6 灌注桩施工
6.1 施工准备
6.1.1 灌注桩施工应具备下列资料:
1 建筑场地岩土工程勘察报告;
2 桩基工程施工图及图纸会审纪要;
3 建筑场地和邻近区域内的地下管线、地下构筑物、危房、精密仪器车间等的调查资料;
4 主要施工机械及其配套设备的技术性能资料;
5 桩基工程的施工组织设计;
6 水泥、砂、石、钢筋等原材料及其制品的质检报告;
7 有关荷载、施工工艺的试验参考资料。
6.1.2 钻孔机具及工艺的选择,应根据桩型、钻孔深度、土层情况、泥浆排放及处理条件综合确定。
6.1.3 施工组织设计应结合工程特点,有针对性地制定相应质量管理措施,主要应包括下列内容:
1 施工平面图:标明桩位、编号、施工顺序、水电线路和临时设施的位置;采用泥浆护壁成孔时,应标明泥浆制备设施及其循环系统;
2 确定成孔机械、配套设备以及合理施工工艺的有关资料,泥浆护壁灌注桩必须有泥浆处理措施;
3 施工作业计划和劳动力组织计划;
4 机械设备、备件、工具、材料供应计划;
5 桩基施工时,对安全,劳动保护、防火、防雨、防台风、*破爆**作业、*物文**和环境保护等方面应按有关规定执行;
6 保证工程质量、安全生产和季节性施工的技术措施。
6.1.4 成桩机械必须经鉴定合格,不得使用不合格机械。
6.1.5 施工前应组织图纸会审,会审纪要连同施工图等应作为施工依据,并应列入工程档案。
6.1.6 桩基施工用的供水、供电、道路、排水、临时房屋等临时设施,必须在开工前准备就绪,施工场地应进行平整处理,保证施工机械正常作业。
6.1.7 基桩轴线的控制点和水准点应设在不受施工影响的地方。开工前,经复核后应妥善保护,施工中应经常复测。
6.1.8 用于施工质量检验的仪表、器具的性能指标,应符合现行国家相关标准的规定。
6.2 一般规定
6.2.1 不同桩型的适用条件应符合下列规定:
1 泥浆护壁钻孔灌注桩宜用于地下水位以下的黏性土、粉土、砂土、填土、碎石土及风化岩层;
2 旋挖成孔灌注桩宜用于黏性土、粉土、砂土、填土、碎石土及风化岩层;
3 冲孔灌注桩除宜用于上述地质情况外,还能穿透旧基础、建筑垃圾填土或大孤石等障碍物。在岩溶发育地区应慎重使用,采用时,应适当加密勘察钻孔;
4 长螺旋钻孔压灌桩后插钢筋笼宜用于黏性土、粉土、砂土、填土、非密实的碎石类土、强风化岩;
5 干作业钻、挖孔灌注桩宜用于地下水位以上的黏性土、粉土、填土、中等密实以上的砂土、风化岩层;
6 在地下水位较高,有承压水的砂土层、滞水层、厚度较大的流塑状淤泥、淤泥质土层中不得选用人工挖孔灌注桩;
7 沉管灌注桩宜用于黏性土、粉土和砂土;夯扩桩宜用于桩端持力层为埋深不超过20m的中、低压缩性黏性土、粉土、砂土和碎石类土。
6.2.2 成孔设备就位后,必须平整、稳固,确保在成孔过程中不发生倾斜和偏移。应在成孔钻具上设置控制深度的标尺,并应在施工中进行观测记录。
6.2.3 成孔的控制深度应符合下列要求:
1 摩擦型桩:摩擦桩应以设计桩长控制成孔深度;端承摩擦桩必须保证设计桩长及桩端进入持力层深度。当采用锤击沉管法成孔时,桩管入土深度控制应以标高为主,以贯入度控制为辅。
2 端承型桩:当采用钻(冲)、挖掘成孔时,必须保证桩端进入持力层的设计深度;当采用锤击沉管法成孔时,桩管入土深度控制以贯入度为主,以控制标高为辅。
6.2.4 灌注桩成孔施工的允许偏差应满足表6.2.4的要求。

注:1 桩径允许偏差的负值是指个别断面;
2 H为施工现场地面标高与桩顶设计标高的距离;d为设计桩径。
6.2.5 钢筋笼制作、安装的质量应符合下列要求:
1 钢筋笼的材质、尺寸应符合设计要求,制作允许偏差应符合表6.2.5的规定:

2 分段制作的钢筋笼,其接头宜采用焊接或机械式接头(钢筋直径大于20mm),并应遵守国家现行标准《钢筋机械连接通用技术规程》JGJ 107、《钢筋焊接及验收规程》JGJ 18和《混凝土结构工程施工质量验收规范》GB 50204的规定;
3 加劲箍宜设在主筋外侧,当因施工工艺有特殊要求时也可置于内侧;
4 导管接头处外径应比钢筋笼的内径小100mm以上;
5 搬运和吊装钢筋笼时,应防止变形,安放应对准孔位,避免碰撞孔壁和自由落下,就位后应立即固定。
6.2.6 粗骨料可选用卵石或碎石,其粒径不得大于钢筋间最小净距的1/3。
6.2.7 检查成孔质量合格后应尽快灌注混凝土。直径大于1m或单桩混凝土量超过25m3的桩,每根桩桩身混凝土应留有1组试件;直径不大于1m的桩或单桩混凝土量不超过25m3的桩,每个灌注台班不得少于1组;每组试件应留3件。
6.2.8 在正式施工前,宜进行试成孔。
6.2.9 灌注桩施工现场所有设备、设施、安全装置、工具配件以及个人劳保用品必须经常检查,确保完好和使用安全。
6.3 泥浆护壁成孔灌注桩
6.3.1 除能自行造浆的黏性土层外,均应制备泥浆。泥浆制备应选用高塑性黏土或膨润土。泥浆应根据施工机械、工艺及穿越土层情况进行配合比设计。
6.3.2 泥浆护壁应符合下列规定:
1 施工期间护筒内的泥浆面应高出地下水位1.0m以上,在受水位涨落影响时,泥浆面应高出最高水位1.5m以上;
2 在清孔过程中,应不断置换泥浆,直至灌注水下混凝土;
3 灌注混凝土前,孔底500mm以内的泥浆相对密度应小于1.25;含砂率不得大于8%;黏度不得大于28s;
4 在容易产生泥浆渗漏的土层中应采取维持孔壁稳定的措施。
6.3.3 废弃的浆、渣应进行处理,不得污染环境。
6.3.4 对孔深较大的端承型桩和粗粒土层中的摩擦型桩,宜采用反循环工艺成孔或清孔,也可根据土层情况采用正循环钻进,反循环清孔。
6.3.5 泥浆护壁成孔时,宜采用孔口护筒,护筒设置应符合下列规定:
1 护筒埋设应准确、稳定,护筒中心与桩位中心的偏差不得大于50mm;
2 护筒可用4~8mm厚钢板制作,其内径应大于钻头直径100mm,上部宜开设1~2个溢浆孔;
3 护筒的埋设深度:在黏性土中不宜小于1.0m;砂土中不宜小于1.5m。护筒下端外侧应采用黏土填实;其高度尚应满足孔内泥浆面高度的要求;
