几千年前,人们就一直在努力解释彩虹的起源,艾萨克·牛顿在他1704年的著作中提供了第一个真正令人信服的解释。
普通白光由整个可见光谱组成,通过使用玻璃棱镜折射光,牛顿能够将光分成其组成成分的颜色。我们现在知道光的颜色是由光的波长或频率决定的:波长越长,频率越低,光越红;波长越短,频率越高,光越蓝。不同波长或频率的光被玻璃冷静折射的角度略有不同,这就是导致不同颜色扩散并形成连续光谱的原因。牛顿意识到许多不同的材料也可以折射光(包括水),这就是他理解雨滴形成彩虹的关键。

人们早就知道,为了让某人观察到彩虹需要三个条件。首先太阳需要在你身后,其次你面前的天空必须有雨滴,第三阳光必须能够在没有任何障碍物(例如云)的情况下直接到达雨滴。
光线在液滴的路径
考虑一束红光入射到如下图所示的球形液滴上,我们暂时假设入射角α为45 度,我们希望计算这束光线穿过水滴时的路径。为了做到这一点,我们将使用斯涅尔定律,该定律将入射角α、折射角β和折射率n联系起来。折射率被定义为光在真空中的速度与光在所研究材料中的速度之比。

空气中的光速非常接近于真空中的光速,因此我们可以假设空气的折射率大约等于1。另一方面,水中的红光的折射率为1.33。我们可以将此信息代入斯涅尔定律,我们会发现折射角为32.12度。因此我们现在可以确定红色光线在液滴内移动时的路径。此后,一部分光线离开液滴,但至关重要的是,另一部分光线反射继续在液滴内传播。最后部分光线再次折射,以与进入液滴相同的45度角离开液滴。
如果我们使用的是一束蓝光而不是红光,这会有什么不同?在这种情况下,折射率会轻微改变,现在不是1.33而是1.34。虽然这似乎没有太大变化,但当我们将其代入斯涅尔定律时,它会产生31.85度的折射角,这导致蓝光在液滴内部的路径与红光不同,甚至与每一种颜色都不同。每种不同颜色光的折射角差异导致光在每个液滴中分散,最终产生彩虹的彩色带。

彩虹角的计算
接下来,我们来仔细研究一下几何形状,先以红光为例。在一束光入射到液滴再出射之后,出射光线几乎是与入射光线反向的,我们可以计算出出射光偏离入射光的角度。这个角度很大程度上取决于入射角度α,因此我们把这个偏离角度标记为D(α)。如下图所示,我们可以把所有角度都标示出来。

根据四边形的内角和为360度,我们有以下公式,并进行简化:

我们可以再利用斯涅尔定律,让空气的折射率为1,水对红光的折射率为4/3,于是可以得到:

把最终结果代入上式,我们可以得到:

对于这个结果,最好的方法是用图把它展示出来。我们以D(α)为纵坐标,以α为横坐标绘制曲线,如下图所示。

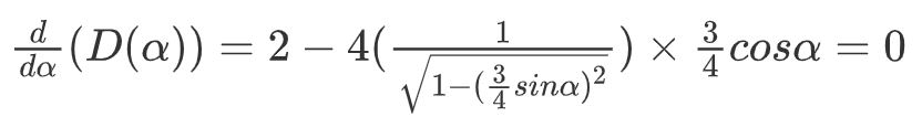
我们可以从图中看到有一个最低点,先来求这个最低点所对应的值,再来分析它的意义。在最低点处,它的导数值为零:

最终,我们可以算得入射角α=59.4度,而偏转角D(α)=138度。那么这个最低点有什么意义呢?如果我们让入射角从20度到40度,则对应于偏转角D(20)-D(40)=161-145=16度的偏移;如果让入射角从50度到70度,则对应于偏转角D(70)-D(50)=141-140=1度的偏移。换句话说,当入射角α处于最低值附近时,所有偏转的光线都倾向于聚集在一起,以偏转角D(α)等于138度为中心。
这种具有138度偏转角的光线积累意味着此角度的红光更亮更明显,与之对应的观测角42度被称为红光的彩虹角,也就是我们看到红光的最佳角度。此外,通过这种方法,我们也可以算得蓝光的彩虹角大约为40度。在这两个角度之间,我们就可以看到完整的彩虹。

有时候我们还可以看到双彩虹,在主彩虹旁边还有一亮度较不明显的次级彩虹。我们上面计算的是光在液滴中反射一次,如果光在液滴内反射两次,那么形成的就是次级彩虹,由于篇幅有限,这里就不再进行计算。
