文|哄动一史
编辑|哄动一史
经济繁荣和技术发展是世界自身面临的 主要挑战 ,而能源发挥着最重要的作用。在当今世界,化石燃料(天然气、煤、石油等)被广泛用于制冷制热、烹饪和操作工业以及家用电器。但是, 这种能源对环境具有攻击性 ,因为它们在燃烧期间会 产生大量的二氧化碳(CO 2) ,从而导致 大气中臭氧层的消耗 ,进一步影响温室效应。它还是 全球变暖 的 罪魁祸首 。

自19世纪末世纪以来,全球平均地表温度和全球海平面分别上升了0.3℃~0.6℃和10~25cm。这些变化已经增加了 自然灾害的数量 ,并可能对全世界的人类和其他生命形式产生 破坏性影响 。
近年来,科学家们将更多的目光投向了 太阳能 ,以解决世界范围内的 能源短缺 问题。就这一点而言,有机太阳能电池 (OSC) 是有前途的解决方案。在 OSC 中,相分离 (BHJ) 纳米结构由富勒烯衍生物-苯基-C61 丁酸甲酯 (PC 61 BM) 和区域规则聚 (3-己基噻吩) (P 3H T)。
由于激子在坍缩(电子与空穴复合)之前只有一定的寿命,因此激子生成位点与供体/受体界面之间的特征距离,必须在 5 - 10 nm 的数量级。同时,光子需要穿过一定厚度的活性层,通常为 100 nm 量级,以便大部分 光子被吸收 。

P3HT 和 PCBM 的混合,为有效的激子解离提供了一个大的界面区域。最近, Guo 等人制造并表征了基于P 3 HT:PC 61 BM 的 OSC 器件。将用于太空应用。这些设备在 AM0(空气质量为零)照明下进行了测试。
由于这些有机材料的分子性质,OSC 的制造过程相对便宜。它们很容易制成柔性大面积片材。为了使它们商业化,必须克服几个障碍。 这些障碍之一是,与市售的硅太阳能电池相比,OSC 的效率和寿命较低。
对于 OSC 器件,短路电流 (J SC )、开路电压 (V OC ) 和填充因子 (FF),广泛依赖于每层之间界面处的能级排列。例如,在 OSC 中应用界面层可提高 V OC。另一方面,在电极和有机层之间使用非欧姆接触可能导致较低的 V OC。

通过添加界面层还可以 提高电荷收集效率 。它降低了界面接触电阻。因此,较小的串联电阻 (R S ) 和较大的分流电阻 (RSH)实现。
在我们之前的一项研究中,我们基于富勒烯衍生物 [6,6]-苯基-C61 丁酸甲酯 (PCBM) 和区域规则聚 (3-己基噻吩) (P3HT) 的复合材料制造了有机太阳能电池,并添加了界面PEDOT:PSS 层和 ITO 层之间的 AgOx 层。
我们研究了在 PEDOT:PSS 和 ITO 之间添加了 AgOx 界面层的 OSC 器件的特性,并开发了一个最能描述该器件的模型。AgOx 和 PEDOT:PSS 层形成复合空穴传输层。它提高了填充因子 (FF)、功率转换效率 (PCE) 并减少了 PEDOT: PSS 与 ITO 的物理接触。
AgOx 界面层的加入显示出填充因子(增加 33%)和功率转换效率(增加 28%)的增加。在 OSC 的倒置结构中,银由于其高功函数特性而被用作空穴收集电极。对于电子传输层(ETL),n型金属氧化物被广泛用作ETL。

在金属氧化物中,ZnO 具有高电子迁移率、良好的透明性、可用性、无毒性和空穴阻挡特性,使其成为良好的 ETL。在基于有机/聚合物的太阳能电池、染料敏化太阳能电池和基于钙钛矿的太阳能电池中,纯 ZnO 也已被使用。
最近,几个研究小组已经研究了金属掺杂的 n 型缓冲层,以提高倒置太阳能电池的器件性能。为了提高 ZnO 层的光学和电学性能,金属掺杂是非常有效的。良好的n型掺杂原子可以取代ZnO晶体中的Zn位点,产生 自由电子 。
我们制作了具有ITO/ZnO/P 3 HT:PC 61 BM/MoO x /Ag/Al结构的倒置太阳能电池。对于 OSC,ITO/PEDOT:PSS 层充当阳极,Al 充当阴极,而对于倒置有机太阳能电池 (IOSC),YZO/ITO 层和 Al 层分别充当阴极和阳极。同时,选择 YZO/AgOx 和 MoOx 层作为电子和空穴传输层。P3HT:PCBM 是有源层,入射光从两种结构中的玻璃进入器件。

使用区域规整聚(3-己基噻吩)(P3HT) 和富勒烯衍生物 [6,6]-苯基-C61 丁酸甲酯 (PCBM) 的混合物。BHJ 提供了一个大的界面区域,用于有效的激发解离。YZO 用作阳极触点。还描述了 ZnO 加工 温度对倒置太阳能电池光伏特性的影响 。
虽然更高的温度会导致薄膜结晶度和电子迁移率的提高,但在 150˚C 下退火的 ZnO 层显示出最佳的器件性能。
ZnO 薄膜中的电子传输特性研究了钇作为掺杂杂质的影响。通过在 ZnO 电子传输层中掺杂钇并 利用优化的退火条件制造高效有机太阳能电池 。