4 受水位涨落影响或水下施工的钻孔灌注桩,护筒应加高加深,必要时应打入不透水层。
6.3.6 当在软土层中钻进时,应根据泥浆补给情况控制钻进速度;在硬层或岩层中的钻进速度应以钻机不发生跳动为准。
.3.7 钻机设置的导向装置应符合下列规定:
1 潜水钻的钻头上应有不小于3d长度的导向装置;
2 利用钻杆加压的正循环回转钻机,在钻具中应加设扶正器。
6.3.8 如在钻进过程中发生斜孔、塌孔和护筒周围冒浆、失稳等现象时,应停钻,待采取相应措施后再进行钻进。
6.3.9 钻孔达到设计深度,灌注混凝土之前,孔底沉渣厚度指标应符合下列规定:
1 对端承型桩,不应大于50mm;
2 对摩擦型桩,不应大于100mm;
3 对抗拔、抗水平力桩,不应大于200mm。
6.3.10 在钻头锥顶和提升钢丝绳之间应设置保证钻头自动转向的装置。
6.3.11 冲孔桩孔口护筒,其内径应大于钻头直径200mm,护筒应按本规范第6.3.5条设置。
6.3.12 泥浆的制备、使用和处理应符合本规范第6.3.1~6.3.3条的规定。
6.3.13 冲击成孔质量控制应符合下列规定:
1 开孔时,应低锤密击,当表土为淤泥、细砂等软弱土层时,可加黏土块夹小片石反复冲击造壁,孔内泥浆面应保持稳定;
2 在各种不同的土层、岩层中成孔时,可按照表6.3.13的操作要点进行;
3 进入基岩后,应采用大冲程、低频率冲击,当发现成孔偏移时,应回填片石至偏孔上方300~500mm处,然后重新冲孔;
4 当遇到孤石时,可预爆或采用高低冲程交替冲击,将大孤石击碎或挤入孔壁;
5 应采取有效的技术措施防止扰动孔壁、塌孔、扩孔、卡钻和掉钻及泥浆流失等事故;
6 每钻进4~5m应验孔一次,在更换钻头前或容易缩孔处,均应验孔;
7 进入基岩后,非桩端持力层每钻进300~500mm和桩端持力层每钻进100~300m时,应清孔取样一次,并应做记录。

注: 1 土层不好时提高泥浆相对密度或加黏土块;
2 防黏钻可投入碎砖石。
6.3.14 排渣可采用泥浆循环或抽渣筒等方法,当采用抽渣筒排渣时,应及时补给泥浆。
6.3.15 冲孔中遇到斜孔、弯孔、梅花孔、塌孔及护筒周围冒浆、失稳等情况时,应停止施工,采取措施后方可继续施工。
6.3.16 大直径桩孔可分级成孔,第一级成孔直径应为设计桩径的0.6~0.8倍。
6.3.17 清孔宜按下列规定进行:
1 不易塌孔的桩孔,可采用空气吸泥清孔;
2 稳定性差的孔壁应采用泥浆循环或抽渣筒排渣,清孔后灌注混凝土之前的泥浆指标应按本规范第6.3.1条执行;
3 清孔时,孔内泥浆面应符合本规范第6.3.2条的规定;
4 灌注混凝土前,孔底沉渣允许厚度应符合本规范第6.3.9条的规定。
6.3.18 旋挖钻成孔灌注桩应根据不同的地层情况及地下水位埋深,采用干作业成孔和泥浆护壁成孔工艺,干作业成孔工艺可按本规范第6.6节执行。
6.3.19 泥浆护壁旋挖钻机成孔应配备成孔和清孔用泥浆及泥浆池(箱),在容易产生泥浆渗漏的土层中可采取提高泥浆相对密度,掺入锯末、增黏剂提高泥浆黏度等维持孔壁稳定的措施。
6.3.20 泥浆制备的能力应大于钻孔时的泥浆需求量,每台套钻机的泥浆储备量不应少于单桩体积。
6.3.21 旋挖钻机施工时,应保证机械稳定、安全作业,必要时可在场地辅设能保证其安全行走和操作的钢板或垫层(路基板)。
6.3.22 每根桩均应安设钢护筒,护筒应满足本规范第6.3.5条的规定。
6.3.23 成孔前和每次提出钻斗时,应检查钻斗和钻杆连接销子、钻斗门连接销子以及钢丝绳的状况,并应清除钻斗上的渣土。
6.3.24 旋挖钻机成孔应采用跳挖方式,钻斗倒出的土距桩孔口的最小距离应大于6m,并应及时清除。应根据钻进速度同步补充泥浆,保持所需的泥浆面高度不变。
6.3.25 钻孔达到设计深度时,应采用清孔钻头进行清孔,并应满足本规范第6.3.2条和第6.3.3条要求。孔底沉渣厚度控制指标应符合本规范第6.3.9条规定。
6.3.26 钢筋笼吊装完毕后,应安置导管或气泵管二次清孔,并应进行孔位、孔径、垂直度、孔深,沉渣厚度等检验,合格后应立即灌注混凝土。
6.3.27 水下灌注的混凝土应符合下列规定:
1 水下灌注混凝土必须具备良好的和易性,配合比应通过试验确定;坍落度宜为180~220mm;水泥用量不应少于360kg/m3(当掺入粉煤灰时水泥用量可不受此限);
2 水下灌注混凝土的含砂率宜为40%~50%,并宜选用中粗砂;粗骨料的最大粒径应小于40mm;并应满足本规范第6.2.6条的要求;
3 水下灌注混凝土宜掺外加剂。
6.3.28 导管的构造和使用应符合下列规定:
1 导管壁厚不宜小于3mm,直径宜为200~250mm,直径制作偏差不应超过2mm,导管的分节长度可视工艺要求确定,底管长度不宜小于4m,接头宜采用双螺纹方扣快速接头;
2 导管使用前应试拼装、试压,试水压力可取为0.6~1.0MPa;
3 每次灌注后应对导管内外进行清洗。
6.3.29 使用的隔水栓应有良好的隔水性能,并应保证顺利排出;隔水栓宜采用球胆或与桩身混凝土强度等级相同的细石混凝土制作。
6.3.30 灌注水下混凝土的质量控制应满足下列要求:
1 开始灌注混凝土时,导管底部至孔底的距离宜为300~500mm;
2 应有足够的混凝土储备量,导管一次埋入混凝土灌注面以下不应少于0.8m;
3 导管埋入混凝土深度宜为2~6m。严禁将导管提出混凝土灌注面,并应控制提拔导管速度,应有专人测量导管埋深及管内外混凝土灌注面的高差,填写水下混凝土灌注记录;
4 灌注水下混凝土必须连续施工,每根桩的灌注时间应按初盘混凝土的初凝时间控制,对灌注过程中的故障应记录备案;
5 应控制最后一次灌注量,超灌高度宜为0.8~1.0m,凿除泛浆后必须保证暴露的桩顶混凝土强度达到设计等级。
6.4 长螺旋钻孔压灌桩
6.4.1 当需要穿越老黏土、厚层砂土、碎石土以及塑性指数大于25的黏土时,应进行试钻。
