目标效果
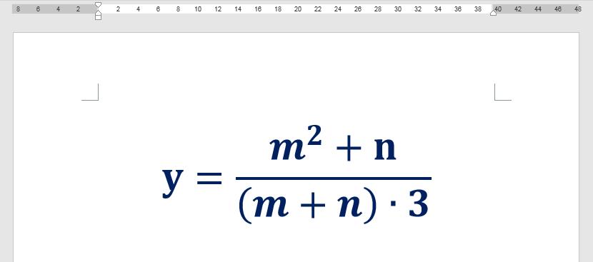
在Word文档中插入下图中的公式,该公式涉及到分数、上下标以及方括号和加重号等符号的输入。

操作步骤
1、将光标定位在文档中要输入公式的地方,在"插入"选项卡"符号"功能组中单击"公式"按钮,此时,文档中出现一个公式编辑框。


2、单击公式编辑框,将输入法切换到英文状态,输入公式的前半部分"y="。接着单击"公式工具""设计"选项卡"结构"功能组中的"分数"按钮,在下拉列表中选择第一行的第一种分数样式。


3、将光标定位在分子编辑框中,单击"公式工具""设计"选项卡"结构"功能组中的"上下标"按钮,在下拉列表中选择第一行的第一种样式。


4、单击选中分子部分的下标编辑框,输入"m";单击选中上标编辑框,输入"2"。

5、按键盘上的右方向键,将光标移出上标区域,继续输入"+n"。

6、单击选中分母编辑框,单击"公式工具""设计"选项卡"结构"功能组中的"括号"按钮,在下拉列表中选择第一行的第一种样式,在分母中插入一对方括号。


7、选中方括号内的编辑框,输入"m+n",按键盘上的右方向键,将光标移至右方括号之后。

8、单击"公式工具""设计"选项卡"符号"功能组中的符号" • ",接着在符号" • "后输入"3",至此完成了整个公式的输入。

