《土木工程测量》习题答案
一、测量基本知识
[ 题 1-1] 测量学研究的对象和任务是什么?
答: 测量学是研究地球的形状与大小,确定地球表面各种物体的形状、大小和空间位置的科学。
测量学的主要任务是测定和测设。
测定——使用测量仪器和工具,通过测量与计算将地物和地貌的位置按一定比例尺、规定的符号缩小绘制成地形图,供科学研究和工程建设规划设计使用。
测设——将在地形图上设计出的建筑物和构筑物的位置在实地标定出来,作为施工的依据。
[ 题 1-2] 熟悉和理解铅垂线、水准面、水准面、参考椭球面、法线的概念。
答: 铅垂线——地表任意点万有引力与离心力的合力称重力,重力方向为铅垂线方向。
水准面——处处与铅垂线垂直的连续封闭曲面。
水准面——通过平均海水面的水准面。
参考椭球面——为了解决投影计算问题,通常选择一个与水准面非常接近的、能用数学方程表示的椭球面作为投影的基准面,这个椭球面是由长半轴为 a 、短半轴为 b 的椭圆 NESW 绕其短轴 NS 旋转而成的旋转椭球面,旋转椭球又称为参考椭球,其表面称为参考椭球面。
法线——垂直于参考椭球面的直线。
[ 题 1-3] 绝对高程和相对高程的基准面是什么?
答: 绝对高程的基准面——水准面。
相对高程的基准面——水准面。
[ 题 1-4] “ 1956 年黄海高程系”使用的平均海水面与“ 1985 国家高程基准”使用的平均海水面有何关系?
答: 在大港一头验潮站,“ 1985 国家高程基准”使用的平均海水面高出“ 1956 年黄海高程系”,使用的平均海水面 0.029m 。
[ 题 1-5] 测量中所使用的高斯平面坐标系与数学上使用的笛卡尔坐标系有何区别?
答: x 与 y 轴的位置互换,第Ⅰ象限位置相同,Ⅰ→Ⅱ→Ⅲ→Ⅳ象限顺指针编号,这样可以使在数学上使用的三角函数在高斯平面直角坐标系中照常使用。
[ 题 1- 6 ] 我国领土某点 A 的高斯平面坐标为: x A =2497019.17m , Y A =19710154.33m ,试说明 A 点所处的 6 °投影带和 3 °投影带的带号、各自的中央子午线经度。
答: 我国领土所处的概略经度围为东经 73 ° 27 ′ ~ 东经 135 ° 09 ′,位于统一 6 °带投影的 13~23 号带,位于统一 3 °带投影的 24~45 号带,投影带号不重叠,因此, A 点应位于统一 6 °带的 19 号带。
中央子午线的经度为 0 L =6 × 19-3=111 °。
去掉带号与 500km 后的 A y =210154.33m , A 点位于 111 °子午线以东约 210km 。
取地球平均曲率半径 R =6371km ,则 210.154km 对应的经度差约为 (180 × 210.154) ÷ (6371 π )=1.88996 ° =1 ° 53 ′,则 A 点的概略经度为 111 ° +1.88996 ° =112.88996 °。

[ 题 1- 7 ] 天文经纬度的基准是水准面,经纬度的基准是参考椭球面。在原点处,水准面与参考椭球面相切,其天文经纬度分别等于其经纬度。“ 1954 坐标系”的原点在哪里?“ 1980 坐标系”的原点在哪里?
答: “ 1954 坐标系”的原点位于前联普尔科沃天文台中央,“ 1980 坐标系”的原点位于我国省市径阳县永乐镇石际寺村。
[ 题 1- 8 ] 切平面代替水准面对距离和高程各有什么影响?
答: 切平面代替水准面对距离的影响规律见下表。


当距离 D 为 10km 时,所产生的相对误差为 1/120 万,相当于每 km 的误差为 0.83mm 。因此,在 10km 为半径的圆面积之进行距离测量时,可以用切平面代替水准面,而不必考虑地球曲率对距离的影响。
切平面代替水准面对高成的影响规律见下表。

用切平面代替水准面作为高程起算面,对高程的影响是很大的,距离为 200m 时就有 3mm 的高差误差,这是不允许的 。 因此,高程的起算面不能用切平面代替,最好使用水准面,如果测区没有国家高程点时,可以假设通过测区某点的水准面为零高程水准面。
[ 题 1- 9 ] 测量工作的基本原则是什么?
答: 测量工作的原则之一是“从整体到局部,先控制后碎部,从高级到低级”、“前一不工作未做审核不得进行下一步”。
测量控制网应由高级向低级分级布设。如平面三角控制网是按一等、二等、三等、四等、 5 ″、 10 ″和图根网的级别布设,城市导线网是在国家一等、二等、三等或四等控制网下按一级、二级、三级和图根网的级别布设。一等网的精度最高,图根网的精度最低。控制网的等级越高,网点之间的距离就越大、点的密度也越稀、控制的围就越大;控制网的等级越低,网点之间的距离就越小、点的密度也越密、控制的围就越小。控制测量是先布设能控制大围的高级网,再逐级布设次级网加密。
二、水准测量
[ 题 2-1] 何谓视准轴?何谓管水准器轴?水准仪上的圆水准器和管水准器各起什么作用?
答: 视准轴——望远镜物镜中心 ( 或光心 ) 与十字丝中心点的连线。
管水准器轴——管水准器轴圆弧中点的切线。
圆水准器的格值 τ 一般为 8 ′,比较大,圆水准器用于粗略正平仪器。
管水准器的格值 τ 一般为 20 ″,比较小,管水准器用于使望远镜视准轴精确水平。
[ 题 2-2] 水准仪有哪些轴线?各轴线间应满足什么条件?
答: 竖轴 VV ,圆水准器轴 L L” ′ ,视准轴 CC ,管水准器轴 LL ,要求 VV ∥ L L” ′ , CC ∥ LL ,十字丝横丝⊥ VV 。
[ 题 2-3] 何谓视差?产生视差的原因是什么?怎样消除视差?
答: 物像没有准确地成在十字丝分划板上,人眼在目镜端观察的位置不同时,物像相对于十字丝分划板的位置也相应变化。
望远镜照准明亮背景,旋转目镜调焦螺旋,使十字丝十分清晰 ; 照准目标,旋转物镜调焦螺旋,使目标像十分清晰。
[ 题 2-4] 水准测量时为什么要求前、后视距相等?
答: 视准轴 CC 不平行于管水准器轴 LL 的夹角称 i 角,校正水准仪时,很难使 i =0 ,当 i ≠ 0 时,如果使每站水准测量的前后视距相等, i 角对前后尺中丝读数的影响值相同,计算一站观测高差时,后视读数减前视读数可以抵消 i 角的影响,另外,还有地球曲率和大气折光的影响。
[ 题 2-5] 水准测量时,在哪些立尺点处要放置尺垫?哪些点上不能放置尺垫?
答: 转点需要放置尺垫,已知点与临时点上不能放置尺垫。
[ 题 2-6] 何谓高差?何谓视线高程?前视读数和后视读数与高差、视线高程各有什么关系?
答: 高差——过任意两点水准面的垂直距离。
视线高程——水准仪观测某点标尺的中丝读数 + 该点的高程,常用 Hi 表示。
或者后视点高程 + 后视尺读数 = 视线高程。
设后视点 A 高程为 HA ,后视读数为 a ,前视点 B , B 点标尺读数为 b ,则有

