端承型桩的广义理解和负摩阻力的相关问题
张利军
由于地质条件的复杂性、隐蔽性和不确定性等,桩基的承载力一般是要通过静载荷试验确定的。计算公式或其他间接方式仅是估算,可用于初步设计。
在《桩基规范》JGJ94-2008中,对于设计等级为乙级及以下的简单地基,允许参照同条件的试桩资料,并结合原位测试和经验参数确定桩的承载力。但在即将实施的《建筑与市政地基基础通用规范》第5.2.5~5.2.7条中要求, 桩的承载力均要通过静载荷试验确定,包括竖向承载力、水平承载力和抗拔承载力 。
在实际工程中,桩的负摩阻力是很难通过静载荷试验确定的。所以,对于需要考虑负摩阻力的场地,负摩阻力的计算就成了确定桩基承载力的焦点问题了。
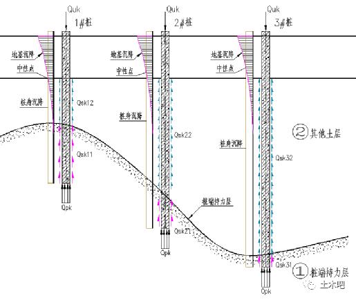
在某些地质条件下(桩基规范5.4.2),如填方区、湿陷区、填海造地、大面积堆载等,计入桩侧负摩阻力的影响是规范的强条。而且从工程实例来看,负摩阻力的影响是显著的,务必引起重视。下图摘自网络。

在确定负摩阻力时,有几个问题值得讨论。
一、什么情况下需要计入负摩阻力?
在《桩基规范》5.2.4条中提出了要求,为强条。在即将实施的《建筑与市政地基基础通用规范》中原文保留了该条。但是,对于要不要考虑负摩阻力,规范中几乎每一条都是有前提的。如何把握这些前提条件,对于结构工程师来说是有困难的,如:
当桩周土层产生的沉降超过基桩的沉降时 ,在计算基桩承载力时应计入桩侧负摩阻力……《桩基规范》5.4.2,强条。
桩周土沉降可能引起桩侧负摩阻力时 ,应根据工程具体情况考虑负摩阻力对桩基承载力和沉降的影响……《桩基规范》5.4.3。
所以,要不要考虑负摩阻力,应由勘察单位给出明确建议为妥,设计院不要越俎代庖。尤其对于未来地下水位的变化及其影响,设计院更是无从判断。相对来说,勘察单位掌握的地质数据更多,尤其是当地勘察单位,对地质条件更了解,经验更多。设计单位要注意对勘察单位的建议进行审核,有的勘察报告中对要不要考虑负摩阻力的建议也是有前提的,如前文的那些条件,这时应该提请勘察单位给出明确建议。
二、如何计算负摩阻力
《桩基规范》给出了负摩阻力的计算方法:
1.对于摩擦型桩,将中性点以上土层的侧阻力取为零即可。
2.对于端承型桩,除将中性点以上土层的侧阻力取为零外,尚需考虑下拉荷载。

可见,计算负摩阻力的焦点在于判别桩是摩擦型还是端承型。规范没有给出判别标准。于是人们很容易就默认为:
当桩的总侧阻力超过桩承载力的50%时,也就是总侧阻力大于总端阻力时,就是摩擦型桩;
当桩的总端阻力超过桩承载力的50%时,也就是总端阻力大于总侧阻力时,就是端承型桩。
这种判别方式是值得商榷的。负摩阻力的大小主要取决于土层沉降与桩身沉降的相对差异。土层的沉降是场地的特性,是客观存在的,与桩型无关。桩身沉降很大程度上取决于桩端持力层的土质(承载力和压缩模量)。
一般而言,同一结构单元的桩型尽可能一致,竖向承载力取为一致。但由于土层的起伏,桩身长度及进入持力层的深度是不等的。
假定下图中三个桩的竖向承载力相同,桩端位于同一持力层中,则三个桩的总端阻力相同,总侧阻力也相同。将桩侧土层分为两类:土质较硬、承载力较高的“桩端持力层”①和 “其他土层”②。
设三个桩的总侧阻力均大于总端阻力,即总侧阻力均大于桩承载力的50%,则三个桩均可判定为摩擦型桩。对于负摩阻力的计算,均将中性点以上土层的侧阻力取为零即可。

但实际上,这三个桩的受力状态是不一样的。

1#桩桩端持力层埋深较浅,为了达到预设的承载力,就需桩身进入“桩端持力层”①较深,侧阻力主要由“桩端持力层”①提供。因桩端持力层土质较硬,承载力较高,压缩性较低,所以桩的抗压刚度大、沉降小,负摩阻力大,实际上更接近于端承型桩。
2#桩桩端持力层埋深中等,侧阻力由“桩端持力层” ①和“其他土层” ②共同提供,桩的抗压刚度和沉降均为中等,负摩阻力中等。随桩周土层厚度不同,或属摩擦型亦或端承型。
3#桩桩端持力层埋深较深,桩长较长,穿越的“其他土层”较厚,桩身进入桩端持力层很浅,侧阻力主要由“其他土层”提供。相比前两个桩,3#桩抗压刚度小,沉降大,负摩阻力小,更接近于摩擦桩。实际上,同一结构单元桩的差异变形不可能太大,故必然会加大3#桩进入持力层的深度,从而提高了抗压刚度,减小沉降,相应地负摩阻力也增大了。
可见,由总侧阻力或总端阻力是否超过总承载力的50%来判断桩是端承型还是摩擦型,是不准确的,也是没有依据的。
三、摩擦型桩和端承型桩的判别方法建议
1. 将“端承”进行广义的理解。即:“ 端承 ”不仅是桩的端部横截面提供的支承力,而 是“由桩的端部土层提供的总支撑力”,包括桩端持力层提供的端阻力和侧阻力。 即:以3#桩为例,如果下式成立,则判定为端承型桩:

2.如果桩端座落于中密以上的砂土类、碎石类土层或卵石层,则不论“ 端承 ”占比是多少,都应考虑下拉荷载。
四、负摩阻力的其他问题
1.《桩基规范》3.4.7-5条给出了预制桩消除负摩阻力的措施。可结合防腐蚀需要,在中性点以上的预制桩表面涂刷环氧沥青或聚氨酯(氰凝)涂层。《工业建筑防腐蚀设计标准》中提到,这种涂层在国内均有使用经验。在细粒土层中,打桩时一般不会完全磨损,上部桩基本无磨损。涂层厚度可结合防腐蚀需要,取为300~500um。
但要注意,对于桩端持力层起伏较大、沉桩深度难以准确预计的场地,用桩身涂层消除或减小负摩阻力的方法宜慎重采用。
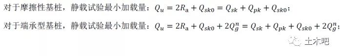
2.根据竖向静载荷试验结果确定单桩承载力特征值,参见下图:


换言之,在设计试验桩需要给出加载量时,最小加载量应为:
