萧箫 发自 凹非寺量子位 报道 | 公众号 QbitAI
你以为,斑马的黑白条纹,贝壳的复杂花纹,都只是随便长长?
并不!
这些 自然界的重复图案 ,有相当一部分能用 一组方程式 描述。
听上去有些离谱,但确实是 图灵 本人搞出来的——60年前,他对大自然进行一番研究后,给出了这组方程式。

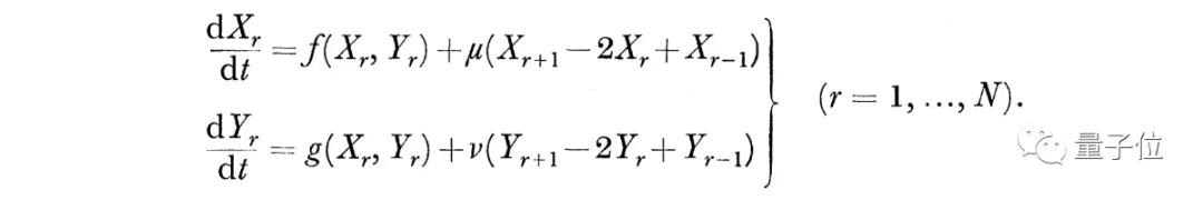
△反应扩散方程的一般形式
后来人们发现,这组方程式适用于不少自然界的图案,包括斑马、贝壳、鱼类、豹的条纹等。

△图源:维基百科
他们给这类图案统一起了个名字,叫 图灵斑图 (turing pattern)。
但无论是斑马、豹、贝壳还是鱼类,基本都属于宏观尺度的图案,微观尺度上的图灵斑图研究少之又少。
现在,来自斯坦福等高校的科学家终于发现,一种晶体生长的微观纹路,也可以用图灵斑图来描述:

这种晶体名叫 铋 ,它在特殊条件下的原子生长模式,与图灵方程式预测的形态非常相似,目前研究成果已经刊登到 Nature Physics 上。

△铋
没错,仅凭一组公式预测图案的图灵,60年后再次跨越了微观和宏观的界限。
“图灵斑图”是什么?
时间回溯到1952年。
艾伦·图灵 (Alan Mathison Turing)在利用计算机进行大量数*运学**算后,给出了一个叫做“反应扩散方程”(reaction–diffusion)的公式,即开头的方程组。

公式认为,任何重复的自然图案,都是通过 两种 具有特定特征的事物(如分子、细胞)进行相互作用而产生的。
两种事物的特定特征为:速度不同、能在空间内传播、其中一种是催化剂。这种催化剂,能自动激活、并随后产生*制剂抑**,使得它比催化剂的传播速度更快,导致催化剂中途停止,最终生成相应的图案。
只需要对反应扩散方程的不同条件进行约束,这两种事物,就能自发地组成斑纹、条纹、环纹、螺旋或斑点等图案。

但这个从数学层面推导出来的方程式,一开始并没有得到多少生物学家的认可。
直到数十年后,生物学家们才发现,图灵的反应扩散方程“意外地好用”。
虽说从生物学原理来看,图灵的反应扩散方程理论只能解释极少数图灵斑图;但从数学角度来看,它确实能对不少复杂的图案纹路进行描述和预测。
此前对于图灵斑图的研究,大多集中于宏观层面,从微观尺度应用反应扩散方程的研究少之又少。
然而,科学家们前段时间发现,在微观层面的晶体生长中,也会出现图灵斑图现象。
原先他们以为这是个巧合,但在进行研究后发现,图灵斑图现象是真的,而且能用图灵的反应扩散方程进行生长预测。
微观的铋原子生长
来自斯坦福大学的研究人员,最初试着让 铋原子 在二硒化铌表面长出一层薄薄的原子层。
但铋原子没按他们的思路走,反而在二硒化铌表面长成了一团不均匀的块状物。
斯坦福大学的研究人员感到困惑,便将这种现象展示给了日本电气通信大学的同行。
同行看后表示: 有点像图灵斑图 。
一开始他们没有深究这种可能性,毕竟铋原子生长似乎不符合图灵的反应扩散方程理论:必须要有分子等实体做催化剂。
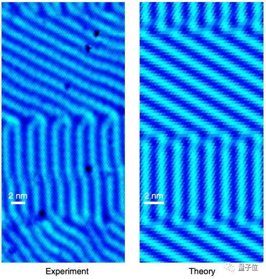
然而,当他们试着用反应扩散方程模拟铋晶体生长图案时,却发现预测结果与生长纹路高度相似:

△左边为铋原子的实际生长情况
研究人员们又回过头去分析铋原子在二硒化铌表面的生长情况,发现如果将反应扩散方程理论中对两类事物限定的“分子”条件改成“位移”,就能解释这种现象。
也就是说,铋原子在二硒化铌表面的 垂直位移 是催化剂,而 水平位移 是*制剂抑**。
这样一来,就能准确预测铋原子在二硒化铌表面的生长情况了。
这篇论文的一作Yuki Fuseya,日本电气通信大学助理教授,二作Hiroyasu Katsuno,则来自日本北海道大学。
另外两名作者Kamran Behnia和Aharon Kapitulnik,则分别来自巴黎文理研究大学和斯坦福大学。
所以,预测微观的晶体生长有什么用?
由于晶体具有 各向异性 ,即全部或部分物理、化学等性质随方向的不同而有所变化,因此会在不同方向上呈现出差异性。
如果能预测甚至影响微观晶体在某个方向上生长,就能将那个方向的物理/化学性能发挥得更好,例如材料的催化性能等。

下一步,作者们希望用观察铋获取的经验,来进一步观察锡等原子的生长情况。
图灵斑图在微观世界还会继续出现吗?让我们拭目以待。
论文地址: https://www.nature.com/articles/s41567-021-01288-y
参考链接: [1]https://www.quantamagazine.org/physicists-spot-turing-patterns-in-a-tiny-crystal-20210810/ [2]https://www.dna.caltech.edu/courses/cs191/paperscs191/turing.pdf [3]https://ethz.ch/content/dam/ethz/special-interest/mavt/process-engineering/separation-processes-laboratory-dam/documents/education/RCS_2020/Crystallization/Classes/2020_A5_crystal_growth.pdf
— 完 —
量子位 QbitAI · 头条号签约
关注我们,第一时间获知前沿科技动态