[ 题 2-7] 与普通水准仪比较,精密水准仪有何特点?电子水准仪有何特点?
答: 精密水准仪的特点是:① 望远镜的放大倍数大、分辨率高,如规要求 DS1 不小于 38 倍, DS05 不小于 40 倍;② 管水准器分划值为 10 ″ /2mm ,精平精度高;③ 望远镜物镜的有效孔径大,亮度好;④ 望远镜外表材料应采用受温度变化小的铟瓦合金钢,以减小环境温度变化的影响;⑤ 采用平板玻璃测微器读数,读数误差小;⑥ 配备精密水准尺。
电子水准仪的特点是:① 用自动电子读数代替人工读数,不存在读错、记错等问题,没有人为读数误差;② 精度高,多条码 ( 等效为多分划 ) 测量,削弱标尺分划误差,自动多次测量,削弱外界环境变化的影响;③ 速度快、效率高,实现自动记录、检核、处理和存储,可实现水准测量从外业数据采集到最后成果计算的外业一体化;④ 电子水准仪一般是设置有补偿器的自动安平水准仪,当采用普通水准尺时,电子水准仪又可当作普通自动安平水准仪使用。
[ 题 2-8] 用两次变动仪器高法观测一条水准路线,其观测成果标注在图 2-35 中,图中视线上方的数字为第二次仪器高的读数,试计算高差 hAB 。

图 2-35 水准路线测量观测结果
答: 将图 2-35 的结果记入下列表格中,在表格中进行计算并检核计算结果的正确性。
水准测量记录 ( 两次仪器高法 ) 注:括号为计算值

[ 题 2-9] 表 2-4 为一附合水准路线的观测成果,试计算 A , B , C 三点的高程。
表 2-4 图根水准测量的成果处理

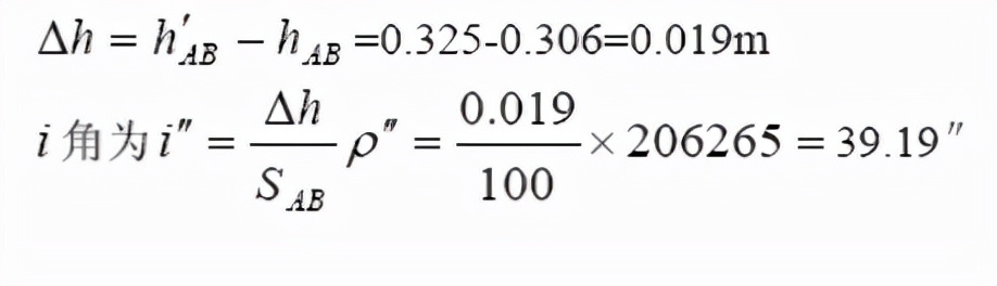
* [ 题 2-10] 在相距 100m 的 A , B 两点的中央安置水准仪,测得高差 hAB =+ 0.306m ,仪器搬到 B 点近旁读得 A 尺读数 = 2 a 1.792m , B 尺读数 2 b =1.467m 。试计算仪器的 i 角。
答: 第二设站观测的高差为 = ′ AB h 1.792-1.467=0.325m ,两次高差之差为

三、角度测量
[ 题 3-1] 什么是水平角?瞄准在同一竖直面上高度不同的点,其水平度盘读数是否相同,为什么?
答: 水平角——过地面任意两方向铅垂面的两面角。
当竖轴 VV 铅垂,竖轴 VV ⊥横轴 HH ,视准轴 CC ⊥横轴 HH 时,瞄准在同一竖直面上高度不同的点,其水平度盘读数是相同的;如果上述轴系关系不满足,则水平度盘读数不相同。
[ 题 3-2] 什么是竖直角?观测竖直角时,为什么只瞄准一个方向即可测得竖直角值?
答: 竖直角——地面方向与水平面的夹角。角度一定是两个方向的夹角,竖直角测量的其中一个方向是水平面方向。
[ 题 3-3] 经纬仪的安置为什么包括对中和整平?
答: 用量角器测量平面上的一个角度时,有两个要求:
1) 量角器平面应与角度所在平面位于同一个平面上, 2) 量角器的中心应对准待量角度的顶点。
经纬仪整平的作用是使水平度盘水平,对中的作用是使水平度盘中心与测站点 ( 水平角的顶点 ) 位于同一铅垂线上。
[ 题 3-4] 经纬仪由哪几个主要部分组成,它们各起什么作用?
答: 经纬仪由基座、水平度盘和照准部三部分组成。
基座——其上安装有竖轴套、水平度盘与照准部,其下有三个脚螺旋,一个圆水准气泡,用于粗平仪器。
水平度盘——圆环形的光学玻璃盘片,盘片边缘刻划并按顺时针注记有 0 ° ~360 °的角度数值。
照准部——水平度盘之上,能绕竖轴旋转的全部部件的总称,包括竖轴、望远镜、横轴、竖盘、管水准器、竖盘指标管水准器和读数装置等。
管水准器用于精确整平仪器;竖盘指标管水准器用于指示竖盘指标铅垂。
[ 题 3-5] 用经纬仪测量水平角时,为什么要用盘左、盘右进行观测?
答: 因为盘左、盘右观测取平均可以消除视准轴误差、横轴误差、照准部偏心误差对水平角的影响。
[ 题 3-6] 用经纬仪测量竖直角时,为什么要用盘左、盘右进行观测?如果只用盘左、或只用盘右观测时应如何计算竖直角?
答: 因为盘左、盘右观测取平均可以消除竖盘指标差 x 的影响。
只用盘左观测竖直角时,设竖盘读数为 L ,则考虑指标差改正的竖直角为 α = 90 ° − L + x 。
只用盘右观测竖直角时,设竖盘读数为 R ,则考虑指标差改正的竖直角为 α = R − 270 ° − x 。
单盘位观测竖直角之前,应观测某个清晰目标一测回,计算出经纬仪的竖盘指标差 x ,再用该 x 改正其后进行的单盘位观测竖直角。
[ 题 3-7] 竖盘指标管水准器的作用是什么?
答:用于指示竖盘指标铅垂。
[ 题 3-8] 整理表 3-6 中测回法观测水平角的记录。
表 3-6 水平角读数观测记录 ( 测回法 )

