高考了,愿才高八斗,满腹经纶的你,步入考场,谈笑自若;沉着冷静,大放异彩;妙笔生花,谱就华章;才智齐出,势如破竹;考出水平,获得佳绩。
高考数学解答题的评分标准及答题技巧,考前仔细再看看!

#北京头条##郑州头条##上海头条##沈阳头条##高考#
2023高考数学大招集锦(高中提分宝典)(不分文理全国通用)
¥199
购买
高考数学评分细则参考
【解题王+高考必刷题】高中数学物理化学生物语文英语6科 2023版
¥125.6
购买
一、数学阅卷流程

二、分题型展示
1
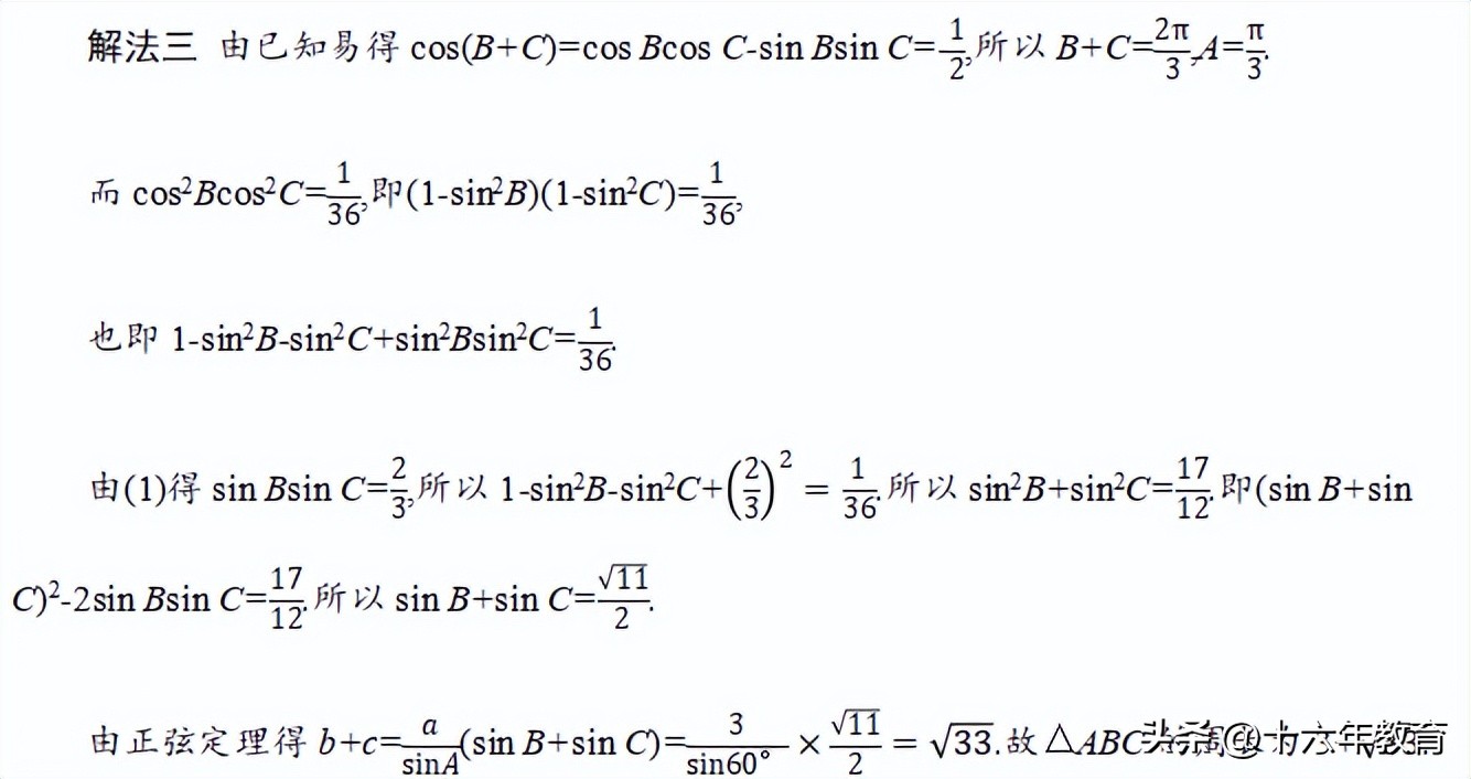
题型一、三角形解答题
高考真题:

