

撰文|nagashi
长久以来,遗传性疾病一直是困扰人类的难题,无论是生活中较为常见的红绿色盲,还是困扰欧洲皇室数个世纪的血友病,这些因遗传缺陷而导致的疾病不仅对患者的生活造成影响,还严重威胁着患者的生命安全,更重要的是,人类已发现数千种遗传性疾病,但对其中的绝大多数仍束手无策。
值得庆幸的是,基因组学的兴起使得人类得以认知遗传病的本质——源于基因本身的突变。基于此,如果我们能够对这些突变的基因位点进行精准的编辑,使其替换成正确的碱基对,那就可以从根本上彻底治愈这些人类遗传病。
基于CRISPR系统的 碱基编辑器 就是一项十分有希望的、可用于遗传病治疗的关键技术。但遗憾的是,一些研究表明,碱基编辑器具有脱靶效应,可能会对正常基因位点进行非靶向的编辑。如果不能解决这一问题,碱基编辑器在人类遗传病治疗中的应用将遥遥无期。
2021年1月25日,瑞士苏黎世联邦理工学院、苏黎世大学以及巴塞尔大学等组成的联合团队在 Nature Biomedical Engineering 杂志上发表了题为:In vivo cytidine base editing of hepatocytes without detectable off-target mutations in RNA and DNA 的研究论文。
这项研究通过 腺相关病毒 (AAV)和 脂质纳米颗粒 (LNP)两种递送载体,分别向小鼠肝脏递送 胞嘧啶碱基编辑器 (CBE),并对其进行全转录组和全基因组脱靶修饰的无偏倚分析。
研究人员发现,通过这两种载体递送的胞嘧啶碱基编辑器可以修复致病突变,而不会在肝细胞的RNA和DNA中产生脱靶突变 。这一结果 支持了胞嘧啶碱基编辑治疗遗传性肝脏疾病的可行性 。

据统计,单碱基突变占全部已发现的人类遗传疾病的大约2/3,同时也是许多动植物重要性状变异的遗传基础。因此,开发一种精准且能够高效实现单碱基替换的技术就显得尤为重要,华人科学家刘如谦 (David Liu)领导的研究团队开发的碱基编辑器就是为此而生。
胞嘧啶碱基编辑器 (CBE)正是刘如谦实验室开发的一种碱基编辑器,它可以实现C•G碱基对至T•A碱基对的直接替换。
然而,最近的一些研究却表明胞嘧啶碱基编辑器 (CBE)可以在细胞系中导致非靶向的全转录组脱靶突变,并在诱导的多能干细胞和两细胞期胚胎中导致数百个全基因组脱靶突变。此外,胞嘧啶碱基编辑器 (CBE)中所使用的脱氨酶——rAPOBEC1,其在体内的过表达将可能导致小鼠肝脏发育不良和肝细胞癌。
由此看来,评估胞嘧啶碱基编辑器 (CBE)等碱基编辑器的脱靶效应以及其他不良效应是十分必要的。
在这项研究中,为了评估胞嘧啶碱基编辑器 (CBE)在体内是否存在脱靶效应,研究团队重点研究了Pahenu2苯*酮丙**尿小鼠模型,并将SaKKH-CBE3碱基编辑系统通过AVV介导递送到小鼠肝脏中。紧接着,研究团队使用RNA测序(RNA-Seq)对从小鼠肝脏中提取的RNA进行分析。

AVV介导的SaKKH-CBE3系统的Pahenu2小鼠肝脏递送和脱靶效应评估分析
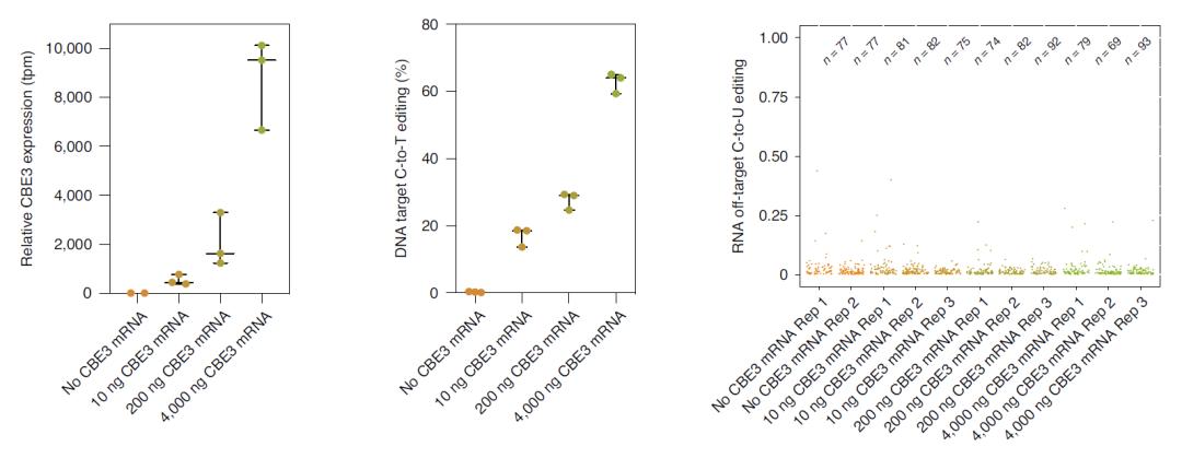
研究人员观察到23%的靶标编辑,但与未处理的对照组相比,转录组范围内的C→U的转变并没有增加。更有趣的是,当转染低剂量的SaKKH-CBE3 mRNA时,虽然与质粒转染相比,胞嘧啶碱基编辑器 (CBE)表达减少了18倍,但在保留63%的目标编辑的同时,还大大减少了非靶标突变。
这一结果表明胞嘧啶碱基编辑器 (CBE)的过表达可能与高的非靶标编辑率密切相关。

CBE的过表达可能与高的非靶标编辑率密切相关
与此同时,研究团队还评估了AAV介导的SaKKH-CBE3系统在进入Pahenu2小鼠之后是否会导致基因组DNA的非靶标编辑。全基因组测序(WGS)分析表明,SaKKH-CBE3系统并未在小鼠肝脏中引入明显的DNA脱靶突变。

SaKKH-CBE3系统可以实现靶标编辑编辑,且未造成明显的RNA和DNA非靶标突变
除此之外,研究团队还通过 脂质纳米颗粒 (LNP)递送SaKKH-CBE3 mRNA和相关的sgRNA。他们的研究结果表明,在 脂质纳米颗粒 (LNP)递送的瞬时表达SaKKH-CBE3系统之后,可导致约21%的靶向编辑并逆转了Pahenu2小鼠的疾病表型,同时也没有检测到全转录组和全基因组的脱靶编辑。
脂质纳米颗粒 (LNP)递送的编辑效率和安全性结果,不输于 腺相关病毒 (AAV)载体。

通过脂质纳米颗粒(LNP)向小鼠肝脏中递送SaKKH-CBE3系统
综上所述, SaKKH-CBE3系统在AAV或LNP介导的肝脏递送后的表达不仅能有效替换靶标突变、逆转Pahenu2小鼠的疾病表型,还不会对肝脏细胞中的RNA和DNA造成实质性的非靶向编辑。这一发现支持了胞嘧啶碱基编辑器 (CBE) 在治疗遗传性肝脏疾病的可行性!
论文链接:
https://www.nature.com/articles/s41551-020-00671-z