6.4.2 钻*定位机**后,应进行复检,钻头与桩位点偏差不得大于20mm,开孔时下钻速度应缓慢;钻进过程中,不宜反转或提升钻杆。
6.4.3 钻进过程中,当遇到卡钻、钻机摇晃、偏斜或发生异常声响时,应立即停钻,查明原因,采取相应措施后方可继续作业。
6.4.4 根据桩身混凝土的设计强度等级,应通过试验确定混凝土配合比;混凝土坍落度宜为180~220mm粗骨料可采用卵石或碎石,最大粒径不宜大于30mm;可掺加粉煤灰或外加剂。
6.4.5 混凝土泵型号应根据桩径选择,混凝土输送泵管布置宜减少弯道,混凝土泵与钻机的距离不宜超过60m。
6.4.6 桩身混凝土的泵送压灌应连续进行,当钻机移位时,混凝土泵料斗内的混凝土应连续搅拌,泵送混凝土时,料斗内混凝土的高度不得低于400mm。
6.4.7 混凝土输送泵管宜保持水平,当长距离泵送时,泵管下面应垫实。
6.4.8 当气温高于30℃时,宜在输送泵管上覆盖隔热材料,每隔一段时间应洒水降温。
6.4.9 钻至设计标高后,应先泵入混凝土并停顿10~20s,再缓慢提升钻杆。提钻速度应根据土层情况确定,且应与混凝土泵送量相匹配,保证管内有一定高度的混凝土。
6.4.10 在地下水位以下的砂土层中钻进时,钻杆底部活门应有防止进水的措施,压灌混凝土应连续进行。
6.4.11 压灌桩的充盈系数宜为1.0~1.2。桩顶混凝土超灌高度不宜小于0.3~0.5m。
6.4.12 成桩后,应及时清除钻杆及泵管内残留混凝土。长时间停置时,应采用清水将钻杆、泵管、混凝土泵清洗干净。
6.4.13 混凝土压灌结束后,应立即将钢筋笼插至设计深度。钢筋笼插设宜采用专用插筋器。
6.5 沉管灌注桩和内夯沉管灌注桩
6.5.1 锤击沉管灌注桩施工应根据土质情况和荷载要求,分别选用单打法、复打法或反插法。
6.5.2 锤击沉管灌注桩施工应符合下列规定;
1 群桩基础的基桩施工,应根据土质、布桩情况,采取消减负面挤土效应的技术措施,确保成桩质量;
2 桩管、混凝土预制桩尖或钢桩尖的加工质量和埋设位置应与设计相符,桩管与桩尖的接触应有良好的密封性。
6.5.3 灌注混凝土和拔管的操作控制应符合下列规定:
1 沉管至设计标高后,应立即检查和处理桩管内的进泥、进水和吞桩尖等情况,并立即灌注混凝土;
2 当桩身配置局部长度钢筋笼时,第一次灌注混凝土应先灌至笼底标高,然后放置钢筋笼,再灌至桩顶标高。第一次拔管高度应以能容纳第二次灌入的混凝土量为限。在拔管过程中应采用测锤或浮标检测混凝土面的下降情况;
3 拔管速度应保持均匀,对一般土层拔管速度宜为1m/min,在软弱土层和软硬土层交界处拔管速度宜控制在0.3~0.8m/min;
4 采用倒打拔管的打击次数,单动汽锤不得少于50次/min,自由落锤小落距轻击不得少于40次/min;在管底未拔至桩顶设计标高之前,倒打和轻击不得中断。
6.5.4 混凝土的充盈系数不得小于1.0;对于充盈系数小于1.0的桩,应全长复打,对可能断桩和缩颈桩,应进行局部复打。成桩后的桩身混凝土顶面应高于桩顶设计标高500mm以内。全长复打时,桩管入土深度宜接近原桩长,局部复打应超过断桩或缩颈区1m以上。
6.5.5 全长复打桩施工时应符合下列规定:
1 第一次灌注混凝土应达到自然地面;
2 拔管过程中应及时清除粘在管壁上和散落在地面上的混凝土;
3 初打与复打的桩轴线应重合;
4 复打施工必须在第一次灌注的混凝土初凝之前完成。
6.5.6 混凝土的坍落度宜为80~100mm。
6.5.7 振动、振动冲击沉管灌注桩应根据土质情况和荷载要求,分别选用单打法、复打法、反插法等。单打法可用于含水量较小的土层,且宜采用预制桩尖;反插法及复打法可用于饱和土层。
6.5.8 振动、振动冲击沉管灌注桩单打法施工的质量控制应符合下列规定:
1 必须严格控制最后30s的电流、电压值,其值按设计要求或根据试桩和当地经验确定;
2 桩管内灌满混凝土后,应先振动5~10s,再开始拔管,应边振边拔,每拔出0.5~1.0m,停拔,振动5~10s;如此反复,直至桩管全部拔出;
3 在一般土层内,拔管速度宜为1.2~1.5m/min,用活瓣桩尖时宜慢,用预制桩尖时可适当加快;在软弱土层中宜控制在0.6~0.8m/min。
6.5.9 振动、振动冲击沉管灌注桩反插法施工的质量控制应符合下列规定;
1 桩管灌满混凝土后,先振动再拔管,每次拔管高度0.5~1.0m,反插深度0.3~0.5m;在拔管过程中,应分段添加混凝土,保持管内混凝土面始终不低于地表面或高于地下水位1.0~1.5m以上,拔管速度应小于0.5m/min;
2 在距桩尖处1.5m范围内,宜多次反插以扩大桩端部断面;
3 穿过淤泥夹层时,应减慢拔管速度,并减少拔管高度和反插深度,在流动性淤泥中不宜使用反插法。
6.5.10 振动、振动冲击沉管灌注桩复打法的施工要求可按本规范第6.5.4条和第6.5.5条执行。
6.5.11 当采用外管与内夯管结合锤击沉管进行夯压、扩底、扩径时,内夯管应比外管短100mm,内夯管底端可采用闭口平底或闭口锥底(见图6.5.11)。

6.5.12外管封底可采用干硬性混凝土、无水混凝土配料,经夯击形成阻水、阻泥管塞,高度可为100mm。当内、外管间不会发生间隙涌水、涌泥时,亦可不采用上述封底措施。
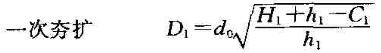
6.5.13桩端夯扩头平均直径可按下列公式估算:

[6.5.13-1]

[6.5.13-2]
式中:D1、D2——第一次、第二次夯扩扩头平均直径(m);
d0——外管直径(m);
H1、H2——第一次、第二次夯扩工序中,外管内灌注混凝土面从桩底算起的高度(m);
h1、h2——第一次、第二次夯扩工序中,外管从桩底算起的上拔高度(m),分别可取H1/2, H2/2;
C1、C2——第一次、二次夯扩工序中,内外管同步下沉至离桩底的距离,均可取为0.2m(图6.5.13)。

6.5.14 桩身混凝土宜分段灌注;拔管时内夯管和桩锤应施压于外管中的混凝土顶面,边压边拔。
