
H7N9 virus
引言
国家卫计委疾病预防控制局2月14日发布2017年1月全国法定传染病疫情概况。与2016年12月份数据相比,2017年1月的H7N9疫情明显上升。2016年12月我国感染H7N9禽流感106例,20人死亡;而到了2017年1月,人感染H7N9禽流感发病数192例,死亡数79人!2月14日,北京市报告了2017年第二例输入性H7N9病例。2月19日,广东H7N9感染者病例中发现病毒变异株。时隔三年,H7N9高致病性禽流感卷土重来!
H7N9型禽流感于2013年3月底在上海和安徽两地率先发现。经调查,H7N9禽流感病毒基因来自于东亚地区野鸟和中国上海、浙江、江苏鸡群的病毒基因重配。

Genetic evolution of H7N9 virus in china, 2013
人感染H7N9禽流感潜伏期一般为7天以内。患者一般表现为流感样症状,如发热,咳嗽,少痰,可伴有头痛、肌肉酸痛和全身不适。重症患者病情发展迅速,表现为重症肺炎,体温大多持续在39℃以上,出现呼吸困难,可伴有咳血痰;可快速进展出现急性呼吸窘迫综合征、纵隔气肿、脓毒症、休克、意识障碍及急性肾损伤等。
禽流感简介
禽流感病毒(AIV,avian influenza virus)属正粘病毒科甲型流感病毒属。1878年从瘟鸡中分离得到的,1901年称这种“鸡瘟病原”为“过滤性因子”或鸡瘟病毒(Fowl plaguevirus,FPV)。后来,又发现新城疫病毒(Newcastle disease virus,NDV)在禽中也可引起鸡瘟样疾病,即我国俗称的“鸡瘟”。为区分两者,前者称为真性鸡瘟或欧洲鸡瘟病毒,后者称为伪鸡瘟或亚洲鸡瘟病毒。1955年,根据病毒颗粒核蛋白抗原特性,认定FPV为甲型流感病毒的一员。绝大多数在禽中并不引起鸡瘟,甚至呈静默感染或健康携带状态,如2013年在我国新发现的H7N9禽流感病毒,基本不会导致禽间致病。
禽甲型流感病毒颗粒呈多形性,其中球形直径80~120nm,有囊膜。基因组为分节段单股负链RNA。依据其外膜血凝素(HA)和神经氨酸酶(NA)蛋白抗原性不同,目前可分为16个H亚型(H1~H16)和9个N亚型(N1~N9)。禽甲型流感病毒除感染禽外,还可感染人、猪、马、水貂和海洋哺乳动物。可感染人的禽流感病毒亚型为H5N1、H9N2、H7N7、H7N2、H7N3,此次报道的为人感染H7N9禽流感病毒。该病毒为新型重配病毒,其内部基因来自于H9N2禽流感病毒。
致病性禽流感流行病学
禽流感病毒家族中已确认三种亚型可以感染人类,分别是H5,H7及H9,如下表所示。个体可通过呼吸道黏膜区域对感染性分泌物的直接接触,以及受感染的鸟类粪便或家禽产品而被感染。禽流感的主要感染渠道为上呼吸道及其粘膜,通常只有大量暴露于感染环境后才有可能进入下呼吸道,如对受感染禽类的大规模捕杀行动中。其他可能的感染途径,如胃肠道等仍有待探讨。

有关禽流感病毒可以直接从禽类传染至人类的警示于1997年第一次发生在香港,该次流行导致18人感染,6例死亡。长期监控数据表明,高致病性H5N1禽流感病毒存在于大部分中国南方省区的家禽中。1997年后,伴随着禽类交易以及候鸟的前夕活动,H5N1病毒已从亚洲传播至欧洲、非洲及远东地区。在过去的十多年里,全球约有600例感染确诊,死亡率高达60%。相比而言,儿童及青年人为该病毒的易感人群。
2002年以来,H7亚型的禽流感也已在加拿大、中国、意大利、荷兰、美国及英国引发多起流行。2003年,一株高致病性H7N7禽流感病毒被发现可以从鸭子感染人类,导致89例患者确诊,其中一位患者死于禽流感引起的严重肺炎。其他几类高致病性H7禽流感株,如HPAI H7N3、LPAI H7N3及LPAI H7N2等也在近些年零星爆发,但只导致人类出现一些轻微的病症。在2013年中国区域的H7N9流行中,确诊病例总计132位,死亡37人,而在17年的此次流行中,截至一月份两项数据已经分别达到192和79人。尽管目前所有H7亚型的禽流感病毒为人畜共患病,但受体结合特性决定了该病毒有较大风险演变成为人际传染性疾病。