氧化锌和掺钇氧化锌前体溶液
N,N-二甲基甲酰胺 (99.8%, Sigma-Aldrich) (MEA) 0.5 M 醋酸锌二水合物 ((Zn(CH 3 CO 2 ) 2 ∙2H 2 O) 用单乙醇胺作为螯合剂(稳定剂)溶解以制备 ZnO 和掺钇ZnO前驱体溶液,加入不同量的YCl 3 ∙6H 2 O后,在60℃电热板上搅拌约1小时,直至混合溶液变为清澈透明溶液。
设备制造
所有器件均采用 40Ω-sq −1图案化的 ITO 涂层玻璃基板。在器件制造之前,电极分别在甲醇、*酮丙**和异丙醇的超声波浴中清洗。随后进行 15 分钟的紫外线臭氧 (UVO) 处理。在清洁的图案化 ITO 基板上,ZnO/YZO 前体溶液以 3000 rpm 的速度旋涂 60 秒。
为了将前体材料转化为 ZnO,在不同温度下对溶液进行了一个小时的热处理。为了去除表面上可能存在的任何有机残留物,对 ZnO/YZO 层进行了 2 分钟的紫外线臭氧 (UVO) 处理。P3HT:PC61BM 共混物以 1:1 的重量比溶解在 1,2-二氯苯 (DCB) 中。然后将 P3HT:PC61BM 的混合物以 600 rpm 的速度旋涂 1 分钟。然后将光活性层在 150˚C 下干燥 15 分钟。

设备表征
使用氙灯太阳模拟器进行电流密度-电压 (JV) 测量。模拟的 AM 1.5 全球太阳辐射用于测量。在测量之前,光源用标准 Si 光电二极管参考电池校准。
退火温度对ZnO薄膜的影响及相应的太阳能电池性能
在倒置结构中,电子从 PC61BM 转移到 ITO/ZnO,空穴从 P3HT 移动到 MoOx/Ag/Al 阳极。在沉积活性层之前,通过短暂的 UVO 处理去除 ZnO 薄膜形成过程中,使用的有机稳定剂单乙醇胺 (MEA)。去除稳定剂会增加 ETL 和活性层之间的电子接触,从而提高太阳能电池的效率。
氧原子空位通过延长的 UVO 处理来填充,这 减少了导带中的自由电子数量,对器件性能有不利影响。
使用溶液处理和退火 ZnO 层在不同温度下制造的倒置太阳能电池器件的数据。使用在 50˚C 退火的 ZnO ETL 的 OSC 表现出 1.3% 的 PCE,V OC为 0.6 V,I SC为 1.6 mA,FF 为 27.8%。
使用在 150˚C 下退火的 ZnO 层制造的 OSC 显示 PCE 显着提高约 70% 至 2.2%(V OC = 0.60 V,I SC = 1.7 mA,FF = 41.7%)。然而,对于 ZnO 层的高温退火,PCE 会持续下降。

参数 R SH和 R S是解释太阳能电池器件特性的两个重要参数。对于理想情况,串联电阻接近于零,而分流电阻应接近一个大值。基于这些数据,假设热处理可以改变 ZnO 层的表面特性。
当 ZnO 层退火温度范围为 50°C 至 150°C 时,器件的R S值降低,PCE 增加。然而,退火温度的进一步升高降低了R SH的值。这是由于较高的 ZnO ETL 表面粗糙度导致较高的漏电流。表明 ZnO 层的 过度退火会降低器件性能 。
供体/受体 (D/A) 和电极/光伏 (E/P) 界面在开发高效有机太阳能电池中起着重要作用。D/A 接口负责电荷重组以及电荷解离。E/P接口负责电荷收集,减少产生光电流时的电荷积累。 特定电荷载流子的电导率由串联电阻表示,并联电阻是由于电荷载流子在 D/A 界面处的复合。

在有机 太阳能电池结构 中,光滑的表面促进了 ETL 和活性层之间的均匀界面接触。这导致电子收集效率的增加。检查 150˚C 和 450˚C 退火后的样品,发现 450˚C 退火的 ZnO 层比较粗糙。它的均方根 (rms) 粗糙度值为 5.7 nm。在 150˚C 下退火的 ZnO 薄膜的粗糙度均方根值为 2.2 nm。
ZnO薄膜掺钇对OSCs效率的影响
研究表明,掺杂钇离子会降低 ZnO 薄膜的电阻率。过度掺杂会导致薄膜的电阻率增加。在低掺杂浓度下,供体 Y 3+离子取代到 Zn 2+晶格位置。 这导致带电载流子的数量增加,并提供电阻率的初始降低。
然而,掺杂浓度增加到更高的水平,增加的杂质——来自掺杂离子的散射占主导地位,电阻率开始上升。因此,将不同浓度的 Y 3+添加到氧化锌前体溶液中并旋涂在 ITO 层的顶部以观察掺杂效果。
各种 YZO 薄膜的紫外-可见吸收光谱。还可以清楚地看出,无论添加多少钇,透射光谱都没有显着差异。在可见光区,所有薄膜都具有良好的透光率。YZO 薄膜非常薄,可以被认为是完全透明的,这可能是这背后的原因。
等效电路图
大多数太阳能电池是在薄晶片或半导体层中制造的具有 pn 结的半导体。当太阳能电池暴露在光下时,会产生电子-空穴对。

