哈喽,大家好!我们又见面了,欢迎继续关注【轩爸辅导】的【口袋数学】。日更【每日一学】【每日一练】,帮助孩子日积月累,考出好的成绩。配套辅导,哪里不会学哪里,哪里出错练哪里,帮助孩子提高效率。

脱去绝值符号是解绝对值问题的切入点,通常运用分类讨论的方法去掉绝对值符号。
在具体讨论中,涉及多个字母时,要考虑各个字母取值的所有情形,与多个绝对值相关时,要用到零点分段讨论法。
求零点、分区间、定性质、去符号是零点分段讨论法解题的一般步骤。即令各绝对值式子为零,得若干个绝对值为零的点,这些点把数轴分成若干个部分,再在各部分内化简求值。
01 典型例题讲解
例1、阅读下列材料并解决有关问题:
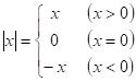
我们知道

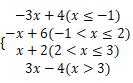
,现在我们可以用这一个结论来化简含有绝对值的代数式,如化简代数式|x+1|+|x-2|时,可令x+1=0和x-2=0,分别求得x=-1,x=2(称-1,2分别为|x+1|与|x-2|的零点值)。在有理数范围内,零点值x=-1和x=2可将全体有理数分成不重复且不遗漏的如下3种情况:
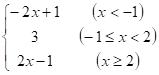
(1)当x<-1时,原式=

;
(2)当-1≤x<2时,原式=

;
(3)当x≥2时,原式=

。
综上讨论,原式=

通过以上阅读,请你解决以下问题:
(1)分别求出|x+2|和|x-4|的零点值;
(2)化简代数式|x+2|+|x-4|
【分析】通过阅读材料可知,令x+2=0, x-4=0, 可得零点值分别为-2和4。再通过零点值,把x的范围分成3段:x<-2, -2≤x<4, x≥4,分别判断出绝对值符号里面的算式的计算结果是正负的情况,然后去掉绝对值符号,再合并即可得出答案。
【解得】
(1) 令x+2=0, x-4=0, 解得x=-2,x=4。故|x+2|和|x-4|的零点值分别为-2和4。
(2) 当x<-2时,原式=-(x+2)-(x-4)=2-2x;
-2≤x<4时,原式=(x+2)-(x-4)=6;
x≥4时,原式=(x+2)+(x-4)=2x-2。
综上所述,|x+2|+|x-4|可化简为:


02 举一反三练习
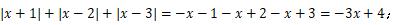
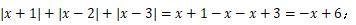
1、|x+1|+|x﹣2|+|x﹣3|的值为________.
2、若 |x|+3=|x-3| ,则x的取值范围是________.
03 参考答案解析
1、【分析】
由于题中有多个绝对值符号,所以需要分类讨论,先令x+1=0, x-2=0, x-3=0, 解得x的值为-1,2,3,然后分段讨论:①当 x ≤ − 1 时,②当 − 1 < x ≤ 2 时,③当 2 < x ≤ 3 时,④当 x > 3 时,分别判断出绝对值符号里面的算式的计算结果是正负的情况,然后去掉绝对值符号,再合并即可得出答案。
【解答】
解:当 x≤-1 时,

当 -1<x≤2 时,

当 2<x≤3 时,

当 x>3 时,

综上所述,

的值为

.
2、【分析】
先令x=0,x-3=0,分别求点零点0和3,再分①当x≥3时,②当0<x<3时,③当x≤0时三类来讨论,分别根据绝对值的意义,一一去掉绝对值的符号,再解方程即可得出结论。
【解答】
①当x≥3时,原式可化为x+3=x-3,无解;
②当0<x<3时,原式可化为x+3=3-x,此时x=0;
③当x≤0时,原式可化为-x+3=3-x,等式恒成立,
综上所述,则x≤0,故答案为x≤0.

转载请注明:轩爸辅导 » 【口袋数学】聚焦绝对值,利用零点分段讨论法解绝对值问题