6.5.15 施工前宜进行试成桩,并应详细记录混凝土的分次灌注量、外管上拔高度、内管夯击次数、*管双**同步沉入深度,并应检查外管的封底情况,有无进水、涌泥等,经核定后可作为施工控制依据。
6.6 干作业成孔灌注桩
6.6.1 钻孔时应符合下列规定:
1 钻杆应保持垂直稳固,位置准确,防止因钻杆晃动引起扩大孔径;
2 钻进速度应根据电流值变化,及时调整;
3 钻进过程中,应随时清理孔口积土,遇到地下水、塌孔、缩孔等异常情况时,应及时处理。
6.6.2 钻孔扩底桩施工,直孔部分应按本规范第6.6.1、6.6.3、6.6.4条规定执行,扩底部位尚应符合下列规定:
1 应根据电流值或油压值,调节扩孔刀片削土量,防止出现超负荷现象;
2 扩底直径和孔底的虚土厚度应符合设计要求。
6.6.3 成孔达到设计深度后,孔口应予保护,应按本规范第6.2.4条规定验收,并应做好记录。
6.6.4 灌注混凝土前,应在孔口安放护孔漏斗,然后放置钢筋笼,并应再次测量孔内虚土厚度。扩底桩灌注混凝土时,第一次应灌到扩底部位的顶面,随即振捣密实;浇筑桩顶以下5m范围内混凝土时,应随浇筑随振捣,每次浇筑高度不得大于1.5m。
6.6.5 人工挖孔桩的孔径(不含护壁)不得小于0.8m,且不宜大于2.5m;孔深不宜大于30m。当桩净距小于2.5m时,应采用间隔开挖。相邻排桩跳挖的最小施工净距不得小于4.5m。
6.6.6 人工挖孔桩混凝土护壁的厚度不应小于100mm,混凝土强度等级不应低于桩身混凝土强度等级,并应振捣密实;护壁应配置直径不小于8mm的构造钢筋,竖向筋应上下搭接或拉接。
6.6.7 人工挖孔桩施工应采取下列安全措施:
1 孔内必须设置应急软爬梯供人员上下;使用的电葫芦、吊笼等应安全可靠,并配有自动卡紧保险装置,不得使用麻绳和尼龙绳吊挂或脚踏井壁凸缘上下;电葫芦宜用按钮式开关,使用前必须检验其安全起吊能力;
2 每日开工前必须检测井下的有毒、有害气体,并应有相应的安全防范措施;当桩孔开挖深度超过10m时.应有专门向并下送风的设备,风量不宜少于25L/s;
3 孔口四周必须设置护栏,护栏高度宜为0.8m;
4 挖出的土石方应及时运离孔口,不得堆放在孔口周边1m范围内,机动车辆的通行不得对井壁的安全造成影响;
5 施工现场的一切电源、电路的安装和拆除必须遵守现行行业标准《施工现场临时用电安全技术规范》JGJ 46的规定。
6.6.8 开孔前,桩位应准确定位放样,在桩位外设置定位基准桩,安装护壁模板必须用桩中心点校正模板位置,并应由专人负责。
6.6.9 第一节井圈护壁应符合下列规定:
1 井圈中心线与设计轴线的偏差不得大于20mm;
2 井圈顶面应比场地高出100~150mm,壁厚应比下面井壁厚度增加100~150mm。
6.6.10 修筑井圈护壁应符合下列规定:
1 护壁的厚度、拉接钢筋、配筋、混凝土强度等级均应符合设计要求;
2 上下节护壁的搭接长度不得小于50mm;
3 每节护壁均应在当日连续施工完毕;
4 护壁混凝土必须保证振捣密实,应根据土层渗水情况使用速凝剂;
5 护壁模板的拆除应在灌注混凝土24h之后;
6 发现护壁有蜂窝、漏水现象时,应及时补强;
7 同一水平面上的井圈任意直径的极差不得大于50mm。
6.6.11 当遇有局部或厚度不大于1.5m的流动性淤泥和可能出现涌土涌砂时,护壁施工可按下列方法处理:
1 将每节护壁的高度减小到300~500mm,并随挖、随验、随灌注混凝土;
2 采用钢护筒或有效的降水措施。
6.6.12 挖至设计标高后,应清除护壁上的泥土和孔底残渣、积水,并应进行隐蔽工程验收。验收合格后,应立即封底和灌注桩身混凝土。
6.6.13 灌注桩身混凝土时,混凝土必须通过溜槽;当落距超过3m时,应采用串筒,串筒末端距孔底高度不宜大于2m;也可采用导管泵送;混凝土宜采用插入式振捣器振实。
6.6.14 当渗水量过大时,应采取场地截水、降水或水下灌注混凝土等有效措施。严禁在桩孔中边抽水边开挖,同时不得灌注相邻桩。
6.7 灌注桩后注浆
6.7.1 灌注桩后注浆工法可用于各类钻、挖、冲孔灌注桩及地下连续墙的沉渣(虚土)、泥皮和桩底、桩侧一定范围土体的加固。
6.7.2 后注浆装置的设置应符合下列规定:
1 后注浆导管应采用钢管,且应与钢筋笼加劲筋绑扎固定或焊接;
2 桩端后注浆导管及注浆阀数量宜根据桩径大小设置,对于直径不大于1200mm的桩,宜沿钢筋笼圆周对称设置2根;对于直径大于1200mm而不大于2500mm的桩,宜对称设置3根;
3 对于桩长超过15m且承载力增幅要求较高者,宜采用桩端桩侧复式注浆;桩侧后注浆管阀设置数量应综合地层情况、桩长和承载力增幅要求等因素确定,可在离桩底5~15m以上、桩顶8m以下,每隔6~12m设置一道桩侧注浆阀,当有粗粒土时,宜将注浆阀设置于粗粒土层下部,对于干作业成孔灌注桩宜设于粗粒土层中部;
4 对于非通长配筋桩,下部应有不少于2根与注浆管等长的主筋组成的钢筋笼通底;
5 钢筋笼应沉放到底,不得悬吊,下笼受阻时不得撞笼、墩笼、扭笼。
6.7.3 后注浆阀应具备下列性能:
1 注浆阀应能承受1MPa以上静水压力;注浆阀外部保护层应能抵抗砂石等硬质物的刮撞而不致使注浆阀受损;
2 注浆阀应具备逆止功能。
6.7.4 浆液配比、终止注浆压力、流量、注浆量等参数设计应符合下列规定:
1 浆液的水灰比应根据土的饱和度、渗透性确定,对于饱和土,水灰比宜为0.45~0.65;对于非饱和土,水灰比宜为0.7~0.9(松散碎石土、砂砾宜为0.5~0.6);低水灰比浆液宜掺入减水剂;
2 桩端注浆终止注浆压力应根据土层性质及注浆点深度确定,对于风化岩、非饱和黏性土及粉土,注浆压力宜为3~10MPa;对于饱和土层注浆压力宜为1.2~4MPa,软土宜取低值,密实黏性土宜取高值;
3 注浆流量不宜超过75L/min;
4 单桩注浆量的设计应根据桩径、桩长、桩端桩侧土层性质、单桩承载力增幅及是否复式注浆等因素确定,可按下式估算:

[6.7.4]
