手机进电梯后信号会陡然下降这是因为金属电梯形成了法拉第笼那么用铝箔纸能不能也实现信号屏蔽呢

Q1
高压输电的原理是什么?为什么高压输电能减少电能的损耗?
by 胡同学
答:
电力输送中的损耗主要来自于焦耳热,高压输电就是为了减小电力网络中的电流,进而减小电线发热,降低损耗。我们简单地解释一下。
众所周知,焦耳热来自于电阻,满足Q=I^2Rt ,注意,这里有一个中考知识点,这是焦耳热的定义式,其他使用了欧姆定律的变式是建立在纯电阻电路的基础上的,使用时要注意使用范围。观察这个式子,不难看出,想要降低焦耳热,要么降低输电线电阻,要么降低输电线中的电流。电阻就不必多说了。对于电流,我们知道输电线路中输入端的功率是一定的,这取决于发电厂的发电功率。由P=UI 可知,只要提升输电线路两端的电压差,就可以降低输电线路中的电流,因此高压输电就顺理成章了。
不过提升电路中的电压也会面临一些问题,最常见的像电力设施的绝缘性问题、辐射问题、安全问题等等,因此,高压输电线路往往建设在人迹罕至的野外,并利用电塔架空,以保证安全。
by 霜白
Q.E.D.
Q2
为什么铁块是银白色而铁粉是黑色的
by 闵小戴
答:
首先,铁块表面的高反射率来源于其较为良好的电导,由于欧姆效应,电磁波在导体中传播时存在衰减,只能穿透表面很浅的距离,这个距离也被称为穿透深度。对于单质铁,可见光波段的穿透深度远小于波长,这也就意味着电磁波的能量几乎完全不被耗散地反射回去,从而表面光滑的铁块呈现银白色的金属光泽。
然而,粒径较小的铁粉,例如实验室常用的粒径约为1~100μm的还原性铁粉,在可见光下常常呈现深灰色或黑色,这有三方面的原因:
首先,铁粉没有光滑的表面,可见光照射在铁粉上发生漫反射,因而没有闪亮的金属光泽;其次,铁粉具有更高的反应活性,其表面通常附着有成分复杂的氧化层,深色的氧化层对可见光有较强的吸收率;最后,铁粉具有较大的表面积和疏松的堆积结构,使得射入的光线通常要反射多次才能射出,进一步降低了反射率。
正是以上三点的综合作用使得铁粉呈现深色。
by 乐在心中
Q.E.D.
Q3
铝箔纸全部包住手机能隔绝信号吗?
by 匿名
答:
这是一个很好的电动力学问题。电磁波照射到金属表面,一部分被反射,一部分能够透射进入金属内部,产生吸收。
我们先来看看透射的部分。大多数金属对进入金属内部的电磁波都有比较好的吸收作用。对于静电场,这种作用表现为高中学过的静电屏蔽;对于电磁波,也就是变化的电磁场,这种作用可让金属在比较短的距离 内使电磁波的强度衰减为原来的1/e(约37%)。这个长度 被称为电磁波对金属的穿透深度。

其中,f是电磁波频率,手机5G信号在2.5GHz左右,μ是材料磁导率,σ 是材料电导率。将铝的相关数值带入上面的公式,计算得到的穿透深度约1.6μm,而一般的铝箔纸厚度有大约50μm。也就是说,铝箔纸有大约30个穿透深度厚,这可以使电磁波衰减到原来的大约10^-13。
此外,在电磁波进入铝箔之前,已经有相当一部分被反射掉了。电磁波垂直入射到金属表面,反射率是 ,对铝而言,反射率

只有万分之二的电磁波能够进入铝内部。斜入射的情况相对比较复杂,但是不会有量级上的差距,我们在这里不再展开。
综合考虑反射和吸收,使用家用铝箔纸包裹手机,可以使手机接收到的电磁波变弱17到18个量级。但是手机本身工作的信号强度范围仅仅可以横跨7个量级。因此,铝箔纸包裹手机理论上可以屏蔽手机信号——当然,这个实验是很容易在家庭中进行的。感兴趣的朋友不妨来实(dǎ)验(liǎn)一下。

最后,希望这个问题提出的本意只是探究,而不是担心手机辐射——毕竟真的没什么好担心的。
参考资料:
[1]搞清楚基站和手机的辐射到底有多大?
by 藏痴
Q.E.D.
Q4
为什么不近视的人戴上近*眼镜视**会感觉物体变小了呢?
by 东方朔
答:
近*眼镜视**本来就是“缩小”镜啊。
近*眼镜视**嘛,是用于矫正近视的机械。而近视,是屈光不正的一种。人眼晶状体对进入眼球的光线具有折射能力,这就是屈光,折射后的光线汇聚于焦点,焦点正落在视网膜上才能得到清晰的像。但如果由于年老、疾病等因素,使得焦点落在视网膜前或视网膜后,就会得到模糊的像,这就是屈光不正。其中焦点落在视网膜前的就是近视,落在视网膜后的就是远视。想要矫正近视,就要使成像向后移,落在视网膜上,这就是近视眼睛的原理。
简单的几何光学告诉我们,凹透镜对光线具有发散作用,经过发散后的光线再经过晶状体后,就可以让近视眼原本落在视网膜前的焦点向后移,通过调节凹透镜的焦距可以使焦点刚好落到视网膜上,这样就达到了矫正视力的目的。因此,我们用凹透镜来制作近*眼镜视**。
由于凹透镜可以对光线的发散作用,它的焦距是负值,也就是焦点在物体一侧,因此,透过凹透镜观察物体,会在透镜物体一侧观察到一个缩小的虚像,如下图所示:

凹透镜成像光路图,蓝色的是物体,红色的是像
反过来,用于矫正远视眼的老花镜,其实是个放大镜,透过它观察近处物体(一倍焦距以内),可以观察到一个放大的正立的虚像,不过如果是观察远处的物体,也有可能会得到倒立的缩小的实像,大家不妨试试。
by 霜白
Q.E.D.
Q5
为什么眼镜上有了水汽看光源都会是一圈一圈的?
by Sirius 筱
答:
我推测应该是光在水汽中发生多次折射反射后形成的。其实就是彩虹。

图源自网络
我想大概是类似这种效果吧。
这个现象的原理类似于彩虹,有关彩虹的原理之前的文章介绍得已经比较充分了,大体就是阳光在小水滴中经过两次折射、一次反射出射后形成一个圆形条带,这里我们就不再赘述了,感兴趣的同学可以查看之前的文章。
在本道题目中,水汽布满整个镜面,来自光源的光入射后,同样会在其中经历两次折射和一次反射,最终从不同的小水滴出射的光线形成一个围绕光源的圆圈,这与彩虹其实也是一样的,实际上完整的彩虹也是一个整圆。
下一个问题是,为什么是彩色的,其实这与彩虹也是一样的,由于各单色光在水中的折射率是不同的,因此各单色光在经过水滴的折射时折射角是不同的,经过的路径是不同的,因此最终出现这样的彩色分布。当然,对于灯光这种人造光源来看,它也可以反映出光源的颜色组成。
by 霜白
Q.E.D.
Q6
火是什么物态?
by zinero114514
答:
其实我们凭借对于固液气态的直觉就可以判断出火并不是固态以及液态。那么火最可能的物态形式就是气态。然而,一定有很多读者看到过“火是等离子态”这种说法。下面就让我们把重点放在这个问题上:火究竟是气态还是等离子态?

图1 四种常见物态的温度相对关系 | 图片源自[4]
之所以可能混淆,因为气态和等离子态确实有很多共性,比如:形状和体积不固定,会依着容器而改变等。然而两者也有着根本上的不同:(1)组成:气体基本是由中性的分子组成的,而等离子体是由正负离子(包括电子、质子等)及中性分子共同组成的。(2)电导率:气体电导率很低,而等离子体电导率很高。(3)速度分布:气体的粒子碰撞频繁,速度分布基本满足麦克斯韦-玻尔兹曼分布,速度极高的粒子很少,而等离子体的碰撞并不频繁,会有一定比例极高速的粒子。(4)相互作用:气体间作用主要是两粒子碰撞,而等离子体可以通过电磁力的长程作用集体互动,产生波及其他有组织的运动。

那么,气态如何才能过渡到等离子态呢?一般需要超过3×10^6 V/m的电场强度或几千摄氏度以上的高温,因为只有在这样极端的条件下气体分子才会部分或全部失去电子形成正负离子。对于空气而言,在标准大气压下需要加热到约1.4万摄氏度才能转变为等离子态。然而,我们常见的火焰温度如下表所示:

可见,多数火焰的温度距离使得空气分子变为等离子态还有很明显的距离。因此,我们所看到的多数火焰就是在发生剧烈的燃烧反应的气体。气体间或者气体与木柴等固体可燃物的分子间发生碰撞而反应。该反应本身是放热的,这些热量又会加速其他气体分子,从而继续发生碰撞,这正是在燃烧时火焰中发生的事情。同时,火焰会发出一定颜色的光,这取决于燃烧介质的组成,也与温度有关。

