我承认,这是一个晦涩的题目。
白马非马的故事见《公孙龙子·白马论》, 是一个著名的哲学命题。故事来自于先秦诸子百家中的名家,其代表人物公孙龙子有这样一个悖论:白马有颜色(白)和外形(马)两种特征,而马只有外形一种特征,所以白马描述的范畴不同于马所描述的范畴,故而白马和马不是同一个事物。在我们现代人看来,这个故事显然是古人在和我们开诡辩的玩笑,混淆了词语的范畴,当然这也是名家做为诸子百家中诡辩家的老本行。公孙龙子老先生还有不少外国同行,比如古希腊的芝诺,他的悖论——飞矢不动,阿基里斯永远追不上乌龟——实际上混淆了有限与无限的概念。如是的哲学命题都是我们今天训练思维的好材料。但是偶尔拿出来仔细想想,其实又总会发现我们这些看似聪明的现代人,也并不比我们的祖先进步了多少,有时反而更加不如了。
就拿白马非马的故事来说吧。现代量子多体物理学有两个基本的支柱,一是朗道费米液体理论,二是朗道—金兹伯格—威尔逊对称性破缺理论。前者是对于自然界中大量存在的金属导体,即由电子形成的液体的十分有用和准确的描述;后者是相变与临界现象和物质分类理论的基本框架。笔者在之前的文章中多次提到过后者[1,2],今天我们来聊聊前者。
朗道费米液体理论描述了金属的基本性质。这个理论中有费米和朗道两个名字。其中的费米主要是指金属导体中存在的费米面这样一个概念。如图1(a)所示,在动量空间的布里渊区内,电子从能带的带底填充到可以占据的最高的动量,这些动量构成了一个封闭曲面,是为费米面(Fermi surface,在空间维度D=2 的时候,曲面就是一个封闭曲线)。自然界的金属如金、银、铜、铁、锡还有各种合金,这样的块材中纵然存在阿伏伽德罗常数(Avogadro constant ~ 1023)量级的电子,其中真正决定金属物理性质的电子,如其电学、热学、磁学响应等性质,其实只存在于动量空间中的费米面附近,如图1(b)所示的kF附近能量范围Δϵ~T 之内的电子。这样就有了费米面、费米能(ϵF)、费米动量(kF)等等用F (Fermi) 为下标的物理量。接着朗道就出场了,他说就算是ϵF附近仍然有数量巨大的电子,而且电子之间还存着彼此影响的多体库伦相互作用,乍一看仍然难以处理,但其实这样相互作用的结果,不过就是把这些无穷多的电子的个体性质重整化了一下:比如电子原本的质量是m,重整化之后变成了m* (如在金属3He 里面,m*~ 3m ),即图1(c)中所示重整化后费米面上电子质量得到修正m/m* < 1;电子原本的磁距是g,重整化之后变成了g* (如在金属3He 里面,g* ~ 2g);无相互作用的电子原本的谱函数为δ-函数,电子的寿命(life time τ)为谱函数的半高宽的倒数,所以无穷尖锐的δ-函数具有无穷小的半高宽,也就意味着电子的寿命无穷长。重整化之后的谱函数具有有限的峰宽,故其寿命亦为有限长,只是当能量接近费米能ω→ϵF的时候,峰宽越来越窄,并且变窄的速度快于能量接近ϵF的速度,所以费米面附近电子的寿命在有效的意义上仍然是无穷长。