[ 题 3-9] 整理表 3-7 中方向法观测水平角的记录。


[ 题 3-10] 整理表 3-8 中竖直角观测记录。

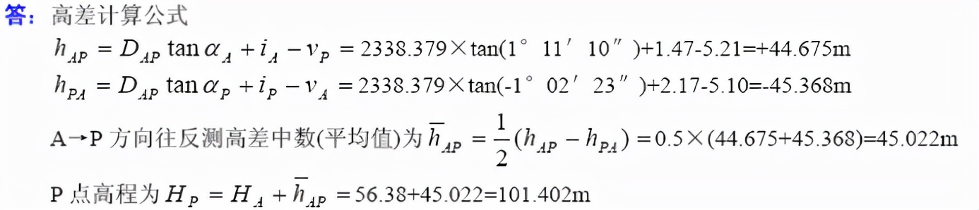
[ 题 3-11] 已知 A 点高程为 56.38m ,现用三角高程测量方法进行直反觇观测,观测数据见表 3-9 ,已知 AP 的水平距离为 2338.379m ,计算 P 点的高程。


[ 题 3-12] 确定图 3-41 所示竖盘结构的竖直角计算公式?


[ 题 3-13] 经纬仪有哪些主要轴线?规规定它们之间应满足哪些条件?
答:主要轴线有竖轴 VV 、横轴 HH 、视准轴 CC 、照准部管水准器轴 LL 、圆水准器轴 L L ′ ′ 。应满足下列关系:

[ 题 3-14] 盘左、盘右观测可以消除水平角观测的那些误差?是否可以消除竖轴 VV 倾斜引起的水平角测量误差?
答:可以消除视准轴误差、横轴误差、照准部偏心误差对水平角的影响,不可以消除竖轴 VV 倾斜引起的水平角测量误差。
[ 题 3-15] 电子经纬仪的测角原理与光学经纬仪的主要区别是什么?
答:电子经纬仪是利用光电转换原理和微处理器自动测量度盘的读数并将测量结果输出到仪器显示窗显示,不需要估读,读数不存在估读误差。
[ 题 3-1 6 ] 与电子经纬仪比较,电子激光经纬仪新增了什么功能?可应用于什么行业?
答:电子激光经纬仪新增加了与望远镜视准轴同轴的可见激光指示视准轴方向,可用于准直测量。准直测量是定出一条标准的直线,作为土建安装、施工放样或轴线投设的基准线。
四、距离测量与直线定向
[ 题 4-1] 直线定线的目的是什么?有哪些方法?如何进行?
答:用钢尺分段丈量直线长度时,使分段点位于待丈量直线上,有目测法与经纬仪法。
目估法——通过人眼目估,使分段点位于直线起点与终点的连线上。
经纬仪法——在直线起点安置经纬仪,照准直线终点,仰或俯望远镜,照准分段点附近,指挥分段点位于视准轴上。
[ 题 4-2] 简述用钢尺在平坦地面量距的步骤。
答:在直线两端点 A , B 竖立标杆,后尺手持钢尺的零端位于 A 点,前尺手持钢尺的末端和一组测钎沿 AB 方向前进,行至一个尺段处停下。后尺手用手势指挥前尺手将钢尺拉在 AB 直线上,后尺手将钢尺的零点对准 A 点,当两人同时将钢尺拉紧后,前尺手在钢尺末端的整尺段长分划处竖直插下一根测钎,量完一个尺段。前、后尺手抬尺前进,当后尺手到达插测钎或划记号处时停住,重复上述操作,量完第二尺段。
后尺手拔起地上的测钎,依次前进,直到量完 AB 直线的最后一段为止。
[ 题 4-3] 钢尺量距会产生哪些误差?
答:① 尺长误差,② 温度误差;③ 钢尺倾斜和垂曲误差;④ 定线误差;⑤ 拉力误差;⑥ 丈量误差。
[ 题 4-4] 衡量距离测量的精度为什么采用相对误差?
答:角度测量误差与角度的大小无关,而距离测量误差中一般含有与距离长度成正比的比例误差,所测距离越长,距离误差就越大,因此只用距离测量的绝对误差不能表示距离测量误差的真实情况。
例如,测量 100m 的距离误差为 5mm ,测量 1000m 的距离误差也为 5mm ,显然,不能认为这两段距离测量的误差相同,用相对误差表示距离测量误差更准确。
前者的相对误差为 0.005/100=1/2 万,后者的相对误差为 0.005/1000=1/20 万,显然,后者的精度比前者要高。
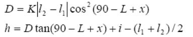
[ 题 4-5] 说明视距测量的方法。
答:在测站安置经纬仪,量取仪器高 i ;盘左望远镜照准碎部点竖立的标尺,读取上丝读数 l 1 ,下丝读数 l 2 ,竖盘读数 L ,依据下列公式计算测站至碎部点的水平距离 D 与高差 h ,式中 x 为竖盘指标差。 )

[ 题 4-6] 直线定向的目的是什么?它与直线定线有何区别?
答:目的——确定地面直线与标准方向的北方向间的水平夹角。
区别——直线定线是用钢尺丈量距离时,使分段丈量点位于待丈量直线上。
[ 题 4-7] 标准北方向有哪几种?它们之间有何关系?
答:标准北方向——真北方向、磁北方向、高斯平面直角坐标系坐标北方向。
磁偏角 δ ——地面任一点的真北方向与磁北方向的水平夹角,磁北方向偏离真北方向以东 δ >0 ,磁北方向偏离真北方向以西 δ <0 。
子午线收敛角 γ ——过地面任一点的坐标北方向与该点真北方向的水平夹角,在北半球,地面点位于高斯平面直角坐标系的中央子午线以东 γ >0 ,地面点位于高斯平面直角坐标系的中央子午线以西 γ <0 。
[ 题 4- 8 ] 用钢尺往、返丈量了一段距离,其平均值为 167.38m ,要求量距的相对误差为 1/3000 ,问往、返丈量这段距离的绝对较差不能超过多少?
答:

