高层建筑一般会设置地下室,遇到地下水位较高的时候,结构将受到的较大水浮力作用。随着地下空间的开发利用,越来越多的问题伴随着地下工程的发展而产生,由于设计不合理,导致地下室产生不均匀沉降,底板和上部结构开裂,甚至地下室建筑物整体浮起等问题,造成严重的经济损失,因此抗浮分析显得尤为重要。

1.1 抗浮水位计算
对于雨水较多的地区,地下室抗浮设防水位一般不采用地勘报告给出的设计水位,而是以室外地坪为设防水位。小范围建筑物的抗浮设计时,可取室外周边地坪最低点作为抗浮设防水位。地下室长度大于100m,且四周地坪高度大于5m的坡地建筑,如按低处地坪标高作为设防水位进行抗浮设计,则偏于不安全。如按高处地坪标高作为设防水位进行抗浮设计,则偏于保守,造成浪费。较为合理的做法是根据地下室范围内的水头分布,分区域抗浮设防。
设定室外抗浮水位均等于各自室外地坪标高,各个方向存在水头差。假设土层分布均匀,按照工程水文学原理,各个方向的水头连成一条折线。地下室实际土层分布虽有差异,但其水头也应近似为一条斜线。
按上述原理,地下室各位置的水头可由两侧高低水头线性插值计算而得。考虑双向水头分布时,因地下水会向水头值低的方向渗流,所以确定某点的水头值时可取两方向中的小值来确定,见图1.1‑1所示。

图1.1‑1坡地建筑抗浮水头分区示意图
1.2 抗浮措施
地下室抗浮问题主要有“被动”和“主动”两种抗浮措施,其中“被动”抗浮措施有增加地下室工程自重、在地下室底板增设抗浮锚杆以及布置抗拔桩;“主动”抗浮主要是地下室周围或者底部布置泄水孔,通过泄水减压降低地下室水位来实现地下室抗浮。

抗浮稳定性不满足设计要求时,可采用增加压重或设置抗浮构件等措施。在整体满足抗浮稳定性要求而局部不满足时,也可采用增加结构刚度的措施。
(1) 配重抗浮
抗浮时自重越大越有利。配重抗浮一般有在底板上部设低等级混凝土或钢渣混凝土压重和设较厚的钢筋混凝土底板两种方法。以上方法的优点是简单可靠,当建筑物的自身重量与浮力相差不大时,应尽量采用配重抗浮,对工程造价的影响小,适用于建筑物的自身重量与浮力相差不大的情况。
(2) 锚固抗浮
1)锚杆:锚杆是在底板和其下土层之间的拉杆,当底板下有坚硬土层且深度不大时,设锚杆不失为一种既简便又经济的方法。锚杆的直径一般为150~180mm。锚杆抗浮有三个问题需要注意,一是受力问题,当浮力大于自重时,锚杆处于受拉状态,当浮力小于自重时,锚杆又处于受压状态;二是施工问题,锚杆的施工需有专门的机械,施工前要进行试验,同时,较细的锚杆在施工时有一定的难度;三是适用性,当地下水对钢筋有侵蚀性时,细锚杆的耐久性问题不易解决,如果因腐蚀造成锚杆失效,会造成严重后果,这将在一定程度上限制其适用性。
2)抗拔桩:抗拔桩利用桩侧摩阻力和自身重量来抵抗浮力,桩型可采用灌注桩或预制桩,桩径一般为 400mm,也可采用方桩,桩距和桩长应通过计算确定,桩距不宜过大,否则会增加底板厚度,桩端最好能伸入相对较硬的土层。抗拔桩也有拉压受力问题,当存在荷载差异较大和地下水分布不均时会引起地基不均匀变形的问题。另外抗拔桩施工周期较长,对机械和人员要求较高。
(3) 泄水减压抗浮技术
泄水减压抗浮技术主要由泄水减压系统和汇排水系统构成,通过在地下室侧墙和底板一定位置按一定间距埋设直径为100mm 的泄水孔,在泄水孔汇水端埋置一定面积的反滤层,其中反滤层主要由碎石构成,将渗入反滤层的水通过泄水孔引流到专门的室内排水沟中(见图1.2‑1),同时在泄水孔中布置钢丝球来过滤泄水孔中的水。排水沟中水通过在室内设置引流进入排水井或者用于其他用途,这样该系统能够将地下室周围较高的水位通过将地下水渗流进入泄水孔排出,从而降低了地下水水位,释放了地下室底板的基底水浮力,最大程度减小了地下水对建筑物及环境的不利影响。