式 中:αp、αs——分别为桩端、桩侧注浆量经验系数,αp=1.5~1.8, αs=0.5~0.7;对于卵、砾石、中粗砂取较高值;
n——桩侧注浆断面数;
d——基桩设计直径(m);
Gc——注浆量,以水泥质量计(t);
对独立单桩、桩距大于6d的群桩和群桩初始注浆的数根基桩的注浆量应按上述估算值乘以1.2的系数;
5 后注浆作业开始前,宜进行注浆试验,优化并最终确定注浆参数。
6.7.5 后注浆作业起始时间、顺序和速率应符合下列规定:
1 注浆作业宜于成桩2d后开始;不宜迟于成桩30d后;
2 注浆作业与成孔作业点的距离不宜小于8~10m;
3 对于饱和土中的复式注浆顺序宜先桩侧后桩端;对于非饱和土宜先桩端后桩侧;多断面桩侧注浆应先上后下;桩侧桩端注浆间隔时间不宜少于2h;
4 桩墙注浆应对同一根桩的各注浆导管依次实施等量注浆;
5 对于桩群注浆宜先外围、后内部。
6.7.6 当满足下列条件之一时可终止注浆:
1 注浆总量和注浆压力均达到设计要求;
2 注浆总量已达到设计值的75%,且注浆压力超过设计值。
6.7.7 当注浆压力长时间低于正常值或地面出现冒浆或周围桩孔串浆,应改为间歇注浆,间歇时间宜为30~60min,或调低浆液水灰比。
6.7.8 后注浆施工过程中,应经常对后注浆的各项工艺参数进行检查。发现异常应采取相应处理措施。当注浆量等主要参数达不到设计值时,应跟据工程具体情况采取相应措施。
6.7.9 后注浆桩基工程质量检查和验收应符合下列要求;
1 后注浆施工完成后应提供水泥材质检验报告、压力表检定证书、试注浆记录、设计工艺参数、后注浆作业记录、特殊情况处理记录等资料;
2 在桩身混凝土强度达到设计要求的条件下,承载力检验应在注浆完成20d后进行,浆液中掺入早强剂时可于注浆完成15d后进行。
7 混凝土预制桩与钢桩施工
7.1 混凝土预制桩的制作
7.1.1 混凝土预制桩可在施工现场预制,预制场地必须平整、坚实。
7.1.2 制桩模板宜采用钢模板,模板应具有足够刚度,并应平整,尺寸应准确。
7.1.3 钢筋骨架的主筋连接宜采用对焊和电弧焊,当钢筋直径不小于20mm时,宜采用机械接头连接。主筋接头配置在同一截面内的数量,应符合下列规定:
1 当采用对焊或电弧焊时,对于受拉钢筋,不得超过50%;
2 相邻两根主筋接头截面的距离应大于35dg(dg为主筋直径),并不应小于500mm;
3 必须符合现行行业标准《钢筋焊接及验收规程》JGJ 18和《钢筋机械连接通用技术规程》JGJ 107的规定。
7.1.4 预制桩钢筋骨架的允许偏差应符合表7.1.4的规定。

7.1.5 确定桩的单节长度时应符合下列规定:
1 满足桩架的有效高度、制作场地条件、运输与装卸能力,
2 避免在桩尖接近或处于硬持力层中时接桩。
7.1.6 浇注混凝土预制桩时,宜从桩顶开始灌筑,并应防止另一端的砂浆积聚过多。
7.1.7 锤击预制桩的骨料粒径宜为5~40mm。
7.1.8 锤击预制桩,应在强度与龄期均达到要求后,方可锤击。
7.1.9 重叠法制作预制桩时,应符合下列规定:
1 桩与邻桩及底模之间的接触面不得粘连;
2 上层桩或邻桩的浇筑,必须在下层桩或邻桩的混凝土达到设计强度的30%以上时,方可进行;
3 桩的重叠层数不应超过4层。
7.1.10 混凝土预制桩的表面应平整、密实,制作允许偏差应符合表7.1.10的规定。

7.1.11 本规范未作规定的预应力混凝土桩的其他要求及离心混凝土强度等级评定方法,应符合国家现行标准《先张法预应力混凝土管桩》GB 13476和《预应力混凝土空心方桩》JG 197的规定。
7.2 混凝土预制桩的起吊、运输和堆放
7.2.1 混凝土实心桩的吊运应符合下列规定;
1 混凝土设计强度达到70%及以上方可起吊,达到100%方可运输;
2 桩起吊时应采取相应措施,保证安全平稳,保护桩身质量;
3 水平运输时,应做到桩身平稳放置,严禁在场地上直接拖拉桩体。
7.2.2 预应力混凝土空心桩的吊运应符合下列规定:
1 出厂前应作出厂检查,其规格、批号、制作日期应符合所属的验收批号内容;
2 在吊运过程中应轻吊轻放,避免剧烈碰撞;
3 单节桩可采用专用吊钩勾住桩两端内壁直接进行水平起吊;
4 运至施工现场时应进行检查验收,严禁使用质量不合格及在吊运过程中产生裂缝的桩。
7.2.3 顼应力混凝土空心桩的堆放应符合下列规定:
1 堆放场地应平整坚实,最下层与地面接触的垫木应有足够的宽度和高度。堆放时桩应稳固,不得滚动;
2 应按不同规格、长度及施工流水顺序分别堆放;
3 当场地条件许可时,宜单层堆放;当叠层堆放时,外径为500~600mm的桩不宜超过4层,外径为300~400mm的桩不宜超过5层;
4 叠层堆放桩时,应在垂直于桩长度方向的地面上设置2道垫木,垫木应分别位于距桩端1/5桩长处;底层最外缘的桩应在垫木处用木楔塞紧;
5 垫木宜选用耐压的长木枋或枕木,不得使用有棱角的金属构件。
7.2.4 取桩应符合下列规定:
1 当桩叠层堆放超过2层时,应采用吊机取桩,严禁拖拉取桩;
2 三点支撑自行式打桩机不应拖拉取桩。
7.3 混凝土预制桩的接桩
7.3.1 桩的连接可采用焊接、法兰连接或机械快速连接(螺纹式、啮合式)。
7.3.2 接桩材料应符合下列规定:
1 焊接接桩:钢钣宜采用低碳钢,焊条宜采用E43;并应符合现行行业标准《建筑钢结构焊接技术规程》JGJ 81要求。
2 法兰接桩:钢钣和螺栓宜采用低碳钢。
7.3.3 采用焊接接桩除应符合现行行业标准《建筑钢结构焊接技术规程》JGJ 81的有关规定外,尚应符合下列规定:
1 下节桩段的桩头宜高出地面0.5m;
2 下节桩的桩头处宜设导向箍;接桩时上下节桩段应保持顺直,错位偏差不宜大于2mm;接桩就位纠偏时,不得采用大锤横向敲打;
3 桩对接前,上下端钣表面应采用铁刷子清刷干净,坡口处应刷至露出金属光泽;
4 焊接宜在桩四周对称地进行,待上下桩节固定后拆除导向箍再分层施焊;焊接层数不得少于2层,第一层焊完后必须把焊渣清理下净,方可进行第二层(的)施焊,焊缝应连续、饱满;
