徐富强
辽宁省交通规划设计院有限责任公司
摘 要: 某公路桥梁在运营阶段出现了墩柱偏位、支座损坏等病害,通过桥梁结构特征分析及病害现状研究,确定了梁底支撑面不水平是造成公路桥梁在运营阶段出现墩柱偏位现象的主要原因。制定了墩柱纠偏复位、更换新型球型支座以及墩柱加固等综合维修处治措施,结果表明:这些维修处治措施可以明显改善墩柱偏位现象,可阻止病害进一步发展,恢复桥梁的正常使用状态。
关键词: 桥梁检测;墩柱偏位;维修加固;球型支座;
我国基础设施建设经过近几十年的发展,已取得巨大成效,公路建设规模已基本满足现有交通需求,公路设施已从大规模建设阶段过渡为大规模养护阶段,其中已建成运营的公路桥梁逐渐出现桥梁病害,部分桥梁缺损程度严重,技术状况评定为4类或5类[1],需要及时维修,保证桥梁安全运营。以某预制简支变连续T型梁为工程背景,在桥梁运营阶段的定期检查中发现,连续梁简支墩墩柱以及盖梁中心线明显偏离梁端伸缩缝中心线,盆式支座出现严重的剪切损坏;经过竖直度测量,墩柱偏移量已超出规范[2]限值,将削弱墩柱承载能力和稳定性,极大地降低桥梁的使用寿命[3]。根据桥梁结构分析提出了墩柱纠偏复位、更换新型球型支座以及墩柱加固等综合维修处治措施,通过近三年的跟踪测量,证明该处治措施的有效性,为同类型桥梁的检测及维修提供参考。
1 工程概况
1.1 墩柱偏位典型病害
某公路桥梁上部结构为预制装配式后张预应力混凝土T梁,先简支后结构连续,跨径布置为(5×30) m+(4×30) m+(5×30) m,每孔5片梁,交角为90°,桥梁纵坡为2.0%~4.0%;伸缩缝采用模数式伸缩缝,全桥支座采用盆式橡胶支座,规格分别为GPZDX、GPZSX、GPZGD。下部结构桥墩为双柱式柔性墩,墩柱高度为9~23m,墩柱直径1.4m。设计荷载等级为公路-Ⅰ级。
在桥梁运营阶段定期检查时发现该桥简支墩盖梁中心线偏离梁端中心线,墩柱及盖梁向上坡方向(大桩号方向)偏斜,且墩柱底部存在多道横向裂缝,最大宽度为0.4mm,裂缝分布于小桩号侧底部,如图1、图2所示,进而对该桥进行专项检测。

图1 简支墩梁端偏离盖梁中心线 *载下**原图
经过专项检测,发现简支墩(5号墩、9号墩)盖梁顶盆式橡胶支座剪切损坏严重,支座钢盆及底座钢板整体随盖梁向小桩号侧窜动,支座橡胶及聚四氟乙烯板均被挤压外露,支座均失效,如图3、图4所示。墩柱竖直度测量结果如表1所示。
对简支墩小桩号侧梁底支撑位置预埋钢板的顺桥向坡度进行测量,具体测量结果如表2所示。

图2 简支墩墩柱底部横向裂缝 *载下**原图

图3 检测时4号墩盖梁顶支座现状 *载下**原图

图4 检测时9号墩盖梁顶支座现状 *载下**原图
表1 桥墩纵桥向墩柱竖直度测量结果表 *载下**原图

表2 简支墩梁底预埋钢板坡度测量结果表 *载下**原图

1.2 墩柱偏位特征分析
结合现场检测病害情况,该桥桥面简支墩5号墩、9号墩顶伸缩缝开口值基本匀称,未见异常,除5号墩、9号墩外的其他桥墩以及桥梁两侧桥台没有明显的纵向位移,说明上部结构在纵桥向没有发生整体位移。通过综合分析,发生墩柱偏位的桥梁具有以下典型特征:
(1)桥面存在较大纵坡,梁底支座支撑面不水平。桥梁所在线路存在较大纵坡,且桥面纵坡由桥梁上部结构形成时,梁底面一般跟随梁体存在纵向倾斜面,为了实现支座顶底钢板支撑面为水平面,就要在施工时在梁底支撑位置预埋支座调平钢板。在桥梁施工阶段,尤其是上部结构为预制装配式梁桥,实际施工控制不到位,使得梁底预埋钢板或者楔形找平钢板几乎与梁底倾斜面保持一致,不能实现落梁时支座顶钢板支撑面为水平面。在桥梁运营阶段,上部结构自重等恒载以及车辆荷载会在支撑面形成沿桥梁纵坡的水平分力,并作用于桥墩或盖梁顶部,形成墩柱变形偏位。梁底支撑面不水平为墩柱偏位的主要诱因。
(2)墩柱为高度较大的柔性墩。墩柱高度较大的柔性墩或排架墩,在同等纵向水平分力的作用下,墩柱抗弯能力较弱,更容易产生纵向偏位以及在墩底产生横向裂缝。
(3)发生偏位的墩柱均为简支墩。温度作用,在支座钢板处产生“年轮”现象;整体升温和整体降温作用使简支端两侧梁体伸缩,在墩顶或盖梁顶产生水平分力的差值,水平分力合力指向上坡方向,加剧了简支端支撑的桥墩产生上坡方向变形偏位[4],墩顶或盖梁受梁体自重的抑制出现不可恢复的残余位移,在支座钢板上逐年形成纵向累积位移的痕迹。
2 墩柱偏位维修处治措施
2.1 墩柱纠偏复位处治措施
针对出现偏位的桥梁墩柱,竖直度超过规范的限值,最直接有效的方式就是将墩柱向反方向纠正,使其竖直度符合要求,方可继续正常利用。利用设置的临时支座滑动摩擦系数差原理,制定了墩柱双控纠偏方案,并采用数控同步多点顶推施工方法,即修正墩柱竖直度的同时,控制水平顶推力不宜过大。开始纠偏施工时,首先将主梁整体顶升,拆除原支座,安装临时支座并在临时支座上设置滑动面,落梁;观测梁体及墩柱是否异常,然后开始水平顶推施工,观测竖直度恢复量以及顶推位移量,水平顶推施工后开始监测墩柱竖直度变化情况。墩柱纠偏复位处治措施可以有效地将墩柱竖直度恢复为符合规范要求,但不能从根本上解决墩柱偏位的产生诱因。墩柱纠偏复位施工过程如图5、图6所示。