图1.2‑1 泄水减压抗浮工程大样图
1.3 抗浮计算方法
(1)土体对基础和底板的约束模拟
地基对基础底板的约束可用土地基变形模量、线弹簧、点弹簧或点约束模拟。由于土对基础的受压起约束作用,对受拉则不起作用或作用很小,故当水浮力大于上部结构传来的竖向力时,应不考虑土的受拉作用。
常用的基础设计软件包括PKPM-JCCAD,YJK-基础,广厦-基础CAD和SAFE软件。
PKPM-JCCAD,YJK-基础和广厦-基础CAD均采用土地基变形模量模拟地基对地下室底板和基础的约束,均可仅考虑土体的受压作用。
SAFE可采用土地基变形模量、线弹簧、点弹簧和点约束模拟基础底板与地基的约束,其中土地基变形模量只起受压作用,线弹簧和点弹簧可选择“线性拉压”、“只受压”或“只受拉”,点约束起线性拉压作用。
(2)整体抗浮计算方法
水浮力对底板的作用有3种情况:
1)基础为筏板基础,水浮力与上部结构重量相差不大。若水浮力大于上部结构重量,结构将整体上浮,底板受向上的均布水浮力作用,而柱底相当于底板的弹性支座,底板变形如图1.3‑1(a)所示(图中水位为抗浮水位);
2)基础为桩筏基础,水浮力与上部结构重量相差不大。由于桩的变形较小,结构不会上浮,底板受向上的均布水浮力作用,桩相当于底板的固定支座,底板变形如图1.3‑1(b)所示,其变形形态与情况 1 相同。
3)上述两种情况的组合,即塔楼基础为桩筏,裙房基础为筏板,上部结构重量相差很大。塔楼重量一般大于水浮力,且有桩的约束作用,塔楼基础不上浮,裙房重量较小,裙房基础可能上浮,从整体上看,基础类似悬臂梁,塔楼基础为固定端,裙房基础类似自由端,如图1.3‑1(c)所示。

图1.3‑1水浮力对结构的作用
水浮力较大时,对上述3种情况,底板都会因水浮力而产生较大内力。理论上,情况1中水浮力不会引起上部结构的不均匀变形,但是如果结构整体上浮过大,仍会对结构的适用性能造成不利影响。实际上,受诸多复杂因素影响,结构变形不完全均匀,结构可能开裂甚至破坏。对于情况3,水浮力可能造成上部结构不均匀变形,对裙房和塔楼相接区域内的墙、梁造成不利影响。
(3)局部抗浮计算方法
整体抗浮满足情况下,基础局部由于水浮力超过上部结构荷载会导致上浮。为限制基础上浮可以增设抗拔桩,局部上浮变形会导致地下室底板受弯及抗拔桩受拉,所以局部抗浮设计需要进行地下室底板抗弯及配筋验算、桩抗拔设计及验算两部分内容。
地下室底板抗弯及配筋验算。局部抗浮不足,会引起筏板上抬变形产生弯矩,如果上抬位移不是很大,可以通过加强筏板配筋满足安全要求,而如果上抬位移量过大,则可以采取加厚筏板厚度、增加压重等措施。
桩抗拔设计及验算。增设抗拔桩可限制筏板的上浮位移量,但是桩会承受拉力,所以需要验算桩的抗拔力是否超过桩承载能力,确保桩的抗拔安全性。另外,抗拔桩布置在不同区域的抗浮效果是有明显差异的,比如布置在非明显上抬区,其抗拔作用将不能有效发挥造成浪费,所以抗拔验算的另一项内容是根据桩抗拉承载力验算结果剔除未起抗拔作用的抗拔桩,在安全前提下确保经济有效。
(4)基础与上部结构协同计算方法
常用底板抗浮计算方法为将柱底或桩顶简化为固定支座,认为锚杆受力均匀,且所有锚杆都发挥全部的抗浮能力。而实际上底板变形是较复杂的,并且锚杆的受力是不均匀的。可见常用底板抗浮计算方法存在以下缺陷:忽略了底板支座之间的变形差别,可能造成上部构件和底板承载力不足,也可能高估底板跨中的内力;忽略了锚杆受力的不均匀性,可能造成结构和底板抗浮能力不足或锚杆布置浪费。
建立包含锚杆、基础和上部结构的整体有限元模型来计算,可较合理地体现锚杆受力的不均匀性,也能较合理地体现底板变形的特点。基本的整体计算模型应包括上部结构(塔楼、裙房和地下室)、底板、锚杆和桩(当桩顶近似固定时可不建立桩,只在桩顶位置施加约束),如图1.3‑2所示。上部结构的荷载按《建筑结构荷载规范》(GB 50009-2012)可取0.9倍的恒荷载。