[ 题 4- 9 ] 试完成下表的视距测量计算。其中测站高程 H 0= 45.00m ,仪器高 i = 1.52 0 m ,竖盘指标差

* [ 题 4-1 0 ] 测距仪的标称精度是怎么定义的?电磁波测距误差有哪些?如何削弱?
答:测距仪的标称精度一般是以 mm 为单位的固定误差,以 ppm 为单位的比例误差定义的,
ppm=1mm/km 。例如,标称精度为 3mm+2ppm 的测距仪,表示,测量 1km 的距离,含有 3mm 固定误差, 2mm 的比例误差。
五、全站仪及其使用
[ 题 5-1] 全站仪主要由哪些部件组成?
答:全站仪是由电子测角、光电测距、微处理器与机载软件组合而成的智能光电测量仪器,它的基本功能是测量水平角、竖直角和斜距,借助于机载程序,可以组成多种测量功能,如计算并显示平距、高差及镜站点的三维坐标,进行偏心测量、悬高测量、对边测量、后方交会测量、面积计算等。
* [ 题 5-2] 电子补偿器分单轴和双轴,单轴补偿器的功能是什么?
答:单轴补偿的电子补偿器只能测出竖轴倾斜量在视准轴方向的分量,并对竖盘读数进行改正。此时的电子补偿器相当于竖盘指标自动归零补偿器。
[ 题 5-3] 全站仪如何进入参数设置?有何设置容?
答:同时按住键开机,进入“参数”菜单,可以进行单位设置、模式设置与其它设置。
[ 题 5-4] 全站仪有几种测量模式?各有何功能?
答:角度测量、距离测量、坐标测量、菜单、星键等 5 种模式。
[ 题 5- 5 ] GTS-105N 全站仪对边测量的功能是什么?在施工测量中有何用途?
答:对边测量可以计算或测量出所立棱镜点之间的水平距离、斜距、高差与方位角,其中,镜站点的坐标可以测量获得,也可以从坐标文件中调用。
对边测量用于测量起始点 A 至相临目标点之间的平距、高差、斜距与方位角。
施工测量中,用于检查已放样的任意两点之间的水平距离非常方便。
* [ 题 5- 6 ] 按 ( 放样 ) 键,调用一个放样坐标文件后进入放样模式时,应先设置测站点与后视点才可以开始放样测量,当测站点、后视点与放样点分别位于不同坐标文件中时,应如何进行操作?
答:在“放样”界面下,按键进入“放样”界面,执行“选择文件”命令,更改当前文件,完成操作后,再按键返回“放样”界面,设置测站点。
再按键进入“放样”界面,执行“选择文件”命令,更改当前文件,完成操作后,再按键返回“放样”界面,设置后视点。
再按键进入“放样”界面,执行“选择文件”命令,更改当前文件,完成操作后,再按键
返回“放样”界面,设置放样点。
六、测量误差的基本知识
[ 题 6-1] 产生测量误差的原因是什么?
答: 产生测量误差的原因有:仪器误差、观测误差和外界环境的影响。
[ 题 6-2] 测量误差分哪些?各有何特性?在测量工作中如何消除或削弱?
答: 测量误差分偶然误差与系统误差。偶然误差的符号和大小呈偶然性,单个偶然误差没有规律,大量的偶然误差有统计规律;系统误差符号和大小保持不变,或按照一定的规律变化。
多次观测取平均值可以削弱偶然误差的影响,但不能完全消除偶然误差的影响。
测量仪器在使用前进行检验和校正;操作时应严格按规的要求进行;布设平面与高程控制网测量控制点的坐标时,应有一定的多余观测量,可以将系统误差限制到很小的围。
[ 题 6-3] 偶然误差有哪些特性?
答: ①偶然误差有界,或者说在一定观测条件下的有限次观测中,偶然误差的绝对值不会超过一定的限值;② 绝对值较小的误差出现的频率较大,绝对值较大的误差出现的频率较小;③ 绝对值相等的正、负误差出现的频率大致相等;④ 当观测次数 ∞ → n 时,偶然误差的平均值趋近于零。
[ 题 6-4] 对某直线等精度独立丈量了 7 次,观测结果分别为 168.135 , 168.148 , 168.120 , 168.129 , 168.150 , 168.137 , 168.131 ,试计算其算术平均值、每次观测的中误差,应用误差传播定律计算算术平均值中误差。
解: 7 次丈量的平均值为 =168.135m 或 168.136m ,一次丈量的中误差为 =0.011m=11mm 。
算术平均值的中误差为 =

[ 题 6-5] DJ6 级经纬仪一测回方向观测中误差 m0= ± 6 ″,试计算该仪器一测回观测一个水平角的中误差 mA 。
解: 水平角 β 与方向观测值 L 1 , L 2 的观测为 β = L 1 − L 2 ,由误差传播定律得

[ 题 6-6] 已知三角形各角的测量中误差为± 15 ″,容许中误差为中误差的 2 倍,求该三角形闭合差的容许中误差。
解: 设三角形闭合差为 ω = β 1 + β 2 + β 3 − 1800 ,角的中误差为 m ,由误差传播定律得闭合差的中误差为

[ 题 6 -7 ] 如图 6-7 所示,为了求得图中 P 点的高程,从 A , B , C 三个水准点向 P 点进行了同等级的水准测量,高差观测的中误差按式 (6-25) 计算,取单位权中误差 m0 =m km ,试计算 P 点高程的加权平均值及其中误差、单位权中误差。


七、控制测量
[ 题 7-1] 建立平面控制网的方法有哪些?各有何优缺点?
答: 建立平面控制网的方法有三角测量法 ( 含边角测量与交会定点 ) 、导线测量法与 GPS 测量法。
三角测量法——需要观测水平角,不需要测量边长或只需要测量少量的起算边长,光电测距仪没有出现以前普遍使用;每个点观测的方向数比较多,对通视要求高,所以,三角点通常选择在高山上,每个点都需要建立三角觇标,测量人员需要爬山,外业工作比较艰苦。
导线测量法——需要观测水平角与每条边长,不需要测量边长或只需要测量少量的起算边长,光电测距仪没有出现以前,测边的工作量很大。导线布设比较灵活,只需要与前后点通视即可,常用于城市控制网的加密,尤其是在建筑密度比较大的城区测量时经常使用。
GPS 测量法——不要求控制点之间相互通视,只要在没有障碍物遮挡天空卫星的点上安置 GPS ,都可以快速准确地进行卫星数据采集。
[ 题 7-2] 已知 A , B , C 三点的坐标列于下表,试计算边长 AB , AC 的水平距离 D 与坐标方位角α,计算结果填入下表中。

