点击关注不迷路 ↑ ↑
普及科学知识,传播科学精神

伴随着全球人口老龄化,认知障碍和痴呆症患病人群显著增多。早期识别痴呆症高风险人群并及时干预显得尤为重要。抑郁作为痴呆症发病的危险因素,其发展过程是可变的。但这种随时间的可变性如何影响长期认知功能变化目前尚不清楚。

图片来源:123RF
2021年10月,北京大学临床研究所团队相关研究结果在老年医学领域顶级期刊《老龄与老龄化》( Age and Ageing )杂志在线发表。研究表明:在老年人群中, 将抑郁症状保持在尽可能低的水平,可能有利于缓解认知功能下降速度 。 后文中我们将附上CES-D抑郁症状评估量表以供参考。
本研究由北京大学临床研究所助理研究员朱一丹担任第一作者,解武祥研究员为通讯作者。药明康德内容团队特邀该研究通讯作者,北京大学临床研究所解武祥研究员点评该研究成果。
专家解读
Q: 本研究利用美国和英国社区人群的数据进行研究,选择这些数据的背景是什么?
本研究实际是我们之前一项研究的延续(Persistent depressive symptoms and cognitive decline in olderadults. British Journal of Psychiatry 2018;213:638-644),我在英国帝国理工学院工作时,基于英国ELSA队列数据分析发现:持续抑郁症状的老年人,其认知功能会加速下降。
本研究则进一步发现,一直维持无抑郁症状的老年人及抑郁症状逐渐改善的老年人,认知功能下降速度最慢。这个结果不仅在ELSA队列中发现,还在另外一项大型前瞻性队列研究中得到重复验证,使得这一发现更加可靠。
Q: 研究发现,保持无抑郁症状和积极改善抑郁症状与更慢认知功能下降速度相关,这一研究成果对临床实践有何指导意义?
我们的研究属于观察性研究,在解读结果时应谨慎。本研究结果对于未来预防和治疗轻度认知障碍或痴呆,提供了干预靶点。
但治疗和改善抑郁,是否真能够缓解认知功能下降甚至改善患者认知功能,还需要随机对照试验来证实。
研究介绍

截图来源:Age and Ageing
该研究利用美国HRS队列和英国ELSA队列共计17556名社区人群数据,探讨了不同抑 郁症状变化轨迹和随后长达18年认知功能下降的关系。
两个队列均采用流行病学研究中心抑郁量表(CES-D)对老年人抑郁症的严重程度进行评定。本量表共有8道题目,每道题目代表一种状态,评分为1或0,共8分,得分越高说明抑郁症状越严重,评分≥4分表示存在抑郁症状。

▲流行病学研究中心抑郁量表(CES-D)评估(资料来源:参考资料[1])
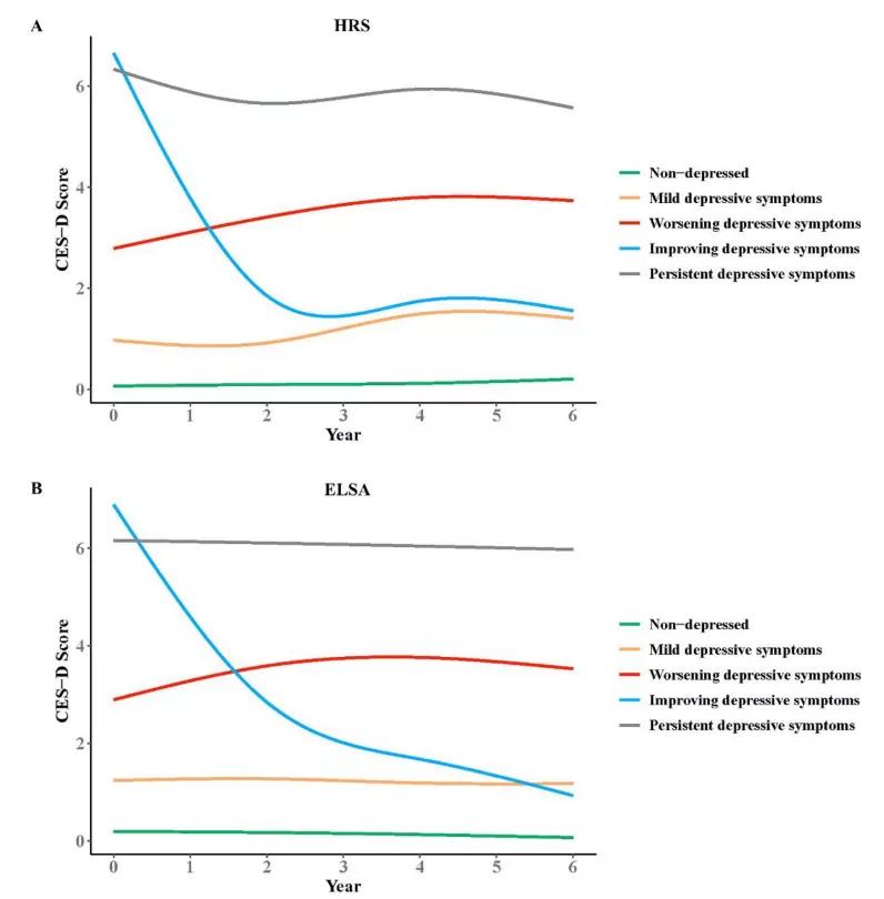
研究基于8年间共4次由CES-D量表评估的抑郁症状,采用群组轨迹模型(GBTM)来计算抑郁轨迹变化,将人群的抑郁症状的轨迹变化划分为5类,分别是“无抑郁”、“低抑郁症状” “加重抑郁症状”、“改善抑郁症状”和“持续抑郁”。在随后多年(HRS:18年;ELSA:10年),对整体认知功能和记忆、执行功能及时间定向的三个细分认知领域的随访中,本研究在两个队列中发现了一致的结果并进行了meta合并。

