高等数学(专升本)精选好题。
今天看这道极限怎么求?这是今天直播过程中给大家讲的一道题,错误率还挺高的。这道题是个求极限,拿到极限先判定一下类型。x 是往无穷跑,这个时候分子是个无穷大,分母也是个无穷大,它是个典型的无穷比无穷。


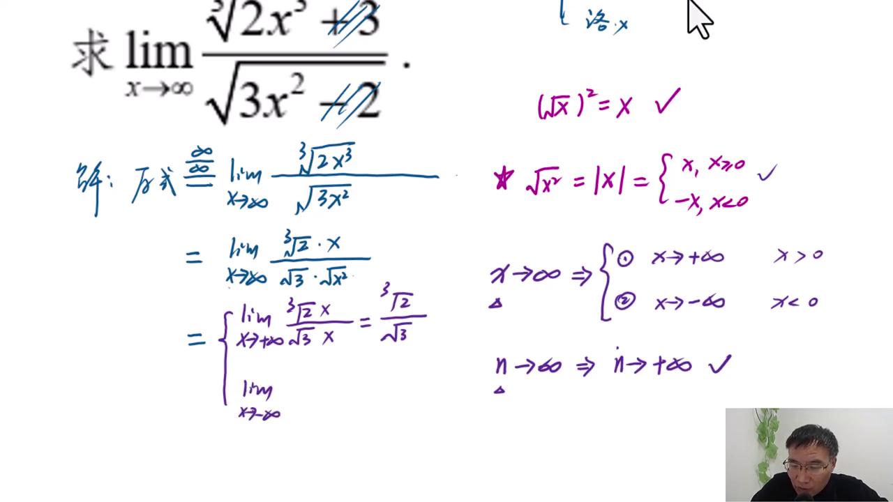
无穷比无穷同学们看到了,这里边没有等价,它就是无穷比无穷。无穷比无穷用什么方法?首选的方法是抓大头,还可以上下同除最大象,上下同除最大象。其实抓大球头和上下同除最大象是一样的道理。还可以落笔答,显然落笔答是比较复杂的,所以先考虑抓大头。

抓大头这个题未必能做的对,来做一下。x 去向与无穷大,分子的大头是谁把三甩掉?是不是就是二倍的 x 的立方开三次方?把负二甩掉,分母的就是三倍的 x 的平方开平方。这个时候就把分子和分母的大头给抓起来了,上下同除最大象也是一样的。


同学们现在来看这个事情,它等于什么?化解一下。x 往无穷跑的时候,二的三次开三次方,就是二的开三次方。x 开三次方就是个 x,分母上这是根号三,后边是根号平方开根号。问题就在这,遇到平方开根号的时候是多少?它和 x 的开平方乘上平方是不一样的,这等于 x 没有任何问题。


但是这个等于 x 就不对了,因为 x 可正可负,开平方肯定是个正的,所以这个时候开出来是个绝对值。这个题就是考这个知识点的,知道去掉绝对值是 x 大于零等于零,直接去 x 小于零的加负号。所以这个题下边再做就比较简单了。
来看一下,x 趋向于无穷大,在函数极限里边无穷大有两个含义。第一个含义 x 趋向于正无穷。第二个含义 x 是趋向于负无穷。这是函数极限里边趋向于无穷大,包括两个。在数列里边就不一样了,数列里边 a 是个正整数,自然数,所以 n 趋向于无穷大就代表的是正无穷,只代表这种情况。
这里是 x,所以要分两种情况,x 趋向于正无穷,x 就是个大于零的,x 趋向负无穷,x 就是个小于零的,所以开平方的时候开出来是不一样的。所以下边去分类讨论是不是 x 趋向于正无穷。上面是二开三四方 x,下边是根号三,开出来是个多少?xx 一约是个根号三分之二开三四方。这是根号三,x 去掉绝对值,这个是 x 的绝对值,去掉绝对值是多少?是负 x,上边是二开三次方,x 一约有负号,所以是负的根号三为止,二开三次方,所以左右极限不相等,故原极限是不存在的。
同学们这道题是错误率比较高的一种题目,所以在求极限过程中遇到数列极限趋向于无穷大就是正无穷,遇到 x 趋向于无穷大非正无穷和负无穷,考的多的一种直接告诉你正无穷,再一个直接告诉你负无穷,这个时候怎么办?避免出现这种情况,令 x 等于负 t,这个时候 t 就是趋向于正无穷的,把负无穷转化成正无穷,在抓大头的时候就不会犯这样的低级错误。
这一点同学们注意,遇到负无穷就把它转化成正无穷,假如没有告诉你是正负,要注意要非正负去求极限,这种题目就是个坑,注意到了就这个分就拿到了,注意不到就容易错。
同学们把这个题看一下,更多的好题同学们可以来直播间,每天晚上八点四十给大家来直播。