当然,这并不意味着火焰中不可能存在等离子态,某些高温火焰可能带有微量极低电离度的等离子体。
参考资料:
[1]焰 - 维基百科
[2]火是等离子体吗?
[3]等离子体 - 维基百科
[4]等离子体 - 《中国大百科全书》第三版网络版
[5]麦克斯韦-玻尔兹曼分布 - 维基百科
by 云开叶落
Q.E.D.
Q7
如果空气中是纯氧没有其他杂质会怎么样?
by 思思
答:
山林中清新的空气(氧含量略高)往往让人更加心旷神怡。氧气在生态系统中扮演着至关重要的角色,生物演化史上,氧气浓度的升高具有重要意义。一方面,其促进形成了能有效阻挡紫外线的臭氧层,一方面,其促发了有氧呼吸的出现大幅提高了生物获取能量的效率[1]。也让我们不禁想,氧气浓度是不是越高越好呢?乃至把空气换成纯氧行不行呢?
如果我们假定,地球的空气一下子以等体积的方式换成了纯氧。实际上这并不是一件美妙的事情。氧气的分子量将导致气压升高,将带来肺部不适甚至危险;氧气浓度变高之后还将导致动物的新陈代谢加快从而加速衰老;长时间在过高的氧气浓度实际上会导致动物的氧中毒现象,因为氧气实际上是一种氧化剂,体内要有足够水平的还原剂与之相匹配。也即,人类若不立即采取紧急措施,将无法存活。此外,植物没有了二氧化碳,将无法进行光合作用从而无法继续生长,只能在呼吸作用和光合作用之间维持平衡从而不能再为整个生态系统提供能量。此外,氮循环也是生态系统重要一环,没有了氮气同样会导致可怕的后果。当然,厌氧生物也会表示非常不乐意。更麻烦的是,由于氧气是助燃剂,高氧气浓度将导致山火极易发生,可能几次打雷就导致全球的森林毁于大火。

不同生物地球化学模型估计的显生宙大气含氧量变化|图源自文献[2]
也许这样的假定不甚合理,怎么能突然替换呢,能不能以适应生态系统的方式慢慢替换呢?实际上,地球生态演化史上确实有过两次“大氧化事件”,指氧气含量占比在短期内剧烈升高,被认为在环境因素上促进了生物的演化。值得注意的是石炭纪时期,氧气含量达到了历史的顶峰,有35%之高[2],此时的生态非常有趣,比如存在各种巨型昆虫。

石炭纪巨型蜻蜓,翼展能接近1米|图源网络
虽然大氧化事件的起因尚有争议,但是有理由认为,高氧气浓度促进了这种巨型昆虫的出现,也让我们不禁想如果当今世界的氧浓度增高,会不会也导致巨型生物的出现哈哈哈。但是也正因为氧气浓度高,使得这些巨型昆虫灭绝于一场大火之中。唉!
大体看来,把空气换为纯氧有些疯狂。如果只是提高氧气浓度几个百分点,尚且可以接受,但是对生态系统的影响仍然将十分巨大而需要仔细评估噢。
参考资料:
[1]罗根明,朱祥坤,王水炯,张世红,焦超群.元古宙早期大氧化事件的成因机制与气候生态效应[J].中国科学:地球科学,2022,52(09):1665-1693.
[2]宗普,薛进庄.地质历史时期大气氧含量与生物多样性的协同演变[J].生物学通报,2015,50(04):1-5.
by 小范
Q.E.D.
Q8
请问像刘慈欣《镜子》里的那样,如果模拟两个完全相同的宇宙起点,结果真的会一样吗?
答:
不一定一样,量子力学的不确定性原理使得一切演化过程都变得随机,只能用概率分布来描述。这点我们科普过很多次了,强烈推荐我们这周二发的介绍贝尔不等式的文章[1],里面用通俗的语言介绍了科学家们是如何用实验检验了量子力学不存在局域隐变量,并说明了它是真随机,而不是变量过于复杂导致的伪随机。
我们这里再介绍个诺顿穹顶的模型,它表明即使是在经典物理的框架下,完全相同的初始条件也不一定能推出一样的结果。

一个从诺顿穹顶上滚下的小球 | 图源[2]
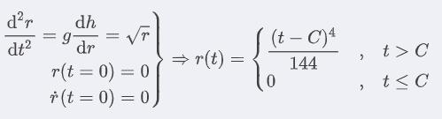
2003年,诺顿设想了这么一个神奇的曲面,让一个球从它的顶部下落,它的下落高度h与下落路程r有关系

现在我们把小球静止地放在穹顶上,根据牛顿第二定律和静止的初始条件:

你会发现解出来的演化方程居然多了一个无法确定的常数C,也就是说,这个小球会在t=C时刻下落,但我们没有任何办法确定究竟是哪个时刻下落。这件事还可以反过来想,一个球从下方沿着穹顶向上滚,等它来到穹顶时刚好能稳稳地停住,并静止无限长的时间。顺着这个思路再反回来想,球在穹顶从静止变成下落的时刻是无法确定的。
其实归根结底,这是因为牛顿运动定律对应数学上的二阶微分方程,我们一般认为它加上初位置和初速度两个初始条件就可以确定一个唯一解。但严格来说,这要求微分方程满足Lipschitz条件,它是一个对函数光滑性更严格的条件,而诺顿构造的这个穹顶正好不满足这个条件。
参考资料:
[1]想弄清楚爱因斯坦都搞错的诺奖理论?抓紧来一场量子赌博!
[2]John D. Norton. The Dome
by 牧羊
Q.E.D.
# 本期答题团队
霜白、乐在心中、藏痴、云开叶落、小范、牧羊

编辑:牧羊