▲在HRS(A)和ELSA(B)中已确定的抑郁症状轨迹,CES-D得分越高,抑郁越严重。每种颜色代表一类抑郁症状轨迹(图片来源:参考资料[1])
研究结果发现, 相较于无抑郁组,加重抑郁症状组和持续抑郁组的认知功能下降显著加快 ;即使是轻度抑郁症状也与更快的认知功能下降有关。
然而,研究者并未在改善抑郁症状组发现这种关联性,也就是说,那些抑郁症状起初严重但得到改善的人群,随着时间的推移,认知功能并不会加速下降。

▲在HRS(A)和ELSA(B)队列中,老年人抑郁症状和后期认知能力下降的轨迹。加重抑郁症状组(红线)、持续抑郁组(灰线)和轻度抑郁组(黄线)的认知功能下降更快。(图片来源:参考资料[1])
结语
这项研究揭示了在社区居住的老年人群中,不同程度的抑郁症状对后期认知能力下降的 影响不同。同时也提示我们,尽量将抑郁症状维持在低水平,可能会减轻老年人认知能力下降的问题。
专家介绍
解武祥 博士

博士,研究员,博士生导师 。
北京大学公共卫生学院获预防医学本科和流行病与卫生统计学博士学位。曾在北京安贞医院从事心血管疾病临床研究工作。英国帝国理工学院流行病与生物统计学博士后、受资助研究员、英国医学科学院牛顿国际学者。2017年10月进入北京大学临床研究所工作。
长期从事心脑疾病的临床研究工作,并在本领域,作为第一或通讯作者共发表学术论文35篇,其中SCI收录30篇。现担任多本期刊编委。中华预防医学会健康风险评估与控制专业委员会委员兼秘书、中国优生优育协会母婴心血管结构与代谢专业委员会委员、中国非公立医疗机构协会慢性病管理分会委员、北京医学会临床流行病和循证医学分会青年委员等。
参考资料
[1] Yidan Zhu, Chenglong Li,Wuxiang Xie, et al. (2021). Trajectories of depressive symptoms and subsequentcognitive decline in older adults: a pooled analysis of two longitudinalcohorts, Age and Ageing;, afab191, from https://doi.org/10.1093/ageing/afab191
免责声明:药明康德内容团队专注介绍全球生物医药健康研究进展。本文仅作信息交流之目的,文中观点不代表药明康德立场,亦不代表药明康德支持或反对文中观点。本文也不是治疗方案推荐。如需获得治疗方案指导,请前往正规医院就诊。
版权说明:本文来自药明康德内容团队,欢迎个人转发至朋友圈,谢绝媒体或机构未经授权以任何形式转载至其他平台。