[ 题 7-3] 平面控制网的定位和定向至少需要一些什么起算数据 ?
答: 网至少需要已知一个点的平面坐标,已知一条边长的水平距离与方位角。当平面控制网观测了至少一条边长时,可以不需要已知边长。
[ 题 7-4] 导线的布设形式有哪些?导线测量的外业工作有哪些容?
答: 导线的布设形式有闭合导线、附合导线与支导线。
导线测量外业工作包括:踏勘选点、建立标志、测角与量边。
[ 题 7-5] 在图 7-19 中,已知 AB 的坐标方位角,观测了图中四个水平角,试计算边长 B → 1 , 1 → 2 , 2 → 3 , 3 → 4 的坐标方位角。


[ 题 7-6] 附和导线与闭合导线的计算有哪些不同?
答: 附合导线的角度闭合差为方位角闭合差,而闭合导线有时为多边形角和闭合差;附合导线的坐标增量闭合差是边长推算的端点坐标差减端点的已知坐标增量,而闭合导线的坐标增量闭合差为各边长的 x 或 y 坐标增量之和。
[ 题 7-7] 某闭合导线如图 7-20 所示,已知 B 点的平面坐标和 AB 边的坐标方位角,观测了图中 6 个水平角和 5 条边长,试计算 1 , 2 , 3 , 4 点的平面坐标。

角

[ 题 7-8] 某附合导线如图 7-21 所示,已知 B , C 两点的平面坐标和 AB , CD 边的坐标方位角,观测了图中 5 个水平角和 4 条水平距离,试使用 fx-5800P 程序 PM3-1 计算 1 , 2 , 3 , 4 点的平面坐标。

X 1 (m)=3748.091 Y 1 (m)=2132.244
X 2 (m)=3779.479 Y 2 (m)=2281.100
X 3 (m)=3733.812 Y 3 (m)=2395.007
[ 题 7-9] 计算图下图(a)所示测角后方交会点 P3 的平面坐标。
八、GPS 测量
[题8-1] GPS 有几颗工作卫星?距离地表的平均高度是多少?
答:到1994 年3 月28 日完成第24 颗卫星的发射,其中的工作卫星21 颗,备用卫星3 颗,目前在轨卫星数已超过32 颗。卫星均匀分布在6 个相对于赤道的倾角为55°的近似圆形轨道上,每个轨道上有4 颗卫星运行,它们距地球表面的平均高度约为20200km。
[题8-2] 简要叙述GPS 的定位原理?
答:GPS 采用空间测距交会原理进行定位。
将GPS 接收机安置在P 点,通过接收卫星发射的测距码信号,在接收机时钟的控制下,可以解出测距码从卫星传播到接收机的时间Δt,乘以光速c 并加上卫星时钟与接收机时钟不同步改正就可以计算出卫星至接收机的空间距离ρ~ 。

[题8-3] 卫星广播星历包含什么信息?它的作用是什么?
答:包含有描述卫星运动及其轨道的参数,可以解算出卫星在WGS-84 坐标系中的三维坐标) , (x i、 y i、 z i ),。
[题8-4] 为什么称接收机测得的工作卫星至接收机的距离为伪距?
答:伪距是没有考虑大气电离层和对流层折射误差、星历误差的影响,它不是卫星距接收机的真实距离
。
[题8-4] 测定地面一点在WGS-84 坐标系中的坐标时,GPS 接收机为什么要接收至少4 颗工作卫星的信号?
答:因为伪距观测方程中有4 个未知数。
[题8-5] GPS 由那些部分组成,简要叙述各部分的功能和作用。
答:工作卫星、地面监控系统和用户设备三部分组成。
工作卫星——发射广播星历。
地面监控系统——包括1 个主控站、3 个注入站和5 个监测站。
监测站——对GPS 卫星信号的连续观测,搜集当地的气象数据,观测数据经计算机处理后传送到主控站。
主控站——协调和管理所有地面监控系统;推算编制各卫星的星历、卫星钟差和大气层的修正参数,并将这些数据传送到注入站;提供时间基准并送到注入站;调整偏离轨道的卫星,使之沿预定的轨道运行;启动备用卫星,以替换失效的工作卫星。
注入站——将主控站推算和编制的卫星星历、钟差、导航电文和其它控制指令等,注入到相应卫星的存储器中,并监测注入信息的正确性。
用户设备——GPS 接收机和相应的数据处理软件。
* [题8-6] 载波相位相对定位的单差法和双差法各可以消除什么误差?
答:单差法消除了卫星钟差改正数v T ,双差法可以消除基线端点两台接收机的相对钟差改正数 v t1 - v t2。
[题8-7] 什么是同步观测?什么是卫星高度角?什么是几何图形强度因子DPOP?
答:同步观测——两台或以上GPS 接收机对同一颗卫星进行同步观测。
高度角——卫星与接收机天线的连线相对水平面的夹角称卫星高度角,卫星高度角太小时不能进行观测。
几何图形强度因子——反映一组卫星与测站所构成的几何图形形状与定位精度关系的数值,它的大小与观测卫星高度角的大小以及观测卫星在空间的几何分布有关。
XP(m)=2774.716
YP(m)=5604.213
[ 题8 - 10 ] 计算下图(b)所示前方交会点 P1 的平面坐标。

XP(m)=2797.671 YP(m)=4565.799
[ 题8 -1 1 ] 计算图 (c) 所示侧方交会点 2 P 的平面坐标。
XP(m)=3081.290
YP(m)=2883.243
九、大比例尺地形图的测绘
[ 题9 -1] 地形图比例尺的表示方法有哪些?国家基本比例尺地形图有哪些?何为大、中、小比例尺? 答:

国家基本比例尺地形图—— 1 : 1 万、 1 : 2.5 万、 1 : 5 万、 1 : 10 万、 1 : 25 万、 1 : 50 万、 1 : 100 万。七种比例尺地形图。
大比例尺地形图—— 1 : 5000 、 1 : 2000 、 1 : 1000 、 1 : 500 。
中比例尺地形图—— 1 : 1 万、 1 : 2.5 万、 1 : 5 万、 1 : 10 万。
小比例尺地形图—— 1 : 25 万、 1 : 50 万、 1 : 100 万。
[ 题9 -2] 测绘地形图前,如何选择地形图的比例尺?

