
阅读此文之前,麻烦您点击一下“关注”,既方便您进行讨论和分享,又能给您带来不一样的参与感,感谢您的支持。

文|赫薰辞
编辑|赫薰辞
引言
铜已被证明对人类产生危害, 具体取决于其浓度水平 ,人们对利用当地工业矿物和副产品开发地质聚合物的兴趣日益浓厚。
基于富含丝光沸石凝灰岩的地质聚合物吸附重金属的研究仍然有限,采用厄瓜多尔天然富含沸石的凝灰岩合成了 地质聚合物吸附剂 ,其中石英、丝光沸石方解石和无定形含量分别为20.8%、28.5%、4.2%和46.4%。

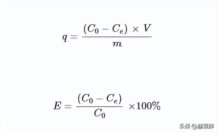
在28d的固化时间内,地质聚合物的 最大抗压强度为26.86MPa ,测试了厄瓜多尔沸石基地质聚合物对不同浓度和接触时间的水溶液中铜离子的去除能力。
动力学模型是使用伪一级开发的,伪二阶模型和Elovich模型,吸附数据,使用CuLangmuir和Freundlich等温线描述了25°C时20至160ppm的2+浓度。

线性决定系数结果表明 Langmuir模型拟合效果最好 ,所获得的52.63mgg-1的吸附容量证明了低成本地质聚合物在本研究中的有效性及其与其他研究相比的竞争力,在较低的Cu2+初始浓度下,吸附动力学遵循伪二级动力学模型。
基于天然沸石基地质聚合物去除水中铜的环境科学研究
铜是一种重金属,对人类健康有长期和短期的不利影响,尤其是对胃肠系统和一般环境的影响。

铜广泛用于照相和电子工业以及一般发电厂,因此在废水中很常见,其在环境中的可用性超过临界阈值无疑对人类和动物是危险的, 控制和去除水中大量的铜至关重要 。
吸附工艺因其设计和操作的灵活性而成为一种可行的替代方案,并且在许多情况下,它们可以产生高质量的处理后的废水。

有许多不同的吸附剂,例如磁性纤维素纳米复合材料、磁性壳聚糖纳米复合材料和钛黄-硫脲-甲醛系统,用于去除不同介质中的不同污染物,吸附在废水处理中 具有很大的金属去除潜力 ,因为它高效且成本低廉。
吸附多功能性允许使用多种金属掺入吸附剂来去除金属,掺铁吸附剂对于去除铜很有意义,水合离子的大小、水合自由能和金属离子活性等几个因素可能是造成这种吸附选择性的原因。

地质聚合物是由硅酸铝与碱金属氢氧化物反应生成的 无定形材料 ,人们越来越关注利用当地工业矿物和副产品开发地质聚合物来固定危险元素,作为对抗重金属污染的可能解决方案。
已证明可以去除偏高岭土、粉煤灰和沸石基地质聚合物以及其他无机固体上的铜,进行了固定床试验,以评估改性二氧化硅从多组分溶液中选择性去除Cu2+的能力,使用锅炉泥浆和灰分通过吸附和沉淀过程从金属精炼水中去除铜。

关于富含丝光沸石的凝灰岩地质聚合物吸附重金属的研究很少,在这种情况下,在 地质聚合物合成中使用天然原材料 具有挑战性,这主要是由于它们的异质性。
地质聚合物是热、机械和化学稳定的材料,可以在原位和极端条件下用于不同的应用,特别是在发展中国家。

这是第一项将天然沸石基地质聚合物作为吸附剂从水介质中去除铜的研究,考虑到 厄瓜多尔沿海地区天然沸石丰富 ,使用这种原材料作为基于地质聚合物的吸附剂来去除铜是可行且具有成本效益的。
富含沸石的凝灰岩和相应的地质聚合物已通过傅里叶变换红外光谱、X射线衍射以及扫描电子显微镜和能量色散光谱技术进行了表征,还确定了地质聚合物与固化时间相关的机械性能。

厄瓜多尔天然沸石基地聚合物的结构稳定性及其在环境科学中的潜在应用
厄瓜多尔沸石经过球磨机粉碎,收集粒径小于60微米的颗粒,将其加入由Na2SiO3和10MNaOH组成的激活液中,比例为2.5:1, 将该溶液与沸石以0.45mlg−1的比例混合 ,并搅拌2分钟。
将混合物倒入5×5×5厘米的木制模具中,用塑料袋覆盖,并在60°C的烘箱中保温24小时,将地质聚合物块放置在室温下额外固化9天,16天和27天,然后进行抗压强度测试。