图5 墩柱纠偏临时支座安装 *载下**原图

图6 纠偏施工过程中数值监控 *载下**原图
2.2 更换新型球型支座
针对支座位置支撑面不水平问题,设计使用了新型球型支座,当墩柱纠偏复位后,拆除原支座以及施工临时支座,替换为新型球型支座。该新型球型支座利用中间球型钢衬板和球面聚四氟乙烯板的滑动以实现支座转动,除具有竖向转动角度大(设计转角可达±0.05rad)的特点之外,最大的创新之处在于球型钢衬板凸球面朝向支座上部,球面聚四氟乙烯板位于支座上顶板钢盆内,并包裹球型钢衬板,圆形平面聚四氟乙烯板以及平面底钢板位于支座底部。纠偏施工完毕再次落梁后,该新型球型支座顶板钢盆能与带有倾斜角度的梁底面相适应,使得支座顶底部支撑面自动调整为竖直方向,进而从根本上解决墩柱偏位的诱因。新型球型支座具体实物如图7~图9所示。
2.3 墩柱加固处治措施

图7 新型球型支座顶钢盆及球型钢衬板 *载下**原图

图8 新型球型支座球面钢衬板及下底板 *载下**原图

图9 新型球型支座 *载下**原图
对于墩柱偏位较严重的情况,墩柱底部已经产生横向裂缝病害,则需要对墩柱进行加固维修。对于裂缝宽度小于等于0.15mm的墩柱,先对裂缝进行封闭处理,并采用在墩柱周围粘贴碳纤维布的维修加固措施[5]。对于裂缝宽度大于0.15mm的墩柱可采用增加截面的方法在原墩柱底部外包混凝土进行加固维修。
3 墩柱偏位维修后监测
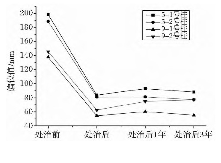
针对本文背景桥梁存在的墩柱偏位病害,经过纠偏复位、更换新型球型支座以及墩柱外包混凝土加固综合维修处治之后,为了验证所提出的综合处治措施的有效性,特对该桥5号墩、9号墩进行跟踪测量,测量结果如图10所示。

图1 0 墩柱偏位综合处治竖直度跟踪测量结果 *载下**原图
通过近三年的跟踪测量结果表明,提出的针对墩柱偏位的综合维修处治措施可以有效地解决因梁底支撑面不水平造成的墩柱偏位及衍生病害,维修处治后的桥梁墩柱竖直度未见明显发展,证明该综合处治方案的有效性。
4 结语
桥梁定期检查过程中发现的墩柱偏位的病害较为常见,如不及时维修处治,将会对桥梁结构的安全运营带来极大隐患,针对该类病害分析总结了该类桥梁发生墩柱偏位所具有的病害特征以及桥梁结构特征,提出的综合维修处治措施,可在较短的工期内使其恢复正常工作状态。
通过该类桥梁病害特征总结,可以得到以下几点提示:
(1)纵坡较大的桥梁,在施工过程中要严格控制支座上下支撑面的施工精度,尤其是预制装配式桥梁在落梁后保证其梁底支撑面为水平面。
(2)对于落梁后梁底倾斜面未达到设计要求的,可及时在梁底增加调平楔形钢板的方式进行支撑面调平,确保支座水平。
(3)墩柱底部未见横向裂缝的,墩柱偏位对墩柱底部产生的附加作用力未超过墩柱承载能力,可不必对墩柱进行维修加固,只进行墩柱纠偏复位以及更换新型球型支座即可。
(4)墩柱底部存在堆土压力或地基不稳定,也会造成墩柱偏位,此病害的产生机理与梁底支撑面不水平造成的墩柱偏位不同,维修加固措施也不同。
参考文献
[1] 中华人民共和国交通运输部.公路桥梁技术状况评定标准:JTG/T H21—2011[S].北京:人民交通出版社,2011.
[2] 中华人民共和国交通运输部.公路工程质量检验评定标准:第一册土建工程:JTG F80/1—2017[S].北京:人民交通出版社,2018.
[3] 孙文龙,李世春.某桥梁墩柱偏位成因分析及处治建议[J].北方交通,2013(7):39-42.
[4] 冯永航.连续梁桥桥墩偏位成因分析及纠偏方案验算[J].低温建筑技术,2021(4):91-94.
[5] 祁朝相.公路桥梁高墩偏位检测与加固方案[J].北方交通,2020(5):32-35.