图1 (a)无相互作用晶格模型中的费米面。此处以正方晶格最近邻跃迁的情况为例,展示其在动量空间中的形状。不同的蓝线对应于不同的能带填充,即不同大小的费米面。粗蓝线为电子填充数为半满(n=1)的情况,粗蓝线之内为电子填充数小于半满(n<1)的情况,粗蓝线之外为电子填充数大于半满(n>1)的情况。Γ =(0,0),X=(π,0)和M=(π,π)是动量空间中的高对称点。(b)无相互作用费米子的占据函数,横轴为动量k,纵轴为粒子数密度nk。费米动量kF之下的态都被占据nk=1,费米动量之上的态都不被占据nk=0。由于热涨落的存在,费米面附近能量范围Δϵ~T之内的电子可以从占据态激发到非占据态。(c)相互作用时的费米子占据函数,相互作用的能量范围可以接近甚至超过费米能。在朗道费米液体理论的框架之下,相互作用的效果是把电子的性质进行了重整化,费米面上的电子质量从无相互作用时的m变成了有相互作用时的m*。
朗道告诉我们,这些具有质量m*,磁距g*,谱函数是有限展宽(life time τ为有限值)的电子,其实应该被称为准粒子(quasiparticle),朗道费米液体的核心就是准粒子在其质量、磁距、寿命被重整化之后,仍然可以像没有感受到相互的自由电子一样运行。这么一来,人们就可以用处理量子力学单体问题的方法来处理具有阿伏伽德罗常数多个电子的金属,得到对其基本性质的理解。比如朗道费米液体理论就成功解释了为什么在低温下,金属的电阻满足ρ~T2的关系;金属的静态磁化率χ~N(ϵF) 是一个和温度无关但是和费米面上态密度有关的常数;金属的比热满足C~T 的关系等等性质。这些性质在很多金属材料的实验中都等到了证实,更让人深信朗道费米液体理论的正确性和权威性。
我们后人回望先师朗道解决问题的方式,基本上是靠天马行空地猜。当然那是建立在他对于物理问题的实质具有准确的洞察力(unerring intuition)的前提之下。他理论的很多细节,后来都被俄国朗道学派的七十二贤人们用高超的圈图计算(diagrammatic calculation) 严丝合缝地弥补起来,这些结果的集大成就是这样一本凝聚态物理学的经典教科书Methods of Quantum Field Theory in Statistical Physics,此书的三位作者也都是响当当的名字,出于对前贤的尊敬,让笔者在此写下他们的全名:
Alexei Alexeyevich Abrikosov,
Lev Petrovich Gor'kov,
Igor Ekhiel'evich Dzyaloshinski.
这三位朗道门下的亚圣也都在凝聚态物理学中留下了各自浓墨重彩的工作,感兴趣的读者可以自己去查,此处就不赘述了。总之这本书是如此的出名以至于后世的读者们都不会记得此书本来的名字,而是直呼其为AGD(三位作者姓的首字母)。在冷战时期和后冷战时期的物理学圈子里,AGD 显然是比KGB更加响亮的俄国名字,至于KGB 是什么,读者也自行查阅吧。就算到了今天,在美国、欧洲还有我们中国的知名凝聚态物理学研究机构中,其实也没有过多少能够通读AGD 的研究生,能够通读,也就离博士阶段独立展开科研工作不远了。
话题再回到白马非马,费米液体理论成功解释了大多数普通金属的行为,甚至后来的BCS 超导理论也都是建立在费米液体的框架之上,其功劳善莫大焉。那么我们能否也像公孙龙子一样问一个问题,有没有不属于费米液体范畴的金属,有没有—非—费米液体呢?答案还真有,而且这样的不属于费米液体范畴的金属材料正在随着时间的增长变得越来越多。更加让人觉得神奇的是,凝聚态物理学家想来想去,折腾了几十年也想不出一个合适的名字,最后真的就学了我们的老祖先公孙龙子,干脆把这些物理系统统称为“ 非费米液体(Non-Fermi-Liquid,NFL)”。如果说公孙龙子说“白马—非—马”,是哲学家的诡辩,那么物理学家说“非费米液体—非—费米液体”(注意这里的断句)。可是实实在在的对于实验现象的总结,是老实到了可爱的断语。只是有时候,笔者真是对于人们在描述新事物时语言的贫乏感到憋气,也就是在这种时候,笔者总会觉得我们比之于千年之前的祖先,不但没有变得高明,反而是在退化了。
还是说说非费米液体吧。既然是非费米液体,那就是和费米液体范畴不同的事物。再次强调,这里是真正的不同,不是哲学家的诡辩,我们可以尝试列举之:
•非费米液体中没有准粒子;
•非费米液体的电导不是T2,比热不是T,磁化率不是常数;
•非费米液体经常出现在量子临界区域中;
•非费米液体被认为是高温超导的正常态;
•非费米液体的基本性质很难通过解析计算严格得到;
•……
总之,非费米液体是朗道费米液体理论不能解释的现象,纵然洞察力深刻如朗道及其流亚者,面对非费米液体也拿不出unerring intuition,不得不面对无法解释实验现象的尴尬。其实20 世纪后半段的凝聚态物理学研究中,人们不断地发现非费米液体的行为,比如重费米子材料、铜基、铁基高温超导材料还有许多过渡金属氧化物的合金,都是非费米液体的典型代表。图2(a)与(b)是重费米子材料中的例子。这是我国浙江大学袁辉球老师与合作者最近发现的一种铁磁重费米子材料CeRh6Ge4 [3],通过压力调控, 该系统可以从铁磁的金属状态(ferromagnetic metal,FM,其实也是费米液体) 经过量子相变进入顺磁金属(FL 就是费米液体) 的状态,在量子相变点之上的临界区中,系统就处在非费米液体的奇异金属态(strange metal,SM), 这时系统的电阻和比热都有偏离费米液体的行为。如图2(b)所示,电阻随温度线性降低而不是如费米液体一般随温度平方降低,比热随着温度有一个大于1的power,近于C/T ~ - log(T),而不是如费米液体一般C/T 在低温下为常数。非费米液体的行为在高温超导体更是如此,如图2(c)所示的铜基高温超导体空穴掺杂“普适”相图[4]。超导dome 之上的strange metal 区域中,系统的电阻呈现线性的温度依赖关系,跨越好几个温度数量级,而不是像费米液体一样在低温下为T2。更别说此处还有赝能隙和反铁磁的莫特绝缘体相,非费米液体、赝能隙、莫特绝缘体之间的相互转变和转化,都是量子多体问题中仍然没有解决的问题。这些就是人们经常提到的强关联电子问题,是超越朗道费米液体理论和朗道—金兹伯格—威尔逊对称性破缺理论框架的新问题。这样的问题中酝酿着凝聚态物理学量子多体问题的新范式,是目前研究的前沿。