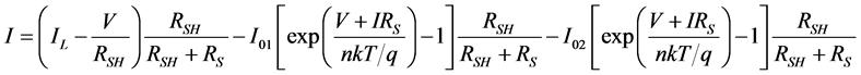
光电流 在黑暗中,太阳能电池的 IV 特性具有类似于二极管的指数特性。没有电阻的理想化二极管的端电流 I D可以用肖克利方程的数学术语来描述:

其中,V是端电压,I 0是反向电流,n是所谓的二极管品质因数,k是玻尔兹曼常数,T是温度,q是电子电荷。表示具有寄生串联电阻的二极管的等效电路模型。等效电路的端电流由下式给出:

了解有机太阳能电池特性的最简单模型是单二极管模型 。

具有串联电阻和分流电阻的单个二极管模型的等效电路图。照明时电流的产生由电流源表示。由于供体 HOMO 和受体 LUMO 能级之间的差异,内置场会产生电导率的不对称性,这由电压相关电阻器或理想二极管 D 表示。
使用上述等式中提到的肖克利二极管特性方程。电流的电压依赖性可给出,其中 I L是光电流。

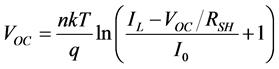
当二极管 D 处于黑暗状态时,R SH = ∞,R S = 0,则开路电压是在输出电流为零 (I = 0) 时获得的。

在研究中,由一个额外的二极管组成的双二极管模型在描述有机太阳能电池的特性方面显示出更准确的结果。两个二极管模型的等效电路所示。ITO 电极上的孔来自额外的阻塞触点,可能会影响第三象限中的 IV 固化。第二个二极管代表这种阻断接触的作用。使用肖克利二极管方程,我们得到:

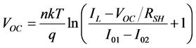
设置 I = 0 我们得到 V OC的方程是

我们根据随串联电阻和分流电阻变化的器件行为,提出了一个双二极管模型,该模型具有与二极管串联的额外电阻 。我们使用该模型来描述基于 PCBM 和 P3HT 的有机太阳能电池的电气特性,并在 PEDOT:PSS 和 ITO 之间添加了 AgOx 界面层。用于描述电气特性。

在这个建议的模型中,串联二极管 D 1 的分流电阻表示由于大块材料和针孔的显着导电性而导致的短路。电极附近的复合损耗也可以由该电阻器计算。如果R S远小于两个分流电阻,则可以将R S 1的影响与R SH一起考虑。
对于非常高的 R SH值,IV 曲线的FF 和 V OC的形状实际上保持不变。对于负偏压,电流具有显着的场依赖性。然而,较小的 R SH值会降低 V OC并且 FF 达到其理论最小值。
传统有机太阳能电池和倒置有机太阳能电池的主要区别 ,在于器件结构。两者都表现出相同类型的电气特性。D/A 和 E/P 接口都对其效率有关键影响。根据我们的实验结果,我们使用上述模型来解释倒置有机太阳能电池的电气特性。
仿真和实验数据的 IV 特性曲线 所示。IV 特性曲线为 1.0% at。Y 掺杂 ZnO 与建议的模型和其他先前讨论的模型一起显示。在实验和模拟 IV 图之间实现了适当的相关性。从中可以看出,我们之前提出的模型可以成功地描述 Y 掺杂 ZnO 倒置太阳能电池的电特性。显示了使用溶液以不同浓度的钇制造的倒置有机太阳能电池的数据。

经过处理和退火的 ZnO 层
用 1.0 at. 制造的倒置有机太阳能电池的效率。% Y 掺杂 ZnO 在所有器件中表现出最好的光伏性能,PCE 为 2.9%,I 为 2 mA-cm -2,V OC为 0.6 V,FF 为 49.3%。模拟和实验 IV 图之间只有 1.2% 的差异。

结论
在这项工作中,我们展示了 ZnO ETL 在 P3HT 中的性能:具有优化退火条件的 PCBM 倒置太阳能电池结构。结果发现,对于溶胶-凝胶处理的 ZnO 退火条件,ZnO 层在决定 太阳能电池器件性能方面起着主导作用 。
此外,我们的工作报告称,将钇掺杂到 ZnO 中可以进一步提高有机太阳能电池的 PCE。氧化锌层中的钇导致 PCE 提高 30%。提出了一个 等效电路图来解释该装置的特性 。还显示了实验和模拟 IV 曲线之间的比较。据报道,该设备与我们之前研究中提出的等效电路模型相关。
参考文献:
1.《可再生和可持续能源评论》
2.《太阳能制冷系统热力学和传热综述》
3.《太阳能封闭式物理吸附冷却系统综述》