为了评估沸石基地质聚合物的结构稳定性,使用 ASTMC109/C109M-16a标准方法和ShimadzuUTM-600KN万能试验机 进行了抗压强度测试。
在测试之前,标记为G-10、G-17和G-28的地质聚合物块经过打磨、尺寸测定,然后在总共固化10、17和28天后进行了抗压强度测试,G-10、G-17和G-28的拉伸断裂强度值分别为40.3875、52.1888和66.0000千牛顿。

定量X射线衍射分析采用PANalyticalX'PertPRO设备,在30mA、45kV和0–80角度测量范围下进行,利用X'PertHighScorePlus软件确定了样品中的 晶体结构峰值 。
使用FEI-InspectS扫描电子显微镜对沸石基地质聚合物样品的元素组成进行了分析,将样品粉碎,取少量样品放在带有石墨片的盘子上,然后在地质聚合物样品的高分辨率显微照片上涂上金涂层。

对于傅里叶变换红外光谱测试,取2毫克经过60°C干燥6小时的 沸石基地质聚合物样品 ,与200毫克KBr在玛瑙研钵中混合均匀。
施加9MPa压力,持续7分钟制备样品片,使用Spectrum100PerkinElmer分光光度计进行测试,采用超高纯度氮气气氛,在4000到400cm−1范围内进行测试,分辨率为1cm−1。

热重和差热分析使用约10.0±0.5毫克的地质聚合物样品在预先烧热的烧杯中进行称量,使用热重量热计TASDTQ600, 氮气流量为100毫升/分钟 ,在25°C到1000°C范围内以10.00°C/分钟的速率进行升温,使用AdvantageTAUniversalAnalysis4.5A软件对数据进行解释。
吸附实验中,将地质聚合物样品研磨至平均粒径小于36微米,在批处理模式下进行测试,将合成的地质聚合物样品在100°C下干燥2小时,并在每次吸附实验前进行称重。

准备 100ppm和250ppm的Cu2+标准溶液 ,对吸附等温线的测定,Cu2+浓度在25°C下在20到160ppm之间变化,将50毫升铜溶液倒入事先浸入水浴中稳定温度的玻璃瓶中。
向每个瓶中加入0.1克地质聚合物,轻轻搅拌,静置2小时,立即使用0.45微米过滤纸进行真空过滤,并用火焰原子吸收光谱法进行分析,使用ThermoScientificICE3000系列原子吸收光谱仪定量测定吸附到地质聚合物样品上的铜的量。

对于 动力学分析 ,将含100ppmCu2+的水溶液和吸附剂剂量为2gl−1的瓶子放置在25°C的水浴中,在指定的时间内,对瓶子进行真空过滤,然后进行FAAS分析。
沸石和地质聚合物样品在4000到400cm−1波数范围内进行了傅里叶变换红外光谱分析。

识别出不同的带:位于3460cm−1附近的带归因于H-O的不对称伸展;位于1636cm−1附近的带归因于 H-OH的弯曲和过量碱和水的氢氧基吸附 ;位于1040cm−1附近的振动归因于Si-O-Si或Al-O-Si的不对称伸展;位于1430和876cm−1附近的峰归因于暴露在大气中形成的碳酸盐。
在798cm−1以下的其他峰归因于不同的伸缩模式、结构网络的环振动和 Si-O与Al-O键之间的弯曲 。
在0°C到110°C范围内,由于材料的多孔性,导致大量质量损失,表现为较大的表面水损失。

在550°C到750°C范围内,与地质聚合物相比,沸石失去更多质量,这可以解释沸石含有CaCO3,其分解点约为700–750°C,而地质聚合物中 含有过量的NaOH ,将Ca取代为Na,形成Na2CO3,在800°C以上分解为CO2和Na2O。
考虑到约14–15%的总质量损失,地质聚合物样品具有高度的热稳定性,基于这种特性,这种材料可以在高温下用于不同的应用。