图2 (a)浙江大学研究人员发现的铁磁重费米子材料CeRh6Ge4,在压力之下系统发生量子相变从费米液体的铁磁金属(蓝色区域,ferromagnetic metal,FM)变成费米液体的顺磁金属(蓝色区域,Fermi liquid,FL),而在两者之间的红色区域,系统是非费米液体的奇异金属( strange metal,SM)。其电阻和比热的奇异行为在(b)有所显示,系统在SM 参数范围内有线性电阻,比热有偏离C/T 为常数的行为;(c)铜基高温超导体空穴掺杂的“普适”相图。绿色区域为d 波超导相,其之上的strange metal 区域就是非费米液体, 在非费米液体中电阻随温度线性增长。Pseudo gap 是赝能隙相,AF 为反铁磁莫特绝缘相(antiferromagnetic Mott insulator)。此外系统中还有charge order (电荷密度波)的迹象。如何解释这些关联电子状态和它们之间的转变,是凝聚态物理学量子多体问题的前沿。
好的,既然我们用了上面磕磕绊绊的语言,生硬地陈述了“非费米液体—非—费米液体”这样的实验事实。那么对于非费米液体,人们从理论上是不是一点办法也没有呢?也不尽然,后世的物理学家们虽然没有朗道的天赋,但也还是在勤勤恳恳地整理和记录实验观测的结果,努力抽象出最简单的理论模型,然后发展和运用解析和数值工具,研究如是的模型中是否蕴藏着非费米液体的蛛丝马迹。鉴于问题所牵扯到的广度和深度,以及可以预想的读者们在看到公式后还能集中精力的短暂life time,在这篇文章中的最后部分,我们将会只铺垫一些讨论非费米液体的基本概念,兼及运用数值和解析结合的办法理解非费米液体的基本模型。真正的讨论将会留在下一篇文章中进行,既减轻了大家的心理压力,也让笔者可以更加充分地准备。还希望大家耐心等待。
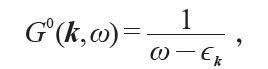
对于如是的强关联电子系统,需要运用格林函数和自能的语言来讨论。在无相互作用系统中,电子的格林函数一般写成

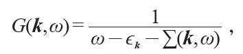
这里ω 是电子的频率/能量, ϵk是晶格上电子的色散关系(即无相互作用电子系统中动量和能量的依赖关系,也就是能带)。而电子之间相互作用的效果,会改变电子的格林函数,在传统的多体教材中往往是给出如下的相互作用下的电子格林函数:

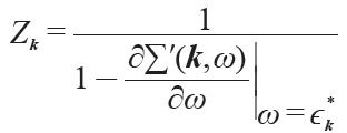
多出来的这个Σ(k,ω) 叫自能(self-energy)。这里自能和格林函数的关系, 被Dyson 方程所描述G(k,ω)=G0(k,ω) +G0(k,ω)Σ(k,ω)G(k,ω),写下这个迭代方程的老先生,就是最近刚刚去世的著名物理学家Freeman Dyson。自能又可以分成实部和虚部, Σ(k,ω) = Σ′(k,ω) + iΣ″(k,ω),其中实部表示了对于自由费米子色散关系的重整化, 可以表达成ϵk* = ϵk+ Σ′(k, ϵk*) ,然后原来的ω-ϵk就可以变成(ϵ - ϵk*)/Zk, 此处的

就是前文中图3中提到的准粒子权重。自能虚部代表准粒子的寿命τ-1~Σ″(k,ω) ,在图3(c)中体现为谱函数的中峰的半高宽。把这些记法都整合在一起之后,我们得到相互作用下的电子格林函数:

其中Zk是相互作用系统中的准粒子权重,ϵk*是重整化之后的准粒子色散关系, Σ″(k,ω) 描述重整化之后准粒子的寿命。其实我们之前反复提到的,人们不知道非费米液体的理论描述,主要是在说非费米液体的自能应该是什么样的表达式,尤其是做为准粒子寿命的虚部的解析表达式,到目前为止人们还不能准确写出来。

图3 (a)无相互作用电子系统的谱函数,在能量等于费米能(ω→ϵK)时,谱函数为δ-函数,其半高宽的倒数为电子的寿命(life time τ),δ-函数的半高宽为零,意味着费米面上的电子寿命无穷长;(b)费米液体中的准粒子谱函数,准粒子谱的半高宽正比于能量的平方(Γk∝ϵk 2),当能量线性接近费米面的时候,准粒子的寿命越来越长,并且最终长于能量接近费米面的速度(τ =1/ϵk 2 ˃1/|ω—ϵk|),使得准粒子在如此的能量尺度下是稳定的;(c)在费米液体理论中,当能量达到费米面k=kF,准粒子的寿命亦发散,但其性质受到电子相互作用的修正,准粒子的权重Zk~ m/m*,其中m* 为准粒子的有效质量。
有了格林函数和自能的语言来描述强关联电子系统,下面的问题就是:用这样的语言,在怎样的模型系统中,用什么样的解析/数值方法,可以获得对于非费米液体的准确认识。此处情况就开始变得复杂了,大概是从高温超导体的正常态是非费米液体(即电阻随着温度线性而不是平方地变化)以来,30 多年过去了,其实人们还没有能够在空间维度D>1 的系统中(大多数的实际材料都是二维D=2,或者三维D=3的),严格推导出任何一种非费米液体格林函数和自能的解析表达式。当然从量子场论的框架到各种唯象理论的发展,对于非费米液体的理论构造已经取得了长足的进展。比如,现在人们普遍认为,非费米液体做为一种量子多体物质状态,往往出现在不同的金属之间,以及金属和绝缘体发生量子相变的量子临界区域中,甚至可以认为量子临界区里的物态就是非费米液体。在量子临界区域中,涨落扮演了十分重要的角色,对于不同的物理系统,涨落的形式有区别。包括高温超导体中的反铁磁涨落、向列相涨落、电荷密度波涨落,上文提到的重费米子材料中的铁磁涨落,还有目前在理论研究中十分关注的和拓扑序有关的演生规范场涨落等等。这些涨落(大多数时候属于玻色型的),在量子临界区中传递费米子之间的相互作用,而且费米子又可以反过来反馈给玻色子,改变了涨落的内涵。所以问题的实质变成了如何准确处理相互关联的费米子和玻色子发生临界耦合的问题,以至于耦合的结果——就是量子多体相互作用的结果—— 能够产生出非费米液体,进而可以解释上文中提到的高温超导、赝能隙、莫特绝缘体、重费米子等等实验现象。
这样的量子临界问题,其实在模型层次上是可以构造的,比如图4中的模型,就是一个费米子与反铁磁量子Ising 自旋耦合的系统[5]。通过调控量子Ising 自旋模型中的横向磁场大小,也就是控制玻色子量子涨落的强度,可以让费米子系统处于顺磁费米液体(Fermi liquid)、反铁磁电荷密度波金属(spin-density-wave(SDW) metal)以及我们最关心的量子临界区(quantum critical region,QCR)。在QCR 中,系统处在强关联的参数范围,传统的微扰论解析手段无法严格处理,研究人员们便开始使用以量子蒙特卡洛为代表的大规模数值计算方法,结合量子场论的分析,研究非费米液体的性质。目前通过大规模的数值计算与和解析理论的良性互动,在如图4这样的问题中,物理学家正在获得非费米液体的准确描述。

