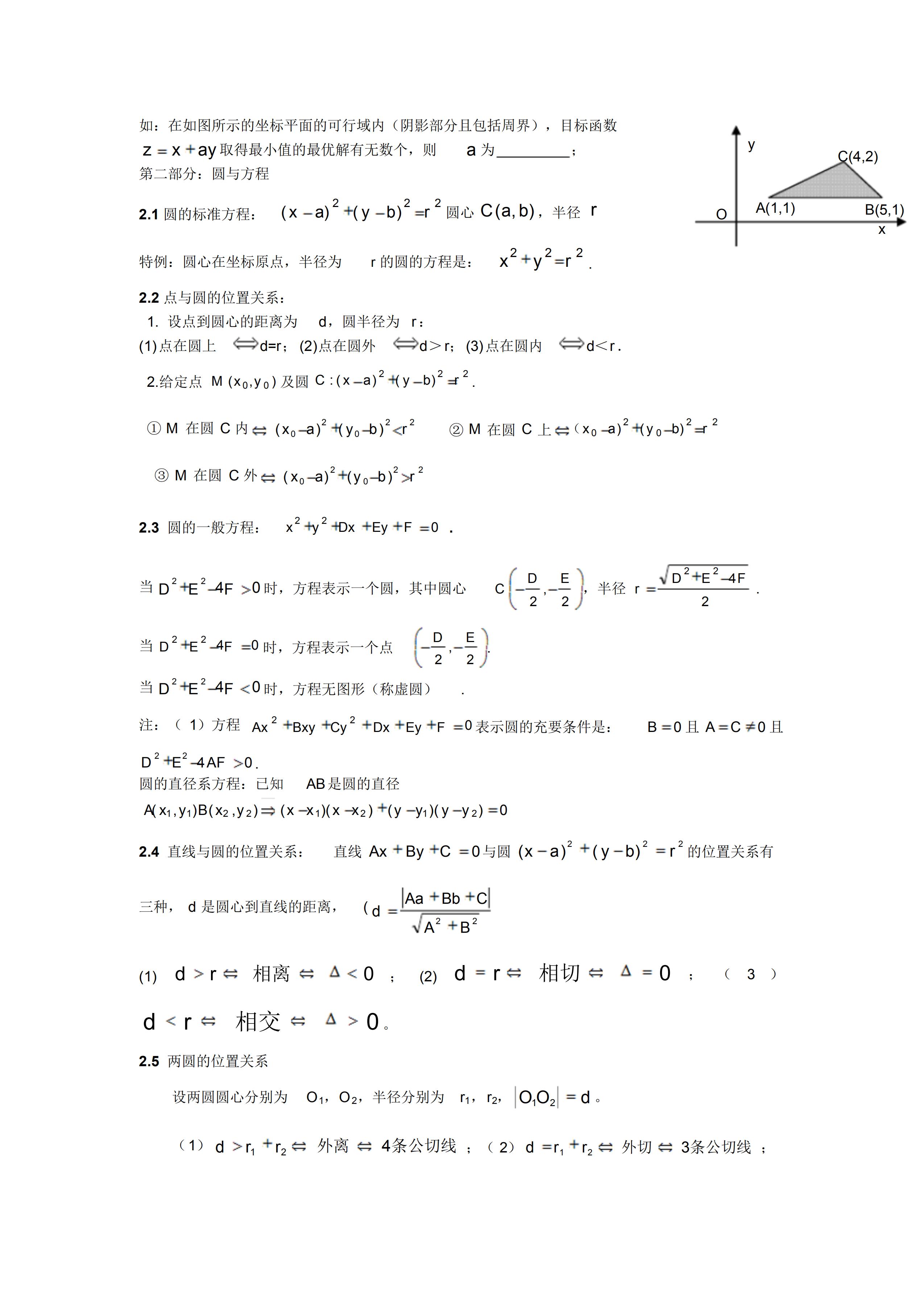
说道高中数学中的解析几何,很多同学就会很头疼。无论是作为选择题还是压轴题出现,都是难上加难。在这里我想要说,如果你觉得高中数学解析几何题太难了,就是你用错了方法,不妨可以先学思维再做题。
首先我们来分析一下,为什么同学们觉得解析几何题特别难? 解析几何在全国卷中,经常是两道小题和一道压轴题。而且题目也特别抽象,没有任何的图例,需要同学们自己利用坐标系去创建图形。
那应该如何去解决呢? 首先同学们的思维不应该只停留在解析几何概念表面的理解,而是要达到吃透考点,灵活运用解题方法的程度。其次就是要掌握一定的解题方法,比如坐标法、基于平面性质的解题方法等。

说了那么多,聪明的同学已经看出来了,想要拿下解析几何题,就要吃透基础概念、规律和公式,再去专研相关的方法技巧。就能拿高分。
所以,今天我要跟大家分享的资料就是 《高中数学解析几何知识点总结》 ,系统地概括了书上的基础知识+经典例题。让同学们一边做题,一边复习。(资料截取部分图片更新到下面)
资料有电子版,想要的同学和家长,可以私信我回复【数学144】领取,打印出来。









篇幅有限,这里只能更新一小部分内容,并且图片格式不能打印,想要打印的同学,可以私信我领取电子版。
如果你瞄准月亮,即使迷失,也是落在璀璨星辰之间。不管同学们现在是高一高二,还是高三了。我都希望你们能够好好地学习课本上的知识,先找到自己想要去的大学。然后奔着这个目标使劲。那么高考结束之后,即使你没有完成目标,那么距离自己想要去的大学,相差也不会太远。