基于假二阶动力学模型的Cu2+吸附过程研究及其在环境科学中的应用
可以看到,当地质聚合物与Cu2+溶液接触的第一分钟内,Cu2+浓度迅速下降,从94.7ppm降至28.32ppm。
在接下来的2小时内,Cu2+浓度稍微下降,直到溶液中的 Cu2+浓度达到5.02ppm ,通过线性化方法,使用假一阶、假二阶和Elovich方程确定了动力学模型。

其中qe是平衡时的吸附量,qt是t时刻的吸附量,k1是假一阶常数,k2是假二阶常数,β是脱附常数,v0是初始吸附速率。
根据实验数据集,进行线性回归分析,将这些数据拟合到数学模型中,得到参数R2、残差标准误差、d.f.和p值,最好地 总结了基于模型值和时间之间的最小二乘线性关系 。

经过仔细检查线性回归参数后,可以得出 假二阶方程最能解释当前数据集 ,在这种情况下,假二阶方程的最小二乘线大约能解释99%的变异性,其p值明显低于0.05,并且10个自由度的残差标准误差是最低的,即3.566。
可以断定吸附过程更好地由假二阶方程描述,而不是其他方程。
假二阶方程的每个已知理论基础都是基于表面反应的基本理论,这个方程在系统达到平衡时更准确,并适用于 非平衡过程中的扩散驱动吸附动力学 ,这个方程与控制吸附动力学整体速率的直接吸附或脱附过程相关。

其他模型,如Weber–Morris模型,是基于孔内扩散的理论,它解释了 离子交换现象与时间的平方根成正比 。
Kid是孔内扩散比率,C是一个常数模型。该模型可以解释吸附机制是发生在表面还是在地质聚合物的孔中。

扩散模型显示出多线性,表明 离子进入孔隙的速度很慢 ,如斜率所示,实验结果得出的Kid值为0.9863,C值为34.116。
表明控制速率的步骤不是孔隙扩散,而是膜扩散,吸附的前几个阶段与附着到最容易可用的表面位点有关,而后面的阶段涉及吸附剂从表面向内部孔隙的慢扩散。

Langmuir等温线模型的相关值为0.994,表明可能 在吸附剂表面形成单分子层 ,最大吸附量为52.63mgg−1,另一方面,Freundlich等温线模型的相关系数值为0.635。
总结
旨在合成 基于厄瓜多尔天然沸石的地聚合物 ,以潜在的工业应用来从水介质中去除铜。
地聚合物是使用富含天然沸石的凝灰岩制备的,厄瓜多尔天然沸石凝灰岩主要由矿物质组成,例如石英,莫尔定石,方解石和无定形物质含量占46%。
地聚合物样品的抗压强度随着养护时间的增加而增加,结果表明,粒径小于36微米的制备地聚合物样品与类似研究相比,对去除铜离子是一种高效的吸附剂。
动力学研究表明,Cu2+在地聚合物上的吸附遵循 伪二阶线*行为性** ,根据线性相关系数,本研究与高浓度情况下铜在沸石基地聚合物上的吸附过程吻合,在较低初始浓度的吸附剂情况下,它符合伪二阶动力学模型,吸附等温线计算结果与Langmuir吸附模型完美吻合。
参考文献
- Amin, M.T., & Alazba, A.A. (2017). A review of removal of pollutants from water/wastewater using different types of nanomaterials. Advances in Materials Science and Engineering
- Baykara, H., Algier, E., Yilmaz, E., & Zor, M. (2015). Removal of copper from aqueous solution by synthetic zeolites. Journal of Porous Materials
- Bhakat, P. B., & Patra, S. K. (2017). Synthesis of a hybrid hydrogel from natural polymer and clay and its application in Cu(II) ion removal from water. Journal of Applied Polymer Science
- Chen, L., Li, J., & Zhang, J. (2016). Adsorption properties and mechanism of copper ions on modified wheat straw. Water Science and Technology
- Elwakeel, K. Z., & Fathy, N. A. (2018). Synthesis of magnetic chitosan nanocomposite and its application for Cu(II) ions removal from aqueous solution. International Journal of Biological Macromolecules
- Hakami, O., Khambal, M., Al-Hajri, R., & Al-Hindi, A. (2016). Uptake and kinetic behavior of Cu(II) from wastewater using titania-impregnated cellulose beads. Desalination and Water Treatment