5 焊好后的桩接头应自然冷却后方可继续锤击,自然冷却时间不宜少于8min;严禁采用水冷却或焊好即施打;
6 雨天焊接时,应采取可靠的防雨措施;
7 焊接接头的质量检查宜采用探伤检测,同一工程探伤抽样检验不得少于3个接头。
7.3.4 采用机械快速螺纹接桩的操作与质量应符合下列规定:
1 接桩前应检查桩两端制作的尺寸偏差及连接件,无受损后方可起吊施工,其下节桩端宜高出地面0.8m;
2 接桩时,卸下上下节桩两端的保护装置后,应清理接头残物,涂上润滑脂;
3 应采用专用接头锥度对中,对准上下节桩进行旋紧连接;
4 可采用专用链条式扳手进行旋紧,(臂长1m,卡紧后人工旋紧再用铁锤敲击板臂,)锁紧后两端板尚应有1~2mm的间隙。
7.3.5 采用机械啮合接头接桩的操作与质量应符合下列规定:
1 将上下接头钣清理干净,用扳手将已涂抹沥青涂料的连接销逐根旋入上节桩Ⅰ型端头钣的螺栓孔内,并用钢模板调整好连接销的方位;
2 剔除下节桩Ⅱ型端头钣连接槽内泡沫塑料保护块,在连接槽内注入沥青涂料,并在端头钣面周边抹上宽度20mm、厚度3mm的沥青涂料;当地基土、地下水含中等以上腐蚀介质时,桩端钣板面应满涂沥青涂料;
3 将上节桩吊起,使连接销与Ⅱ型端头钣上各连接口对准,随即将连接销插入连接槽内;
4 加压使上下节桩的桩头钣接触,完成接桩。
7.4 锤击沉桩
7.4.1 沉桩前必须处理空中和地下障碍物,场地应平整,排水应畅通,并应满足打桩所需的地面承载力。
7.4.2 桩锤的选用应根据地质条件、桩型、桩的密集程度、单桩竖向承载力及现有施工条件等因素确定,也可按本规范附录H选用。
7.4.3 桩打入时应符合下列规定:
1 桩帽或送桩帽与桩周围的间隙应为5~10mm;
2 锤与桩帽、桩帽与桩之间应加设硬木、麻袋、草垫等弹性衬垫;
3 桩锤、桩帽或送桩帽应和桩身在同一中心线上;
4 桩插入时的垂直度偏差不得超过0.5%。
7.4.4 打桩顺序要求应符合下列规定:
1 对于密集桩群,自中间向两个方向或四周对称施打;
2 当一侧毗邻建筑物时,由毗邻建筑物处向另一方向施打;
3 根据基础的设计标高,宜先深后浅;
4 根据桩的规格,宜先大后小,先长后短。
7.4.5 打入桩(预制混凝土方桩、预应力混凝土空心桩、钢桩)的桩位偏差,应符合表7.4.5的规定。斜桩倾斜度的偏差不得大于倾斜角正切值的15%(倾斜角系桩的纵向中心线与铅垂线间夹角)。

注:H为施工现场地面标高与桩顶设计标高的距离。
7.4.6 桩终止锤击的控制应符合下列规定:
1 当桩端位于一般土层时,应以控制桩端设计标高为主,贯入度为辅;
2 桩端达到坚硬、硬塑的黏性土、中密以上粉土、砂土、碎石类土及风化岩时,应以贯入度控制为主,桩端标高为辅;
3 贯入度已达到设计要求而桩端标高未达到时,应继续锤击3阵,并按每阵10击的贯入度不应大于设计规定的数值确认,必要时,施工控制贯入度应通过试验确定。
7.4.7 当遇到贯入度剧变,桩身突然发生倾斜、位移或有严重回弹、桩顶或桩身出现严重裂缝、破碎等情况时,应暂停打桩,并分析原因,采取相应措施。
7.4.8 当采用射水法沉桩时,应符合下列规定:
1 射水法沉桩宜用于砂土和碎石土;
2 沉桩至最后1~2m时,应停止射水,并采用锤击至规定标高,终锤控制标准可按本规范第7.4.6条有关规定执行。
7.4.9 施打大面积密集桩群时,应采取下列辅助措施:
1 对预钻孔沉桩,预钻孔孔径可比桩径(或方桩对角线)小50~100mm,深度可根据桩距和土的密实度、渗透性确定,宜为桩长的1/3~1/2;施工时应随钻随打;桩架宜具备钻孔锤击双重性能;
2 对饱和黏性土地基,应设置袋装砂井或塑料排水板;袋装砂井直径宜为70~80mm,间距宜为1.0~1.5m,深度宜为10~12m;塑料排水板的深度、间距与袋装砂井相同;
3 应设置隔离板桩或地下连续墙;
4 可开挖地面防震沟,并可与其他措施结合使用,防震沟沟宽可取0.5~0.8m,深度按土质情况决定:
5 应控制打桩速率和日打桩量,24小时内休止时间不应少于8h;
6 沉桩结束后,宜普遍实施一次复打;
7 应对不少于总桩数10%的桩顶上涌和水平位移进行监测;
8 沉桩过程中应加强邻近建筑物、地下管线等的观测、监护。
7.4.10 预应力混凝土管桩的总锤击数及最后1.0m沉桩锤击数应根据桩身强度和当地工程经验确定。
7.4.11 锤击沉桩送桩应符合下列规定:
1 送桩深度不宜大于2.0m;
2 当桩顶打至接近地面需要送桩时,应测出桩的垂直度并检查桩顶质量,合格后应及时送桩;
3 送桩的最后贯入度应参考相同条件下不送桩时的最后贯入度并修正;
4 送桩后遗留的桩孔应立即回填或覆盖;
5 当送桩深度超过2.0m且不大于6.0m时,打桩机应为三点支撑履带自行式或步履式柴油打桩机;桩帽和桩锤之间应用竖纹硬木或盘四层叠的钢丝绳作“锤垫”,其厚度宜取150~200mm。
7.4.12 送桩器及衬垫设置应符合下列规定:
1 送桩器宜做成圆筒形,并应有足够的强度、刚度和耐打性。送桩器长度应满足送桩深度的要求,弯曲度不得大于1/1000;
2 送桩器上下两端面应平整,且与送桩器中心轴线相垂直;
3 送桩器下端面应开孔,使空心桩内腔与外界连通;
4 送桩器应与桩匹配;套筒式送桩器下端的套筒深度宜取250~350mm,套管内径应比桩外径大20~30mm;插销式送桩器下端的插销长度宜取200~300mm,杆销外径应比(管)桩内径小20~30mm,对于腔内存有余浆的管桩,不宜采用插销式送桩器;
5 送桩作业时,送桩器与桩头之间应设置1~2层麻袋或硬纸板等衬垫。内填弹性衬垫压实后的厚度不宜小于60mm。
7.4.13 施工现场应配备桩身垂直度观测仪器(长条水准尺或经纬仪)和观测人员,随时量测桩身的垂直度。
7.5 静压沉桩
7.5.1 采用静压沉桩时,场地地基承载力不应小于压桩机接地压强的1.2倍,且场地应平整。
7.5.2 静力压桩宜选择液压式和绳索式压桩工艺;宜根据单节桩的长度选用便压式液压压桩机和抱压式液压压桩机。