图1.3‑2整体计算模型
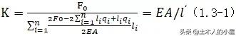
锚杆线刚度:
如图1.3‑3所示,锚杆顶部受到拉力,该拉力经锚杆周围土的摩擦作用逐渐传递到土中。因此,沿锚杆深度方向,锚杆轴力是逐渐减小的,且土的摩擦作用越大,轴力减小得越快。整体模型中不建立土的模型,锚杆作为底端固定、上端受力的杆件,需合理设置锚杆的刚度以考虑土的摩擦作用对锚杆刚度的贡献。锚杆的弹性线刚度K和等效长度 l’的计算方法如下:


式中:

为锚杆存在轴力范围内第i层土的厚度;

为单位长度内第i层土对锚杆的摩擦力;

为锚杆顶端的轴拉力;

为第i层土底锚杆内的轴拉力;n为锚杆存在轴力的范围内土分层数;E为锚杆截面抗拉刚度;A为锚杆截面面积。

图1.3‑3 锚杆受力示意图

(1)整体计算问题
由图2-1水浮力作用下底板的变形结果可知,考虑上部结构刚度相比不考虑上部结构刚度的变形减小了15.7%。由图2-2底板配筋结果可知,考虑上部结构刚度相比不考虑上部结构刚度的配筋减小了10.1%,说明考虑上部结构刚度使底板的受力更加均匀,在保证基础安全的同时,基础设计的经济性更好。

图2‑1水浮力作用下底板的变形

图2‑2底板配筋结果
(2)组合系数问题
根据广东省《建筑结构荷载规范》(DBJ 15-101-2014)条文说明3.1.1条,“由于水位变化为不可预测因素,发生变化的可能性较大,本规范中水压力不再区分为永久荷载和可变荷载,一律按可变荷载考虑”。
在实际计算水浮力时,一般取结构的最高水位作为结构的抗浮设计水位,因此可认为设计水位是可变的,属于可变荷载,按可变荷载的分项系数进行组合,分项系数宜取1.2,而恒载在抗浮设计中属于有利荷载,分项系数可取1.0。
(3)土弹簧问题

图2‑3 基础反力
某地下室在水反力作用下,局部抗浮不满足要求,通过设置不同的土弹簧刚度,说明土弹簧刚度对基础反力的影响。图2‑3为不同弹簧刚度下的基础反力,当考虑土弹簧的拉压作用时,基础均处于受压状态,底板处于受拉状态,不符合实际的受力情况;当仅考虑土弹簧的压作用时,中间的基础处于受拉状态,周边位置的基础均处于受压状态。仅考虑土弹簧的压作用相比考虑土弹簧的拉压作用的基础最大压力小44%。

图2‑4中间受拉区域底板配筋
板为防水板时,首先布置防水板得到高水位作用下的支座反力,用以计算抗拔锚杆的数量,再双击防水板边界线,将防水板修改成筏板,并且把筏板的基床系数修改为0,则可以较准确的计算出水浮力作用下的的局部变形等情形。
【图文内容来源:网络】