6年级数学应用题怎样找单位1 (六年级数学量率对应应用题练习题)

小学六年级数学确定单位“1”,找准对应量和分率,轻松解应用题

在解答分数应用题时,最关键的是确定单位“1”,找准对应量和对应分率,然后根据数量关系列出算式。

小学六年级数学确定单位“1”,找准对应量和分率,轻松解应用题

例题精选

小学六年级数学确定单位“1”,找准对应量和分率,轻松解应用题

小学六年级数学确定单位“1”,找准对应量和分率,轻松解应用题

分析

小学六年级数学确定单位“1”,找准对应量和分率,轻松解应用题

小学六年级数学确定单位“1”,找准对应量和分率,轻松解应用题

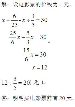
解答

方法一:分数法

小学六年级数学确定单位“1”,找准对应量和分率,轻松解应用题

方法二:方程法

小学六年级数学确定单位“1”,找准对应量和分率,轻松解应用题