7.5.3 选择压桩机的参数应包括下列内容:
1 压桩机型号、桩机质量(不含配重)、最大压桩力等;
2 压桩机的外型尺寸及拖运尺寸;
3 压桩机的最小边桩距及最大压桩力;
4 长、短船型履靴的接地压强;
5 夹持机构的型式;
6 液压油缸的数量、直径,率定后的压力表读数与压桩力的对应关系;
7 吊桩机构的性能及吊桩能力。
7.5.4 压桩机的每件配重必须用量具核实,并将其质量标记在该件配重的外露表面;液压式压桩机的最大压桩力应取压桩机的机架重量和配重之和乘以0.9。
7.5.5 当边桩空位不能满足中置式压桩机施压条件时,宜利用压边桩机构或选用前置式液压压桩机进行压桩,但此时应估计最大压桩能力减少造成的影响。
7.5.6 当设计要求或施工需要采用引孔法压桩时,应配备螺旋钻孔机,或在压桩机上配备专用的螺旋钻。当桩端需进入较坚硬的岩层时,应配备可入岩的钻孔桩机或冲孔桩机。
7.5.7 最大压桩力不宜小于设计的单桩竖向极限承载力标准值,必要时可由现场试验确定。
7.5.8 静力压桩施工的质量控制应符合下列规定:
1 第一节桩下压时垂直度偏差不应大于0.5%;
2 宜将每根桩一次性连续压到底,且最后一节有效桩长不宜小于5m;
3 抱压力不应大于桩身允许侧向压力的1.1倍;
4 对于大面积桩群,应控制日压桩量。
7.5.9 终压条件应符合下列规定:
1 应根据现场试压桩的试验结果确定终压标准;
2 终压连续复压次数应根据桩长及地质条件等因素确定。对于入土深度大于或等于8m的桩,复压次数可为2~3次;对于入土深度小于8m的桩,复压次数可为3~5次;
3 稳压压桩力不得小于终压力,稳定压桩的时间宜为5~10s。
7.5.10 压桩顺序宜根据场地工程地质条件确定,并应符合下列规定:
1 对于场地地层中局部含砂、碎石、卵石时,宜先对该区域进行压桩;
2 当持力层埋深或桩的入土深度差别较大时,宜先施压长桩后施压短桩。
7.5.11 压桩过程中应测量桩身的垂直度。当桩身垂直度偏差大于1%时,应找出原因并设法纠正;当桩尖进入较硬土层后,严禁用移动机架等方法强行纠偏。
7.5.12 出现下列情况之一时,应暂停压桩作业,并分析原因,采用相应措施:
1 压力表读数显示情况与勘察报告中的土层性质明显不符;
2 桩难以穿越硬夹层;
3 实际桩长与设计桩长相差较大;
4 出现异常响声;压桩机械工作状态出现异常;
5 桩身出现纵向裂缝和桩头混凝土出现剥落等异常现象;
6 夹持机构打滑;
7 压桩机下陷。
7.5.13 静压送桩的质量控制应符合下列规定;
1 测量桩的垂直度并检查桩头质量,合格后方可送桩,压桩、送桩作业应连续进行;
2 送桩应采用*制专**钢质送桩器,不得将工程桩用作送桩器;
3 当场地上多数桩的有效桩长小于或等于15m或桩端持力层为风化软质岩,需要复压时,送桩深度不宜超过1.5m;
4 除满足本条上述3款规定外,当桩的垂直度偏差小于1%,且桩的有效桩长大于15m时,静压桩送桩深度不宜超过8m;
5 送桩的最大压桩力不宜超过桩身允许抱压压桩力的1.1倍。
7.5.14 引孔压桩法质量控制应符合下列规定:
1 引孔宜采用螺旋钻干作业法;引孔的垂直度偏差不宜大于0.5%;
2 引孔作业和压桩作业应连续进行,间隔时间不宜大于12h;在软土地基中不宜大于3h;
3 引孔中有积水时,宜采用开口型桩尖。
7.5.15 当桩较密集,或地基为饱和淤泥、淤泥质土及黏性土时,应设置塑料排水板、袋装砂井消减超孔压或采取引孔等措施,并可按本规范第7.4.9条执行。在压桩施工过程中应对总桩数10%的桩设置上涌和水平偏位观测点,定时检测桩的上浮量及桩顶水平偏位值,若上涌和偏位值较大,应采取复压等措施。
7.5.16 对预制混凝土方桩、预应力混凝土空心桩、钢桩等压入桩的桩位偏差,应符合本规范表7.4.5的规定。
7.6 钢桩(钢管桩、H型桩及其他异型钢桩)施工
7.6.1 制作钢桩的材料应符合设计要求,并应有出厂合格证和试验报告。
7.6.2 现场制作钢桩应有平整的场地及挡风防雨措施。
7.6.3 钢桩制作的允许偏差应符合表7.6.3的规定,钢桩的分段长度应满足本规范第7.1.5条的规定,且不宜大于15m。

7.6.4 用于地下水有侵蚀性的地区或腐蚀性土层的钢桩,应按设计要求作防腐处理。
7.6.5 钢桩的焊接应符合下列规定:
1 必须清除桩端部的浮锈、油污等脏物,保持干燥;下节桩顶经锤击后变形的部分应割除;
2 上下节桩焊接时应校正垂直度,对口的间隙宜为2~3mm;
3 焊丝(自动焊)或焊条应烘干;
4 焊接应对称进行;
5 应采用多层焊,钢管桩各层焊缝的接头应错开,焊渣应清除;
6 当气温低于0℃或雨雪天及无可靠措施确保焊接质量时,不得焊接;
7 每个接头焊接完毕,应冷却1min后方可锤击;
8 焊接质量应符合国家现行标准《钢结构工程施工质量验收规范》GB 50205和《建筑钢结构焊接技术规程》JGJ 81的规定,每个接头除应按表7.6.5规定进行外观检查外,还应按接头总数的5%进行超声或2%进行X射线拍片检查,对于同一工程,探伤抽样检验不得少于3个接头。

7.6.6 H型钢桩或其他异型薄壁钢桩,接头处应加连接板,可按等强度设置。
7.6.7 钢桩的运输与堆放应符合下列规定:
1 堆放场地应平整、坚实、排水通畅;
2 桩的两端应有适当保护措施,钢管桩应设保护圈;
3 搬运时应防止桩体撞击而造成桩端、桩体损坏或弯曲;
4 钢桩应按规格、材质分别堆放,堆放层数:φ900mm的钢桩,不宜大于3层;φ600mm的钢桩,不宜大于4层;φ400mm的钢桩,不宜大于5层,H型钢桩不宜大于6层。支点设置应合理,钢桩的两侧应采用木楔塞住。
7.6.8 当钢桩采用锤击沉桩时,可按本规范第7.4节有关条文实施;当采用静压沉桩时,可按本规范第7.5节有关条文实施。
7.6.9 对敞口钢管桩,当锤击沉桩有困难时,可在管内取土助沉。
7.6.10 锤击H型钢桩时,锤重不宜大于4.5t级(柴油锤),且在锤击过程中桩架前应有横向约束装置。
