1 光伏组件屋顶排布和前后间距计算
依据《光伏发电站设计规范》的规定,光伏方阵应保证冬至日9:00~15:00时间段内前、后、左、右均不受周围建筑、树木等物遮挡。对于户用分布式光伏系统建筑屋顶结构比较复杂多样化,除了综合考虑当地纬度,太阳高度角,方位角外,还应从客户要求、发电量、组件抗风性及美观性上考虑,不同屋顶结构样式一般会一案一设。
本项目对***KW光伏发电系统进行屋顶排布设计,光伏系统采用280Wp的单晶硅太阳能电池组件***块,以**路方式并联接入逆变器,每路由**块太阳能电池组件进行串联。

图1 光伏组件布置示意图
本项目光伏方阵支架采用固定式安装,根据当地气象资料计算全年光伏方阵支架安装倾角按**° 设计发电量最佳。依据《光伏发电站设计规范》的规定,为避免南部的光伏方阵对北部光伏方阵造成遮阴,应保证冬至日9:00~15:00时间段内前、后、左、右互不遮挡,阵列前后间距计算方法如下:
若前方的光伏阵列高度(遮挡物高度)为H,H可以实际测量出来;保持冬至日9:00~15:00(当地真太阳时)不遮挡时的前后间距为D,可以用H进行计算,计算方法如下:
太阳高度角 sinα=sinφsinδ+cosφcosδcosω ;
太阳方位角 cosγ=(sinαsinφ-sinδ)/ (cosαcosφ )
阵列不遮挡间距 D=Hcosγ/tanα
式中:φ 为当地纬度;
δ为太阳赤纬,冬至日的太阳赤纬为-23.445度;
ω为时角,上午9:00的时角为-45度,下午15:00的时角为45度。

图2 光伏阵列间距示意图
本项目经计算,固定支架倾角光伏方阵前后排间距为****米。
2 光伏支架安装设计
光伏支架安装朝向不同的方位、以及安装倾角具有不同的发电效率,但与建筑结合的光伏系统要根据建筑所在位置具体分析。方位角是指垂直照射到方阵表面上的光线在水平地面上的投影与当地子午线间的夹角,一般正南方向定为零点,且一般的光伏方阵取±10度方位以达到最佳发电效率。
平屋顶安装方式,首先将混凝土预制块搁置在屋面,然后安装支架及光伏板,该安装方案对屋面几乎无影响。安装效果图如下:

图3 光伏支架配重块示意图

图4 光伏支架安装示意图

图5 光伏组件安装示意图

图6 光伏组件安装示意图
3 光伏组件串联设计
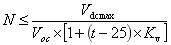
在本项目中,选用280Wp高效单晶硅光伏组件,在计算组件串联数量时,必须根据组件的工作电压和逆变器直流输入电压范围,同时需要考虑组件的开路和工作电压温度系数,为了保证系统安全可靠的运行,根据建设地的气象资料,项目所在地的年极端最低气温在-20.1℃;年极端最高气温在41.4℃,考虑光伏组件工作发电时温度会上升,光伏系统应当在-20℃~+70℃的情况下正常工作。
根据组件和逆变器选型得知,本系统逆变器最高电压为550V, MPPT最大电压为500V,MPPT最小电压为175V,单晶硅组件的开路电压为38.65V,工作电压为31.04V,组件开路电压温度系数为-0.40%/℃;组件工作电压温度系数为-0.33%/℃。


式中: N —光伏组件的串联数(取整数)
kv —光伏组件的开路电压温度系数
kv'—光伏组件的工作电压温度系数
t—光伏组件工作条件下的极限低温(℃)
t'—光伏组件工作条件下的极限高温(℃)
v dcmax—逆变器允许的最大直流输入电压(V)
v mpptmax—逆变器MPPT电压最大值(V)
v mpptmin—逆变器MPPT电压最小值(V)
v oc—光伏组件的开路电压(V)
v pm—光伏组件的工作电压(V)
经过计算,本项目组件串联数量在***** 块内串联比较合理。

图7 组件串线示意图