LPAIH9N2病毒最早于1999年在香港发现人类感染病例,此后从人类分理出的案例很少。H9N2感染所导致的症状较为轻微,且目前尚未有证据表明该病毒可发生人与人间的传播。
可用于禽流感的抗病毒药物
作为流感病毒的一类,禽流感具备普通流感病毒的各类特征。人类对抗禽流感的主要措施包括药物及疫苗两大类,本文论述重点为针对禽流感的药物及可能的研发思路,不涉及流感疫苗。
目前有几类安全性及疗效都比较好的药物可用于治疗人类及禽类流感病毒的感染,包括M2、神经氨酸酶、聚合酶、粘附信号通路等的*制剂抑**,以及ribavirin、arbidol及中草药。目前几类M2及神经氨酸酶*制剂抑**类药物已经获得审批用于流感的预防与治疗,如下表所示。其他一些药物则处于临床前或临床研究阶段中。
Main Characteristics of current available antivirals
M2*制剂抑**类药物
M2离子通道控制着病毒体H+的流动,并对内吞体中病毒颗粒的脱衣壳过程至关重要。目前商业化的M2*制剂抑**类药物有两种,Amantadine及Rimantadine,中文名分别为盐酸金刚烷胺及金刚烷乙胺。两者被广泛用于治疗人类及禽类流感病毒感染,能够缩短病程,缓解各类相关症状。不幸的是,由于该类药物的过度使用,在一些当前周期性出现的动物感染性病毒,如H5N1、H9N2、H1N1及H7N9中,都出现了对M2*制剂抑**的抗药性。抗药性的出现,极大限制了药物在人类感染病例中的应用。抗药性对应的突变主要出现在M2蛋白的跨膜区域,特别是位点26、27、30、31及34位氨基酸,从而导致M2通道孔径变大,使得M2*制剂抑**类药物结合能力显著下降。研究表明,盐酸金刚烷胺抗性病毒株的出现并不是由于持续*药性**物选择压力所导致,因此WHO推荐在使用该药物治疗禽流感感染时,需确认病毒株对药物的敏感性。

神经氨酸酶*制剂抑**
病毒神经氨酸酶可以切割外泌的子代病毒体,从而使其可以扩散至其他宿主细胞。神经氨酸酶*制剂抑**,大部分为环戊烷或吡咯烷的衍生物,可以通过阻断新生病毒粒子的释放而阻止病毒的进一步扩散。目前已获得审批用于人感染禽流感治疗的神经氨酸*制剂抑**类药物有Oseltamivir、Zanamivir、Peramivir及Laninamivir,中文名分别为奥司他韦(商品名达菲)、扎那米韦、帕拉米韦及拉尼米韦。前两者广泛应用于大多数国家,对流感疗效甚佳;特别是奥司他韦,早期服用不仅可以缩短病程,还能够减缓其他关联症状。神经氨酸酶*制剂抑**类药物在体内外测试中均展现出良好的疗效,同时药物的保护效果会受到病毒株毒力、药物剂量及治疗起始时间等因素的影响。临床试验表明,Oseltamivir及Zanamivir对降低致死性H5N1感染的死亡率比较有效,同时出现抗性的案例较为罕见。由此,WHO推荐这两种药物作为主要药物用于治疗和预防干预人类的禽流感病毒感染。尽管如此,对禽流感病毒药物敏感性的监控仍必不可少。在新开发的神经氨酸酶*制剂抑**类药物中,Laninamivir在肺部药效持续时间极长,可以长效抗病毒,并有望实现单剂量预防流感感染。
其他药物研发思路
RNA聚合酶*制剂抑**
流感病毒的RNA聚合酶有几个亚基构成,包括PB1、PB2及PA,对于禽流感病毒在人体中的毒力至关重要。因此,科研人员预测,新型靶向于RNA聚合酶的抗病毒药物将会降低AIV的复制能力,从而抑制病毒所引发的病理过程。现有RNA聚合酶*制剂抑**根据化学结构可分为核苷类和非核苷类。其中5-氟脱氧胞苷类似物2’-FdC及法匹拉韦(T705)在体内及体外实验中均表现出对流感病毒的抑制活性。另外,还有部分生物大分子表现出对AIV感染的抑制活性,如IFNs诱导的的GTPase Mx1、PB1 (731-757)小肽及THC19和ASN2等新型化合物。尽管这些RNA聚合酶*制剂抑**的临床效果有待进一步探索,但为靶向于RNA聚合酶药物的研发提供了新的思路。