图4 (a)费米子与反铁磁量子Ising 自旋耦合模型。λ=1,2 表示正方晶格的两层自由费米子,中间一层为量子Ising 自旋,自旋之间具有反铁磁相互作用J,横向的磁场h 引入Ising 自旋的量子涨落。费米子和Ising 自旋之间通过ξ 耦合起来。(b)模型的示意相图。横场h 大于临界值时,Ising 自旋量子无序,耦合不发生作用,费米子处于顺磁费米液体(Fermi liquid);横场h 小于临界值时,Ising 自旋反铁磁有序,耦合的结果是费米面发生折叠变成了图中蓝色的pocket,费米子处于反铁磁电荷密度波金属状态(spin-density-wave (SDW) metal),但是由于此处玻色子涨落很弱,电荷密度波金属仍然是费米液体。只有在横场h 处在临界值时,玻色子量子涨落最强,费米子之间通过玻色涨落生发出强烈地相互作用,系统进入量子临界区(quantum critical region,QCR),变成了非费米液体。(c)如上的示意过程,可以在晶格模型中通过量子蒙特卡洛数值方法严格计算。此处就是计算出的费米面在顺磁费米液体和反铁磁电荷密度波金属状态中的形状。
至于具体看到了什么非费米液体的性质,考虑到大家的life time已经快耗尽了。笔者还是就此停笔吧。在下一篇“非费米液体—非—费米液体”的文章中,笔者将会介绍理论上对于量子临界点上非费米液体性质的基本预期(其中很多还是朗道学派的当代后人们给出的),以及人们在近几年来,通过以量子蒙特卡洛计算为代表的数值方法与场论计算为代表的解析方法的互动,已经得到了哪些确定性的结果,有哪些问题可以期望得到解决。当然,目前的现状还是有很多非费米液体的性质仍然不能从理论上给出解答,不过这不正是需要我们这些公孙龙子和朗道的后人们继续努力的方向吗?
参考文献
[1] 孟子杨. 被解救的诺特. 物理,2020,49(1):43
[2] 孟子杨. 寂静春天里的动力学. 物理,2019,48(2):104
[3] ShenB,ZhangYJ,KomijaniYet al. Strange metal behavior in a pure ferromagnetic Kondo lattice. Nature,2020:579:51
[4] Keimer B,Kivelson S A,Norman M R et al. From quantum matter to high-temperature superconductivity in copper oxides. Nature,2015,518:179
[5] Liu Z H,Pan G P,Xu X Y et al. Itinerant quantum critical point with Fermion pockets and hot spots. PNAS,2019,116 (34):16760
量子多体中的呐喊与彷徨系列:
一、被解救的诺特
本文选自《物理》2020年第3期
来源:中国物理学会期刊网

编辑:米老猫
↓ 点击标题即可查看 ↓
1. 物理定律告诉你:表白可能巨亏,分手一定血赚
2. 震惊!昨天你们立起来的扫把,甚至真的惊动了 NASA
3. 酒精和 84 消毒液到底能不能一块用?
4. 一次性医用口罩是怎么做出来的?如何消毒?
5. 数学好玩个球啊,这支豪门球队用一群数理博士横扫球场
6. 「测温枪」到底是怎样测出你的温度的?
7. 等量 0 度水和 100 度水混合能得到 50 度水吗?
8. 人类为什么喜欢亲吻?
9. 病毒从哪里来?
10. 一见钟情,到底靠不靠谱?