[ 题9 -3] 何为比例尺的精度,比例尺的精度与碎部测量的距离精度有何关系?
答: 人的肉眼能分辨的图上最小距离是 0.1mm ,设地形图的比例尺为 1 : M ,则图上 0.1mm 所表示的实地水平距离 0.1 M (mm) 称为比例尺的精度。
测绘地形图的距离测量精度是根据比例尺精度确定的。例如,测绘 1 : 1000 比例尺的地形图时,其比例尺的精度为 0.1m ,故量距的精度只需到 0.1m ,因为小于 0.1m 的距离在图上表示不出来。
[ 题9 -4] 地物符号分为哪些类型?各有何意义?
答: 比例符号、非比例符号和半比例符号。
比例符号——可按测图比例尺缩小,用规定符号画出的地物符号称为比例符号,如房屋、较宽的道路、稻田、花圃、湖泊等。
非比例符号——三角点、导线点、水准点、独立树、路灯、检修井等,其轮廓较小,无法将其形状和大小按照地形图的比例尺绘到图上,则不考虑其实际大小,而是采用规定的符号表示。
半比例符号——带状延伸地物,如小路、通讯线、管道、垣栅等,其长度可按比例缩绘,而宽度无法按比例表示的符号称为半比例符号。
[ 题9 -5] 地形图上表示地貌的主要方法是等高线,等高线、等高距、等高线平距是如何定义的?等高线可以分为哪些类型?如何定义与绘制?
答: 等高线——地面上高程相等的相邻各点连成的闭合曲线。
等高距——地形图上相邻等高线间的高差。
等高线平距——相邻等高线间的水平距离。
首曲线、计曲线和间曲线。
首曲线——按基本等高距测绘的等高线,用 0.15mm 宽的细实线绘制。
计曲线——从零米起算,每隔四条首曲线加粗的一条等高线称为计曲线,用 0.3mm 宽的粗实线绘制。
间曲线——对于坡度很小的局部区域,当用基本等高线不足以反映地貌特征时,可按 1/2 基本等高距加绘一条等高线。间曲线用 0.15mm 宽的长虚线绘制,可不闭合。
[ 题9 -6] 典型地貌有哪些类型?它们的等高线各有何特点?
答:山头和洼地、山脊和山谷、鞍部、陡崖和悬崖。
山头的等高线由外圈向圈高程逐渐增加,洼地的等高线由外圈向圈高程逐渐减小。
山脊线是山体延伸的最高棱线,也称分水线,山脊的等高线均向下坡方向凸出,两侧基本对称。
山谷线是谷底点的连线,也称集水线,山谷的等高线均凸向高处,两侧也基本对称。
相邻两个山头之间呈马鞍形的低凹部分称为鞍部。鞍部是山区道路选线的重要位置。鞍部左右两侧的等高线是近似对称的两组山脊线和两组山谷线。
陡崖是坡度在 70 °以上的陡峭崖壁,有石质和土质之分。如用等高线表示,将是非常密集或重合为一条线,因此采用陡崖符号来表示。
悬崖是上部突出、下部凹进的陡崖。悬崖上部的等高线投影到水平面时,与下部的等高线相交,下部凹进的等高线部分用虚线表示。
[ 题9 -7] 测图前,应对聚酯薄膜图纸的坐标方格网进行哪些检查项目?有何要求?
答:① 将直尺沿方格的对角线方向放置,同一条对角线方向的方格角点应位于同一直线上,偏离不应大于 0.2mm 。
② 检查各个方格的对角线长度,其长度与理论值 141.4mm 之差不应超过 0.2mm 。
③ 图廓对角线长度与理论值之差不应超过 0.3mm 。
[ 题9 -8] 大比例尺地形图的解析测绘方法有哪些?
答:解析测图法又分为量角器配合经纬仪测图法、经纬仪联合光电测距仪测图法、大平板仪测图法和小平板仪与经纬仪联合测图法等。
[ 题9 -9] 试述量角器配合经纬仪测图法在一个测站测绘地形图的工作步骤?
答:测站准备——在图根控制点 A 安置经纬仪,量取仪器高 A i ,用望远镜照准另一图根控制点 B 点的标志,将水平度盘读数配置为 0 °;在经纬仪旁架好小平板,用透明胶带纸将聚酯薄膜图纸固定在图板上,在绘制了坐标方格网的图纸上展绘 A , B , C 等控制点,用直尺和铅笔在图纸上绘出直线 AB 作为量角器的 0 方向线,用大头针插入专用量角器的中心,并将大头针准确地钉入图纸上的 A 点。
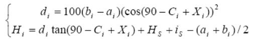
在碎部点 i 竖立标尺,使经纬仪望远镜照准标尺,读出视线方向的水平度盘读数 i
β ,竖盘读数 i C ,上丝读数 i a ,下丝读数 i b ,则测站到碎部点的水平距离 i d 及碎部点高程 i H 的计算公式为视距法碎部测量公式为:

式中, H S 为测站高程, i S 为仪器高, Xi 为经纬仪竖盘指标差。
当以图纸上 A , B 两点的连线为零方向线,转动量角器,使量角器上的 β 1 角位置对准零方向线,在 β 1 角的方向上量取距离 M D 1 ( 式中 M 为地形图比例尺的分母值 ) ,用铅笔点一个小圆点做标记,在小圆点旁注记其高程值 1 H ,即得到碎部点 1 的图上位置。
[ 题9 -10] 下表是量角器配合经纬仪测图法在测站 A 上观测 2 个碎部点的记录,定向点为 B ,仪器高为 = i A 1.5m ,经纬仪竖盘指标差 X =0 ° 12 ′,测站高程为 = H A 4.50m ,试计算碎部点的水平距离和高程。

[ 题9 -11] 根据图 9-18 所示碎部点的平面位置和高程,勾绘等高距为 1m 的等高线,加粗并注记 45m 高程的等高线。
碎部点展点图及等高线的绘制

* [ 题9 - 12 ] 根据图 10-20 的等高线,作 AB 方向的断面图。


* [题9-13] 场地平整围见图10-20 方格网所示,方格网的长宽均为20m,要求按挖填平衡的原则平整为水平场地,试计算挖填平衡的设计高程0 H 及挖填土方量,并在图上绘出挖填平衡的边界线。
解:根据等高线插得到方格网各顶点的高程见题图10-4-1 所示,计算挖填平衡的设计高程

使用Excel 计算挖填土方量的结果见题图10-4-2 所示,其中填方比挖方多12m3,属于计算凑整误差。
绘制直线AB 的纵断面图
挖填平衡土方量计算
* [ 题9 -1 4 ] 图解地图的方法有哪些?各有什么特点?
答: 手扶跟踪数字化和扫描数字化两种。
手扶跟踪数字化是将图解地形图的聚酯薄膜原图固定在数字化仪上,在数字测图软件上完成坐标系校准后,用数字化仪的定位标代替鼠标,在聚酯薄膜原图上描绘地物与地貌,生成数字地形图。这种方法需要数字化仪,一台数字化仪只供一人操作,硬件成本比较高,操作员在数字化仪上的移动围比较大,劳动强度比较大,现已很少使用。
扫描数字化是用扫描仪将图解地形图的聚酯薄膜原图扫描,生成 PCX 或 BMP 格式的图像格式文件,在数字测图软件中执行 AutoCAD 的 Image 命令,将图像格式文件插入当前图形中,在数字化测图软件中校正图像格式文件,然后执行数字化测图软件的绘图命令,操作鼠标描绘地物与地貌,生成数字地形图。这种方法只需要数字测图软件,在普通 PC 机上都可以操作,硬件成本比较低。如果使用专用的扫描数字化软件,还可以实现等高线的自动跟踪。
* [ 题9 - 15 ] 数字测图有哪些的方法?各有什么特点?
答: 有草图法、笔记本电脑电子平板法、 PDA 数字测图法。
草图法——外业使用全站仪测量碎部点三维坐标的同时,领图员手工绘制碎部点构成的地物形状和类型并记录碎部点点号 ( 应与全站仪自动记录的点号一致 ) 。业将全站仪存中的碎部点三维坐标下传到 PC 机的数据文件中,将其转换成 CASS 坐标格式文件并展点,根据野外绘制的草图在 CASS 中绘制地物。
特点:不能实现现场连线,领图员现场手工绘制碎部点并连线的工作量大,返回业后的地形图整理工作量也比较大。
笔记本电脑电子平板法——用数据线将安装了 CASS 的笔记本电脑与测站上安置的全站仪连接起来,全站仪测得的碎部点坐标自动传输到笔记本电脑并展绘在 CASS 绘图区,完成一个地物的碎部点测量工作后,采用与草图法相同的方法现场实时绘制地物。
特点:能实现现场连线,不需要领图员现场手工绘制碎部点草图,但笔记本电脑的电池消耗比较大,一般需要配置 3~5 块电池才能满足一天的测图工作量,笔记本电脑的野外工作环境差,容易损坏。 PDA 数字测图法——用 PDA 代替笔记本电脑工作,解决了笔记本电脑电池的容量问题,但需要购买能安装在 PDA 上的专用数字测图软件,如南方测绘的测图精灵。
十二、建筑施工测量
[题12-1] 施工测量的容是什么?如何确定施工测量的精度?
答:将图纸设计的建筑物、构筑物的平面位置y x, 和高程H ,按照设计的要求,以一定的精度测设到实地上,作为施工的依据,并在施工过程中进行一系列的测量工作。
工业与民用建筑及水工建筑的施工测量依据为《工程测量规》,不同建筑物施工测量的精度是不相同的,金属结构、装配式钢筋混凝土结构、高层与大跨度建筑物的精度要求高,低层与小跨度建筑物的精度要求低。
[题12-2] 施工测量的基本工作是什么?
答:测设水平角、水平距离、高程与坡度。
[题12-3] 水平角测设的方法有哪些?
答:单盘位测设法、正倒镜分中法与多测回修正法。
[题12-4] 试叙述使用水准仪进行坡度测设的方法。
答:从A 点沿AB 方向测设出一条坡度为i 的直线, AB 间的水平距离为D。
在A 点安置水准仪,使一个脚螺旋在AB 方向线上,另两个脚螺旋的连线垂直于AB 方向线,量取水准仪高A i ,用望远镜瞄准B 点上的水准尺,旋转AB 方向上的脚螺旋,使视线倾斜至水准尺读数为仪器高A i为止,此时,仪器视线坡度即为i 。在中间点1,2 处打木桩,在桩顶上立水准尺使其读数均等于仪器高A i ,这样各桩顶的连线就是测设在地面上的设计坡度线。
[题12-5] 试叙述使用全站仪进行坡度测设的方法。
答:从A 点沿AB 方向测设出一条坡度为i 的直线,
(1) 使用南方测绘NTS-310R 全站仪在A 点安置全站仪,按键打开仪器电源,按键进入角度模式,按( )翻页到P2 页软键功能,按( )键将竖盘读数切换为坡度显示,转动望远镜,使垂直角V 的值大约等于坡度值,制动望远镜,旋转望远镜微动螺旋,使垂直角V 的值精确等于设计坡度值,此时,望远镜视准轴的坡度即为设计坡度。
(2) 使用科力达KTS-440R 全站仪
在A 点安置全站仪,按键打开仪器电源,在主菜单下按( ) (键功能设置) (键功
能设置)键,将P1,P2 或P3 页软键功能的某个键设置为,假设是将P3 页软键功能的键由出厂
设置的修改为,则在“测量”模式P3 页软键功能按( )键,将竖盘读数切换为坡度显
示。转动望远镜,使垂直角V 的值大约等于坡度值,制动望远镜,旋转望远镜微动螺旋,使V 的值等于设计坡度值,此时,望远镜视准轴的坡度即为设计坡度。
(3) 使用一光OTS610N 全站仪在A 点安置全站仪,按键打开仪器电源,按键进入“设置”菜单,按(观测条件) (竖角类型)键,按键设置竖角类型为“坡度”,按键退出“设置”菜单,屏幕显示的垂直角单位即为坡度,转动望远镜,使垂直角V 的值大约等于坡度值,制动望远镜,旋转望远镜微动螺旋,使垂直角值等于设计坡度值,此时,望远镜视准轴的坡度即为设计坡度。
(4) 使用拓普康GTS-102N 全站仪
在A 点安置全站仪,按键打开仪器电源,按键进入角度测量模式,按键翻页到P2 页菜单,
按(V%)键将竖盘读数切换为坡度显示转动望远镜,使垂直角V 的值大约等于坡度值,制动望远镜,旋转望远镜微动螺旋,使V 的值等于设计坡度值,此时,望远镜视准轴的坡度即为设计坡度方向。
[题12-6] 建筑轴线控制桩的作用是什么,龙门板的作用是什么?
答:由于基槽开挖会破坏轴线桩,将轴线引测到基槽边线以外位置的方法有轴线控制桩与龙门板。
将轴线引测到基槽边线以外位置的桩位称轴线控制桩,将轴线引测到基槽边线以外位置横置木板称龙门板。龙门板的施工成本较轴线控制桩高,当使用挖掘机开挖基槽时,极易妨碍挖掘机工作,现已很少使用,主要使用轴线控制桩。
* [题12-7] 校正工业厂房柱子时,应注意哪些事项?
答:将两台经纬仪分别安置在柱基纵、横轴线附近,离柱子的距离约为柱高的1.5 倍。瞄准柱子中心线的底部,固定照准部,仰俯柱子中心线顶部。如重合,则柱子在这个方向上已经竖直;如不重合,应调整,直到柱子两侧面的中心线都竖直为止。
由于在纵轴方向上,柱距很小,可以将经纬仪安置在纵轴的一侧,仪器偏离轴线的角度β最好不要超过15°,这样,安置一次仪器,可以校正数根柱子。
[题12-8] 高层建筑轴线投测和高程传递的方法有哪些?
答:高层建筑轴线投测有经纬仪引桩投测法和激光垂准仪投测法两种,经纬仪引桩投测法因受场区地形限制较大,已很少使用。
高程传递的方法有吊钢尺法与全站仪对天顶测距法。
* [题12-9] 管道中线测量的任务是什么?有何工作容?管线纵、横断面图的作用是什么?
答:任务——将设计管道中心线的位置在地面测设出来。
工作容——管线转点桩测设、交点桩测设、线路转折角测量、里程桩和加桩的标定。
纵断面图反映了沿管线中心线的地面高低起伏和坡度陡缓情况,是设计管道埋深、坡度和计算土方量的主要依据。
横断面图用于表示中线两侧的地形起伏和计算管线沟槽开挖的土方量。
* [题12-10] 什么情况下使用顶管施工?如何测设顶管施工中线?
答:当地下管线穿越公路、铁路或其它重要建筑物时,常采用顶管施工法。
先挖好顶管工作坑,然后根据地面的中线桩或中线控制桩,用经纬仪将管道中线引测到坑壁上。然后在两个顶管中线桩上拉一条细线,紧贴细线挂两根垂球线,两垂球的连线方向即为管道中线方向。
[题9-11] 如图12-31 所示, A , B 为已有的平面控制点, E , F 为待测设的建筑物角点,试计算分别在A , B 设站,用极坐标法测设E , F 点的数据(角度算至1″,距离算至1mm,


* [ 题12 -1 2 ] 建筑变形测量的目的是什么?主要包括哪些容?
答: 目的——掌握建筑物施工中及建成后的沉降和位移情况,以便于综合分析,及时采取工程措施,确保建筑物的安全。
建筑变形包括沉降和位移。沉降观测在高程控制网的基础上进行,位移观测在平面控制网的基础上进行。
* [ 题12 - 13 ] 变形测量点分为控制点与观测点,控制点是如何分类的?选设时应符合什么要求?
答: 控制点包括基准点、工作基点以及联系点、检核点、定向点等工作点。
1) 基准点应选设在变形影响围以外便于长期保存的稳定位置。
2) 工作基点应选设在靠近观测目标且便于联测观测点的稳定或相对稳定位置。
3) 对需要单独进行稳定性检查的工作基点或基准点应布设检核点,其点位应根据使用的检核方法成组地选设在稳定位置处。
4) 对需要定向的工作基点或基准点应布设定向点,并应选择稳定且符合照准要求的点位作为定向点。
[ 题9 - 14 ] 编绘竣工总图的目的是什么?有何作用?
答: 目的——检验建筑物的平面位置与高程是否符合设计要求,作为工程验收及营运管理的基本依据。
作用——① 将设计变更的实际情况测绘到竣工总图上;② 将地下管网等隐蔽工程测绘到竣工总图上,为日后的检查和维修工作提供准确的定位;③ 为项目扩建提供原有各建筑物、构筑物、地上和地下各种管线及交通线路的坐标、高程等资料。
* [题12-15] 什么是路线交点?如何确定路线交点?
答:交点——路线的转折点。
纸上定线法——在大比例尺地形图上选定路线方案,确定路线曲线与直线位置,定出交点,计算坐标和转角,拟定平曲线要素,计算路线连续里程,然后将设计的交点位置在实地标定出来。
现场定线法——采用现场直接确定路线交点,测量路线导线或中线,然后据以测绘地形图等以确定路线线位的。主要用于受地形条件限制或地形、方案较简单的路线。
[题12-16] 转点有何作用?如何测设?
答:当两交点间相距较远或不能通视时,为了测设曲线后视定向的需要,应先测设转点。
两交点相互通视——在其中一个交点上安置经纬仪,照准另一个交点,用正倒镜分中法测设转点方向,用测距仪(或全站仪)测设水平距离。也可以在图上先设计好转点的位置,计算出转点的坐标,用全站仪的放样功能放样转点。当为路线地形图为电子地图时,可以在数字测图软件中直接采集转点的坐标并上传到全站仪存中,使用全站仪的放样功能测设转点。
两交点不通视——分两交点间设转点与延长线上设转点两种情形,见图14-3。测设方法是计算横向移动距离e ,调整距离e 并逐渐趋近。
* [题12-17] 某里程桩号为K25+400,说明该桩号的意义。
答:该桩号距离路线起点、沿路线的经历的水平距离为25400m,K 后的数字为整数km 数,+后的数字为m 数。
* [题12-18] 路线纵横断面测量的任务是什么?
答:路线纵断面测量——路线水准测量,是测定中线上各里程桩的地面高程,绘制路线纵断面图,供路线纵坡设计使用。
横断面测量——测定中线各里程桩两侧垂直于中线方向的地面各点距离和高程,绘制横断面图,供路线工程设计、计算土石方量及施工时放边桩使用。
* [题12-19] 横断面测量有哪些方法?各适用于什么情况?
答:高速公路、一级公路应采用水准仪—皮尺法、横断面仪法、全站仪法或经纬仪视距法,二级及二级以下公路可采用手水准皮尺法。
[题12-20] 直线、圆曲线的横断面方向如何确定?
答:采用方向架法测设直线或圆曲线的横断面方向。