^8-2)dx.
解:原积分=1/4*∫(dx^4)/(x^8-2)【凑微分后,积分变量变成x^4,分母就是x^4与根号2的平方差了,可以直接运用公式】
=1/4*∫(dx^4)/((x^4+√2)(x^4-√2))【来到这一步就可以直接运用公式了】
=1/(8√2)*ln|(x^4-√2)/(x^4+√2)|+C.

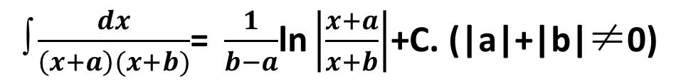
这个公式还是可以拓展的。只要分母是两个关于积分变量的一次函数的积,就可以把公式拓展成下面的形式:
∫dx/((x+a)(x+b))=1/(b-a)*ln|(x+a)/(x+b)|+C. (3)

这个公式很容易推导,请自行尝试,方面和推导上面的公式相似。下面解一道例题,会有一些变化,但万变不离其宗,只要适当转化形式,就可以了。
例2:求∫dx/((2-x)(x-3)). (|a|+|b|≠0) 【a,b都等于0,会使公式没有意义】
解:原积分=-∫dx/((x-2)(x-3))=-1/(-3+2)*ln|(x-2)/(x-3)|+C=ln|(x-2)/(x-3)|+C.

公式(1)和公式(2)其实都只是公式(3)的特例而已。所以真正的公式其实是公式(3).