7.6.11 当持力层较硬时,H型钢桩不宜送桩。
7.6.12 当地表层遇有大块石、混凝土块等回填物时,应在插入H型钢桩前进行触探,并应清除桩位上的障碍物。
8 承台施工
8.1 基坑开挖和回填
8.1.1 桩基承台施工顺序宜先深后浅。
8.1.2 当承台埋置较深时,应对邻近建筑物及市政设施采取必要的保护措施,在施工期间应进行监测。
8.1.3 基坑开挖前应对边坡支护形式、降水措施、挖土方案、运土路线及堆土位置编制施工方案,若桩基施工引起超孔隙水压力,宜待超孔隙水压力大部分消散后开挖。
8.1.4 当地下水位较高需降水时,可根据周围环境情况采用内降水或外降水措施。
8.1.5 挖土应均衡分层进行,对流塑状软土的基坑开挖,高差不应超过1m。
8.1.6 挖出的土方不得堆置在基坑附近。
8.1.7 机械挖土时必须确保基坑内的桩体不受损坏。
8.1.8 基坑开挖结束后,应在基坑底做出排水盲沟及集水井,如有降水设施仍应维持运转。
8.1.9 在承台和地下室外墙与基坑侧壁间隙回填土前,应排除积水,清除虚土和建筑垃圾,填土应按设计要求选料,分层夯实,对称进行。
8.2 钢筋和混凝土施工
8.2.1 绑扎钢筋前应将灌注桩桩头浮浆部分和预制桩桩顶锤击面破碎部分去除,桩体及其主筋埋入承台的长度应符合设计要求;钢管桩尚应加焊桩顶连接件;并应按设计施作桩头和垫层防水。
8.2.2 承台混凝土应一次浇筑完成,混凝土入槽宜采用平铺法。对大体积混凝上施工,应采取有效措施防止温度应力引起裂缝。
9 桩基工程质量检查和验收
9.1 一般规定
9.1.1 桩基工程应进行桩位、桩长、桩径、桩身质量和单桩承载力的检验。
9.1.2 桩基工程的检验按时间顺序可分为三个阶段:施工前检验、施工检验和施工后检验。
9.1.3 对砂、石子、水泥、钢材等桩体原材料质量的检验项目和方法应符合国家现行有关标准的规定。
9.2 施工前检验
9.2.1 施工前应严格对桩位进行检验。
9.2.2 预制桩(混凝土预制桩、钢桩)施工前应进行下列检验:
1 成品桩应按选定的标准图或设计图制作,现场应对其外观质量及桩身混凝土强度进行检验;
2 应对接桩用焊条、压桩用压力表等材料和设备进行检验。
9.2.3 灌注桩施工的应进行下列检验:
1 混凝土拌制应对原材料质量与计量、混凝土配合比,坍落度、混凝土强度等级等进行检查;
2 钢筋笼制作应对钢筋规格、焊条规格。品种、焊口规格、焊缝长度,焊缝外观和质量、主筋和箍筋的制作偏差等进行检查,钢筋笼制作允许偏差应符合本规范表6.2.5的要求。
9.3 施工检验
9.3.1 预制桩(混凝土预制桩、钢桩)施工过程中应进行下列检验:
1 打入(静压)深度、停锤标准、静压终止压力值及桩身(架)垂直度检查;
2 接桩质量、接桩间歇时间及桩顶完整状况;
3 每米进尺锤击数、最后1.0m进尺锤击数、总锤击数,最后三阵贯入度及桩尖标高等。
9.3.2 灌注桩施工过程中应进行下列检验:
1 灌注混凝土前,应按照本规范第6章有关施工质量要求,对已成孔的中心位置、孔深、孔径、垂直度,孔底沉渣厚度进行检验;
2 应对钢筋笼安放的实际位置等进行检查,井填写相应质量检测、检查记录;
3 干作业条件下成孔后应对大直径桩桩端持力层进行检验。
9.3.3 对于沉管灌注桩施工工序的质量检查宜按本规范第9.1.1~9.3.2条有关项目进行。
9.3.4 对于挤土顶制桩和挤土灌注桩,施工过程均应对桩顶和地面土体的竖向和水平位移进行系统观测;若发现异常,应采取复打、复压、引孔、设置排水措施及调整沉桩速率等措施。
9.4 施工后检验
9.4.1 根据不同桩型应按本规范表6.2.4及表7.4.5规定检查成桩桩位偏差。
9.4.2 工程桩应进行承载力和桩身质量检验。
9.4.3 有下列情况之一的桩基工程,应采用静荷载试验对工程桩单桩竖向承载力进行检测,检测数量应根据桩基设计等级、施工前取得试验数据的可靠性因素.按现行行业标准《建筑基桩检测技术规范》JGJ 106确定:
1 工程施工前已进行单桩静载试验,但施工过程变更了工艺参数或施工质量出现异常时;
2 施工前工程未按本规范第5.3.1条规定进行单桩静载试验的工程;
3 地质条件复杂、桩的施工质量可靠性低;
4 采用新桩型或新工艺。
9.4.4 有下列情况之一的桩基工程,可采用高应变动测法对工程桩单桩竖向承载力进行检测:
1 除本规范第9.4.3条规定条件外的桩基;
2 设计等级为甲、乙级的建筑桩基静载试验检测的辅助检测。
9.4.5 桩身质量除对预留混凝土试件进行强度等级检验外,尚应进行现场检测。检测方法可采用可靠的动测法,对于大直径桩还可采取钻芯法、声波透射法;检测数量可根据现行行业标准《建筑基桩检测技术规范》JGJ 106确定。
9.4.6 对专用抗拔桩和对水平承载力有特殊要求的桩基工程,应进行单桩抗拔静载试验和水平静载试验检测。
9.5 基桩及承台工程验收资料
9.5.1 当桩顶设计标高与施工场地标高相近时,基桩的验收应待基桩施工完毕后进行;当桩顶设计标高低于施工场地标高时,应待开挖到设计标高后进行验收。
9.5.2 基桩验收应包括下列资料:
1 岩土工程勘察报告、桩基施工图、图纸会审纪要、设计变更单及材料代用通知单等;
2 经审定的施工组织设计、施工方案及执行中的变更单;
3 桩位测量放线图,包括工程桩位线复核答证单;
4 原材料的质量合格和质量鉴定书;
5 半成品如预制桩、钢桩等产品的合格证;
6 施工记录及隐蔽工程验收文件;
7 成桩质量检查报告;
8 单桩承载力检测报告;
9 基坑挖至设计标高的基桩竣工平面图及桩顶标高图;
10 其他必须提供的文件和记录。
9.5.3 承台工程验收时应包括下列资料:
1 承台钢筋、混凝土的施工与检查记录;
2 桩头与承台的锚筋、边桩离承台边缘距离、承台钢筋保护层记录;
3 桩头与承台防水构造及施工质量;
4 承台厚度、长度和宽度的量测记录及外观情况描述等。
9.5.4 承台工程验收除符合本节规定外,尚应符合现行国家标准《混凝土结构工程施工质量验收规范》GB 50204的规定。