栏目介绍
彤心飞传是由天津医科大学第二医院心脏科刘彤教授和郑州大学附属洛阳中心医院心内科谷云飞共同推出的一档心血管前沿文献速读栏目。每期精选国际顶级期刊心血管领域的最新文献进行深度呈现,以期让国内相关专业人员可以同步跟踪学科进展,了解前沿动态资讯,获取最新研究结论。

心房颤动(AF)是临床上最常见的心律失常,其发病率较高,且死亡率增加[1]。肥胖的流行是导致AF发生率和患病率增加的主要原因之一。尽管三分之二的美国成年人超重或肥胖(体重指数[BMI]> 30)[2],但BMI与房颤发生的因果关系仅在近年来的一些随机研究中得以报道[3]。
尽管导管消融治疗已取得了较大进展,抗心律失常药物(AAD)仍常用于治疗症状性AF[4,5]。然而,患者对膜活*药性**物的反应却不尽相同,大约50%的治疗患者在6个月内可出现AF的症状性复发[6]。可能与疾病潜在的心房基质异质性和未能正确选择基于发病机制的治疗药物有关。尽管人们对肥胖导致房颤的潜在病理生理机制知之甚少,但最新证据支持对于心脏钠通道-Nav1.5的调控是重要潜在机制之一。动物模型中Nav1.5表达的增加或减少与AF发生相关提示钠通道重构参与肥胖诱导的AF[7,8]。此外,编码Nav1.5的SCN5A突变与家族性AF相关[9-11]。但是,尚不清楚肥胖AF患者心脏钠通道调节在AAD预防心律失常复发中的作用,尤其是I类抗心律失常药物(钠通道阻滞剂)。刚刚发表在JAMA Cardiology上的一项研究[12]就针对肥胖对于症状性房颤患者和饮食诱导肥胖(DIO)小鼠抗心律失常药物治疗反应的影响进行了探讨。
该研究包括两部分内容。第一部分为观察性研究,评估肥胖与房颤的相关性,以及对于AAD的治疗反应。入选标准包括年龄超过18岁,AF病史,开始应用I或III类抗心律失常药物维持窦律治疗。所有患者开始AAD治疗后仍有症状发作者给与30天事件记录仪检测AF,每位患者每次随访时均行心电图检查,具体研究流程见图1。当患者继续以最大耐受剂量接受相同的I类或III类药物至少3个月时定义为药物治疗有反应。药物无反应定义为由于房颤症状复发需要更换治疗方法,从而在3个月内终止最大耐受剂量的AAD治疗。通过12导联心电图,Holter和/或30天事件记录仪评估症状性AF复发。第二部分为动物实验。高脂饮食制作DIO小鼠模型,当其体重超过30g时为肥胖。小鼠采用食管起搏刺激进行AF诱发。可诱发AF定义为诱发快速、紊乱的房性节律持续1秒钟以上。反之为未诱发AF。

图1 房颤患者研究流程图
第一部分研究中,最终入选311例患者,肥胖及非肥胖患者的基线资料见表1。其中168例(54%)肥胖患者,肥胖患者合并糖尿病、高血压、呼吸睡眠暂停及冠心病更多。肥胖患者对于I类AAD无反应比例更高(30% Vs 6%;95%可信区间:0.11-0.37,P=0.001)。311例患者中有36例(11.6%)使用AAD无法完全控制AF复发,64例肥胖AF应用I类AAD治疗患者中19例(29.7%)存在症状性AF再发,该19例患者中14例(73.7%)换用III类AAD治疗后维持窦律6个月以上,5例成功接受消融治疗。51例无肥胖AF应用I类AAD治疗患者中仅有3例(5.9%)出现AF的再发。5例无肥胖且对III类AAD治疗无反应的患者中,4例接受了消融治疗,1例转换为胺碘酮治疗。
表1 两组患者的基线资料

多元logistic回归分析中,AAD种类、肥胖、性别、高血压和甲亢与AAD治疗无反应具有相关性。多元分析时,肥胖、AAD种类、女性和甲亢是药物治疗无效的预测因素,肥胖患者使用I类和III类AAD比较时,治疗无效的OR为4.43,P=0.001,女性和男性相比时,治疗无效的OR值2.31,P=0.03,甲亢发生治疗无效的OR为4.95,P=0.02,具体见表2。
表2 对于药物治疗无反应的多元回归分析

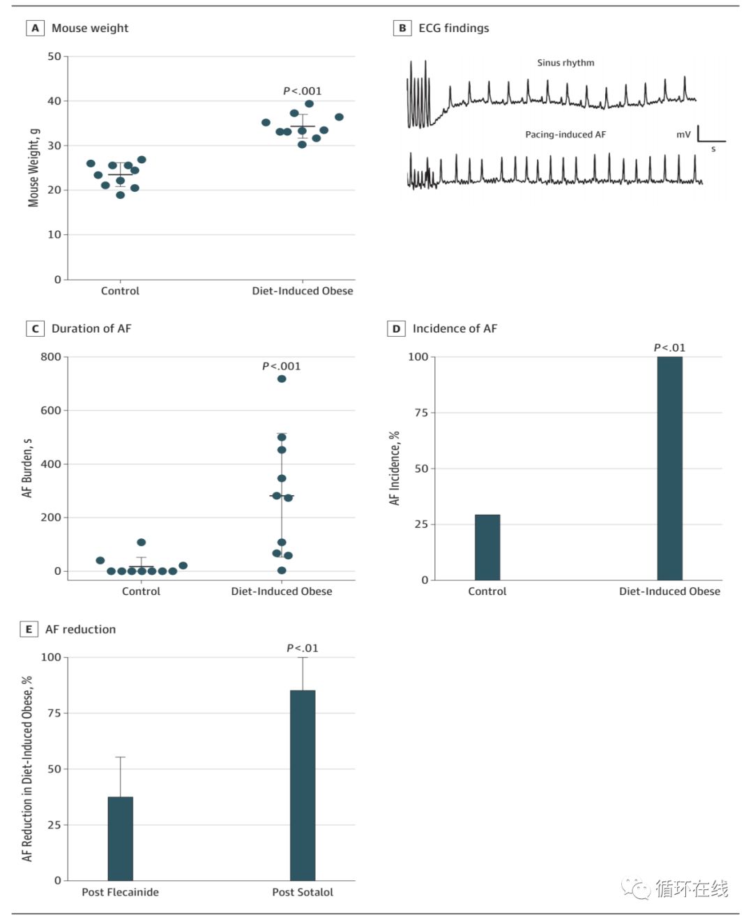
动物实验部分,DIO组小鼠的平均体重为34.8g,对照组小鼠平均体重为24.6g(P<0.001),见图2A。图2B为起搏刺激诱发AF。DIO组小鼠和对照组相比,平均AF负荷明显增加(280 Vs 16.5秒,P<0.01),且DIO组AF发生率为100%,而对照组发生率仅为30%,见图2C。后将小鼠随机分组给与静脉注射氟卡尼或索他洛尔处理,并再次起搏刺激诱发AF,与AF患者研究结果类似,DIO组小鼠应用索他洛尔和应用氟卡尼处理相比,可明显降低AF负荷(85% Vs 25%,P<0.01),见图2D。

图2 小鼠特征以及对于起搏诱发AF的反应
该研究结果提示:肥胖是房颤易患人群的重要危险因素,同时肥胖导致房颤对于AAD的治疗反应不同,此类患者AAD治疗过程中,与钾通道阻滞剂相比,钠通道阻滞剂的治疗效果明显下降。上述结果可能对于肥胖患者的房颤药物治疗选择具有临床意义。