定积分的学习除了要求大家能熟练地使用解题方法,还需要大家注重对于定义性质的理解与把握。后续的二重积分和定积分的的应用问题都是需在定积分定义理解的基础上再进行学习。定积分的计算主要牛顿莱布尼兹公式通过不定积分计算。定积分的本质是通过微元法得到的极限,所以可以被应用于求数列和式极限的问题。在解决该类问题时,可通过在0至1闭区间上将曲边梯形均分为n份,并取每个被分割的小条中的右端点的纵坐标值作为小条的高,从而依据定积分的定义可行形成式子。利用定积分的定义求数列的极限是考研重点考察的题型。
定积分的计算题型主要有以下几种:
(1)基本积分法;
(2)分割区域处理分段函数,绝对值函数,取整函数和最大最小函数;
(3)利用函数的奇偶性化简定积分;
几个十分有用的定积分公式:

题型一:分割区域处理分段函数,绝对值函数,取整函数和最大最小函数
分析:当定积分里面的被积函数是分段函数,绝对值函数,取整函数和最大最小值函数时,可以考虑对积分区间进行分割,然后在不同分割区间段进行积分。
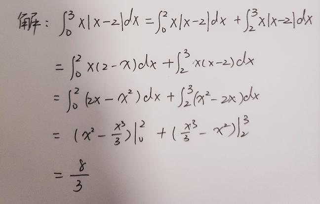
例1:

分析:本例中的被积函数存在绝对值函数,当(x-2)>0时,|x-2|=x-2,当(x-2)
解:

题型二:利用函数的奇偶性化简积分
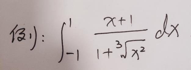
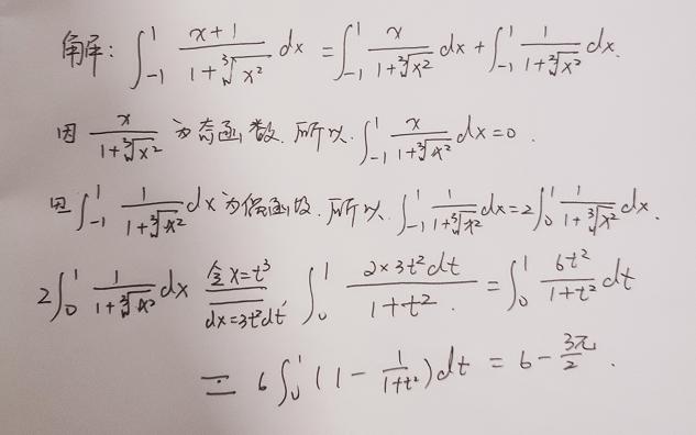
例2:

分析:被积函数可以化简成x/(1+(x^2)^(1/3)和1/(1+(x^2)^(1/3),其中x/(1+(x^2)^(1/3)在区间[-1,1]是奇函数,1/(1+(x^2)^(1/3)是偶函数,所以利用上面常用积分公式可以简化计算。
解:
