权威榜单入心中
健康科普人人晓!
想知道更多健康知识?
一起来看
第213期湖北省健康类微信影响力排行榜
↓↓
重磅
湖北省健康类
微信影响力排行榜
由 湖北省卫生健康委员会 发布, 中山大学公共卫生学院 、 南方医科大学卫生政策与医院管理研究所 权威顶级数据分析专家提供学术支持的湖北省卫生健康系统微信影响力指数排行榜今日推出 第213期 , 本排行榜将以 每周1期 的频率进行更新,欢迎大家关注!本次榜单统计的样本量为湖北省卫生健康系统成员微信公众号共330个,统计时段为2022年9月5日至2022年9月11日发布的推文,统计截至2022年9月16日0时。

总榜 本周总榜有起有伏,勇争榜首之位! “健康湖北 ”依然称霸榜首!葡萄,酸甜味美,营养丰富,素有“水晶明珠”之美称。但是,你知道怎么正确清洗葡萄吗?速看!→→ 清洗葡萄,这个动作不要做!解锁正确方式→ “ 湖北省疾病预防控制中心 ”一如既往地勤奋,本周重回二甲!为早期及时发现隐匿在社区的新冠病毒感染者,需要连续开展多轮的核酸检测。湖北省疾控中心提醒:公众在核酸采样过程中要做好个人防护,避免发生交叉感染。→→ 核酸检测时要做好个人防护 “ 鄂州疾控 ”排名稍有下降,但风头不减~中秋节将至,各地即将迎来人员旅游出行和探亲访友的高峰期,疫情防控形势尤为严峻。为让全市人民都能欢乐祥和地过好节日,鄂州市疾控中心向全体市民发出健康提醒→→ 中秋将至,鄂州疾控发布重要提醒

政务类周榜 本周政务榜健康指数飞跃,各有亮点!! “健康湖北 ”坚守阵地,坐稳榜首,始终走在健康科普前线!手指甲上的月牙大小和多少,能代表身体的健康状态吗?真相是什么? 一篇好文为你解答→→ 指甲上的月牙少,身体就不好? “ 湖北省疾病预防控制中心 ”势如破竹,拿下第二!目前在我省武汉、孝感、黄冈等地发生的这轮新冠疫情,大部分感染者是由奥密克戎BA.2.76变异株感染引起。湖北疾控专家带你了解奥密克戎BA.2.76变异株,做到不恐慌,不害怕,科学应对,精准防控。→→ 关于奥密克戎BA.2.76变异株,这些你应该了解 “ 鄂州疾控 ” 本周稍有下滑,仅拿到第三!近期,国内疫情呈多点散发、局部暴发态势,我市也接连发生两起输入性疫情。中秋、国庆两节将至,市疾控中心提醒广大市民群众注意科学佩戴口罩,做好个人防护,安全健康过节→→ 鄂州疾控“两节”防疫提醒|科学戴口罩,保护你我他

医院类周榜
本周医院榜亮点不断,各展风采~“ 武汉大学人民医院 ”以绝胜之姿坐稳榜首!原本已出现大小便*禁失**和不全截瘫、对生活丧失希望的患者,在接受手术后可单独站立及短距离步行,小便可控、大便恢复正常,基本恢复生活自理能力。速看→→ 是什么,让截瘫的她,重新“站起来”? “ 华中科技大学同济医院 ”强力冲击第二!它为我们带来了最新的健康资讯:仿佛一夜之间,身边的小伙伴都开始讨论脱发问题,脱发不再是中年人、老年人的专利,它离年轻人也并不遥远。很多人都惊觉:OMG,我怎么快秃了?→→OMG,我怎么都快秃了?“ 宜都市妇幼保健院 ”冲击榜单,夺得三甲席位!熟悉的人,熟悉的物,都是老医院发展的见证者。如今,即使满怀依恋与不舍,我们也要郑重地和你说一声:再见,清江大道35号!→→ 你好新院,再见清江大道35号--宜都市妇幼保健院搬迁至宜华大道100号(万达广场旁)

下期榜单将在下周重磅公布,更多精彩,敬请期待!
榜单解读
1、平台权威

湖北省卫生健康系统是以系统发展为目标,不断提高卫生健康系统内新媒体运维水平,通过发布排行榜推动全省卫生健康系统建设!推动卫生健康事业健康发展!
2、数据来源可靠

榜单数据来自湖北省卫生健康系统,共330个已授权公众号,范围涵盖了政务类、医院类、个人类等近10类公众号。保证了数据的丰富性、全面性。
3、学术支持权威

数据团队由中山大学公共卫生学院、南方医科大学卫生政策与医院管理研究所的国内外顶级专家学者组成,运用最前沿的数据分析技术,全方位打造微信健康类排行榜。
数据团队在考虑各维度数据后,通过一系列复杂严谨的公式推导出的具体指数,健康榜WCI较其他指标而言更能权威地反映微信公众号的整体传播力和影响力。
4、测算方式实时更新,结果精准

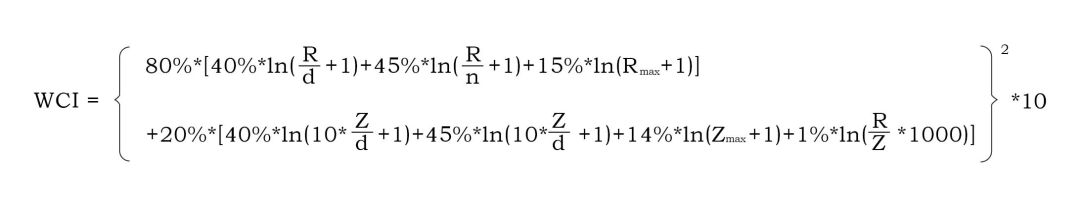
排行榜WCI公式解读
健康榜指数 参照清博WCI(微信传播指数),在传播指数的基础上,更有针对性地考虑健康类公众号的指标权重,将指标分为一级指标和二级指标,重点考量发布内容的健康性、阅读量和点贊量,同时依据公众号“周发布文章频率”对WCI进行权重调整,以更好反映健康类微信公众号的传播能力。
1 当阅读数>1000时:

2 当阅读数≤1000时:

3 指标解析
其中, R 为评估时间段内所有文章(n)的 阅读总数 ; Z 为评估时间段内所有文章(n)的 点贊总数 ; d 为评估时间段所含 天数 (一般周取7天,月度取30天,年度取365天,其他自定义时间段以真实天数计算); n 为评估时间段内账号 所发文章数 ; Rmax 和 Zmax 为评估时间段内账号所发文章的 最高阅读数 和 最高点赞数 。
4 权重
根据各种指标的权重,我们可以计算出二级指标在总体指标中的权重,更直观地看出 影响WCI数值大小的直接影响因素 。如图所示:

疫情尚未结束,防疫不可松懈

来源:湖北省卫生健康宣教中心