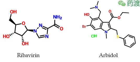
Ribavirin及Arbidol
Ribavirin及Arbidol长期以来被认为是广谱的抗病毒药物,且具有抗药性的病毒几乎没有被观察到。Ribavirin的药物靶点为肌苷5’-磷酸(IMP)脱氢酶,后者参与病毒RNA合成过程及胞内GTP的合成。Ribavirin的临床效果受给药方式影响较大,雾化吸入方式对病毒的消除及缩短病程效果要好于口服。而且,临床对Ribavirin的使用还受限于溶血性贫血及致畸性的风险。Viramidine是一种鸟嘌呤核苷类似物,是利巴韦林的3-羧氨基衍生物,相对毒性较小,且在体外实验中表现出对致死性流感病毒侵袭的保护作用,该药曾进入HCV治疗的3期临床研究。

Arbidol在俄罗斯已广泛使用了接近20年;其作用机制较为复杂,其抗病毒活性很可能来自于膜融合抑制作用及免疫调节活性。Arbidol可通过微量调节蛋白的pH而起到稳定HA活性的作用,其对H5N1、H9N2、H2N2及H6N1禽流感病毒的IC50值在19.4-58.3μmol/L之间。与此同时,arbidol还可通过调节促炎症因子的表达保护宿主免于病毒诱导的炎症损伤。现有的研究数据表明,该药物很可能对人类中严重的禽流感病毒感染也是有效的。
病毒粘附*制剂抑**
流感病毒需要结合与SA受体方能进入宿主细胞。目前有很多针对禽流感病毒研发的病毒粘附*制剂抑**,包括唾液酸酶类似物,唾液酸化的含糖聚合物及HA*制剂抑**。DAS181是一类吸入型的唾液酸酶重组蛋白,可破坏病毒与宿主细胞受体间的相互作用,在一项2期临床试验中可显著降低病毒载量,但患者症状并无改善。相比于病毒SA,唾液酸化的糖聚合物及其他一些HA*制剂抑**(如Neo6、EB多肽及NDFRSKT多肽)表现出更强的HA结合能力,从而能够阻断H5N1及H9N2禽流感病毒对宿主细胞的粘附。另一类融合*制剂抑**TBHQ可结合在相互作用面上的疏水作用区,从而抑制膜融合所必须的蛋白构象变化。尽管上述药物大多数处于临床前研究阶段,但有可能在应对新出现的流感毒株,特别是禽流感时发挥作用。
信号转导*制剂抑**
除了直接靶向于病毒蛋白的*制剂抑**外,现有的抗病毒策略同样聚焦于与病毒复制相关的胞内外细胞信号转导通路。有两条信号通路对病毒的有效复制是必须的,同时也是抗病毒的理想靶点,分别为IKK /NF-κB通路及Raf /MEK /ERK信号通路。除此外,两条通路对于流感病毒感染过程中宿主细胞因子及干扰素的合成也至关重要。因此,靶向于它们的*制剂抑**不仅可以抑制病毒的复制,还可以改善AIV感染中严重的系统性炎症反应。该假说已在体内外实验室层面的研究中获得证实。阿司匹林,作为靶向于NF-κB的*制剂抑**,以作为常规流感类用药使用多年。目前体内外的研究都表明,高剂量的阿司匹林可以阻断病毒的复制,通过吸入方式开展的临床研究也在规划中。尽管针对该类型*制剂抑**的现有研究结果充满了矛盾之处,但有望为禽流感感染的治疗提供新的策略。
中草药
中草药同样也是禽流感治疗的潜在选择。在2009年H1N1及2013年H7N9的流行中,中国政府曾官方推荐了部分中药。含有金银花、连翘、板蓝根、防风、柴胡等中草药的配方常用于流感感染的预防与治疗。针对重要治疗流感曾开展了很多项临床试验。在一项对重要治理H1N1的系统性临床试验中,几乎没有中药对控制病毒扩散产生阳性效果,大部分的阳性效果表现为退烧及对其他症状的缓解。尽管更多严谨的随机双盲+安慰剂对照试验有待进一步开展,很多中药展现出的免疫调节的活性,从而有望辅助禽流感的治疗效果。
其他类别药物
研究发现,甲型禽流感病毒中的一些蛋白酶,如TMPRSS2及HAT也是潜在的药物靶点,小肽类型的*制剂抑**已在体外实验中验证了这一假说。丝氨酸蛋白酶介导了病毒中HA蛋白的切割,从而推进流感病毒的激活。靶向于丝氨酸蛋白酶的*制剂抑**,如Aprotinin、Leupeptin及Camostat等可以抑制HA的切割,从而限制人及禽HA切割位点中含有单个精氨酸残基的流感病毒的复制。据此预测,此类*制剂抑**将对以H5和H7亚型为代表的HPAI病毒有疗效,两者的HA中存在多个R/K切割位点。
另外,还有些靶向于NS1蛋白的药物展示出抗流感病毒的潜力。例如,JJ3297通过逆转NS1诱导的的干扰素mRNA合成抑制作用,抑制流感病毒的复制及传播。而一种JNK*制剂抑**,SP600125,则可通过非直接性抑制NS1介导的结构性功能来减弱流感病毒的复制。
小结
近20年来,不同亚型禽流感的频发爆发表明,这类病毒对人类生存状态仍是一个潜在威胁。很多禽流感患者死于病毒性肺炎及其他严重并发症。因此,快速、高灵敏度及验证性的早期确诊禽流感病毒,持续性的对病毒演化进行监控,对禽流感病毒爆发的控制至关重要。值得注意的是,禽流感感染与普通人类流感病毒感染在很多方面有所差异,包括病毒的传播扩散、临床特征、致病机理及宿主反应等。同样,禽流感感染的诊断和治疗也有自己的特征。例如,对下呼吸道分泌物进行样本分析往往会获得更高的诊断灵敏度。目前已有一些药物用于禽流感病毒的预防及治疗,包括M2*制剂抑**、神经氨酸酶*制剂抑**及利巴韦林等。随着抗药性出现频率的提高,对抗病毒药物的理性应用及药物抗性的持续性监控也应获得足够重视。与此同时,医药工业界应投入更多精力来进行新型靶向于病毒复制基本过程,如病毒的吸附、内吞及其他一些重要分子,诸如病毒RNA聚合酶、PB1-F2及NS1等的抗病毒药物的研发。
截至本文投稿时,台湾已确认H5N6高致病性禽流感病毒在禽类中的感染案例,且疫情持续扩散,大批禽类被扑杀。人类与高致病性禽流感的斗争,任重而道远!
缩略词表:
AIV, avian influenza virus
HA, hemagglutinin
NA, neuraminidase
LPAI, low pathogenic avian influenza
HPAI, highly pathogenic avian influenza
本文所参考文献:
1. Characteristics of human infection with avian influenza viruses and development of new antiviral agents. Acta harmacologica Sinica (2013) 34: 1257–1269
2. Advances in the development of influenza virus vaccines. Nature Reviews Drug Discovery14, 167–182
3. A Systematic Review of the Comparative Epidemiology of Avian and Human Influenza A H5N1 and H7N9 – Lessons and Unanswered Questions. Transbound Emerg Dis. 2016Dec;63(6):602-620. doi: 10.1111/tbed.12327
4. Human H7N9 avian influenza virus infection: a review and pandemic risk assessment. Emerging Microbes and Infections (2013) 2, e48; doi:10.1038/emi.2013.48
5. Avian influenza virus infections in humans. Chest. 2006 Jan;129(1):156-68.
6. https://en.wikipedia.org/wiki/Avian_influenza#cite_note-Topley-21
7. https://www.cdc.gov/flu/avianflu/h7n9-virus.htm