(一) 评分标准展示——看细节


(二) 一题多解鉴赏——扩思路



(三) 阅卷老师提醒——明原因
三角函数题目属于高考题中的低中档题,但每年考生的得分情况都不理想,如公式记忆不清、解题方法不明、解题方法选择不当等问题屡屡出现,不能保证作答“会而对,对而全,全而美”.下面就以2017年高考数学全国卷Ⅰ理科第17题为例进行分析说明.
1.知识性错误

2.策略性错误

(四) 新题好题演练——成习惯

2
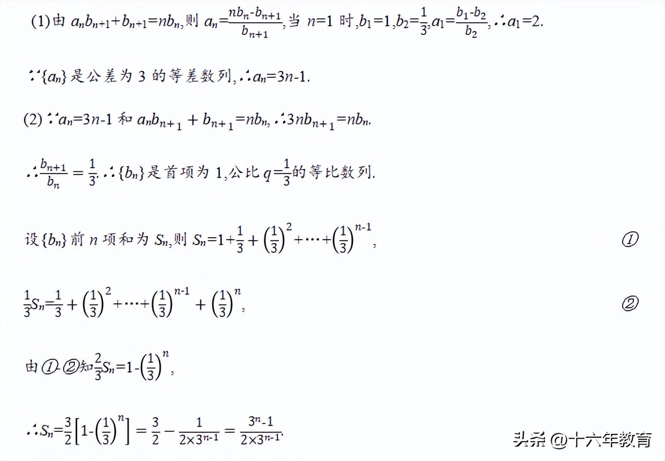
题型二、数列解答题
(2016全国,文17)(本小题满分12分)已知{an}是公差为3的等差数列,数列{bn}满足b1=1,b2=,anbn+1+bn+1=nbn.
(1)求{an}的通项公式;(2)求{bn}的前n项和.
(一) 评分标准展示——看细节

(二) 一题多解鉴赏——扩思路
解法二

(三) 阅卷老师提醒——明原因

(四) 新题好题演练——成习惯

3
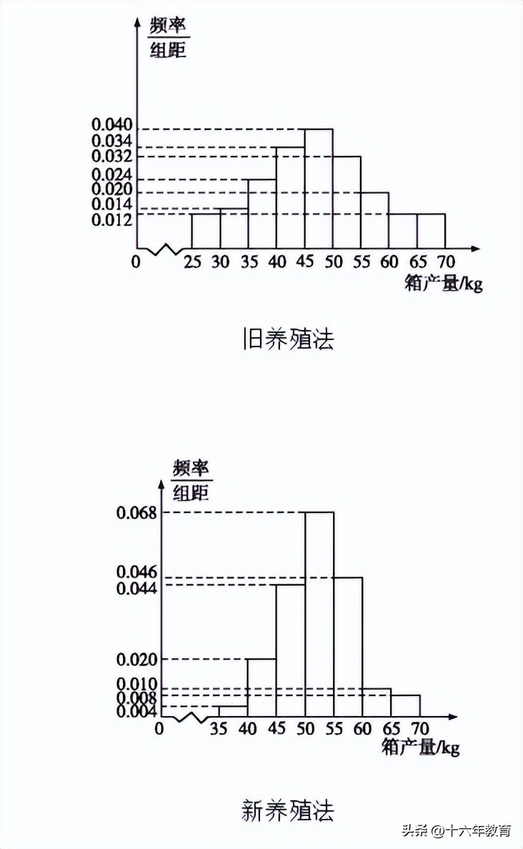
题型三、概率与统计解答题
(2017全国2,文19)(本小题满分12分)海水养殖场进行某水产品的新、旧网箱养殖方法的产量对比,收获时各随机抽取了100个网箱,测量各箱水产品的产量(单位:kg),其频率分布直方图如下:

(1)记A表示事件“旧养殖法的箱产量低于50 kg”,估计A的概率;
(2)填写下面列联表,并根据列联表判断是否有99%的把握认为箱产量与养殖方法有关;
|
箱产量<50 kg |
箱产量≥50 kg |
|
|
旧养殖法 |
||
|
新养殖法 |
(3)根据箱产量的频率分布直方图,对这两种养殖方法的优劣进行比较.

(一) 评分标准展示——看细节


(二) 阅卷老师提醒——明原因
1.正确阅读理解,弄清题意:与概率统计有关的应用问题经常以实际生活为背景,且常考常新,而解决问题的关键是理解题意,弄清本质,将实际问题转化为数学问题求解.
2.对互斥事件要把握住不能同时发生,而对于对立事件除不能同时发生外,其并事件应为必然事件,这些也可类比集合进行理解,具体应用时,可把所有试验结果写出来,看所求事件包含哪几个试验结果,从而断定所给事件的关系.
3.用频率分布直方图解决相关问题时,应正确理解图表中各个量的意义,识图掌握信息是解决该类问题的关键.
4.某些数据的变动对中位数可能没有影响.中位数可能出现在所给数据中,也可能不在所给数据中.当一组数据中的个别数据变动较大时,可用中位数描述其集中趋势.平均数与方差都是重要的数字特征,是对总体的一种简明的描述,它们所反映的情况有着重要的实际意义,平均数、中位数、众数描述其集中趋势,方差和标准差描述其波动大小.
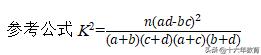
5.独立性检验的注意事项
(1)在列联表中注意事件的对应及相关值的确定,不可混淆.K2的观测值k的计算公式很复杂,在解题中易混淆一些数据的意义,代入公式时出错,而导致整个计算结果出错.
(2)对判断结果进行描述时,注意对象的选取要准确无误,应是对假设结论进行的含概率的判断,而非其他.
(三) 新题好题演练——成习惯
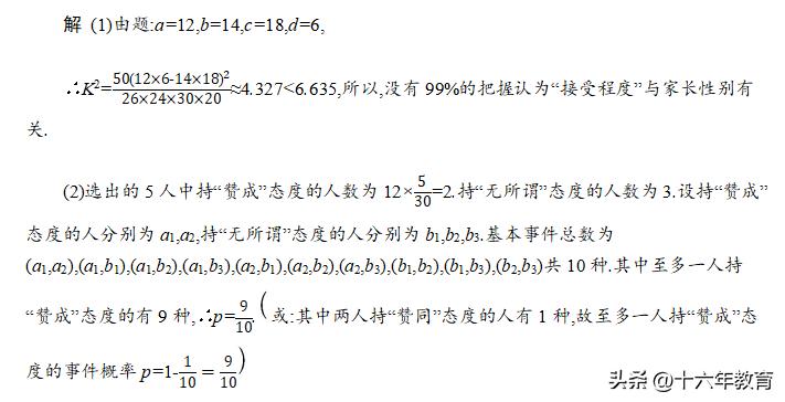
(2018四川凉山诊断性检测)为了解男性家长和女性家长对高中学生成人礼仪式的接受程度,某中学团委以问卷形式调查了50位家长,得到如下统计表:
|
男性家长 |
女性家长 |
合计 |
|
|
赞成 |
12 |
14 |
26 |
|
无所谓 |
18 |
6 |
24 |
|
合计 |
30 |
20 |
50 |
(1)据此样本,能否有99%的把握认为“接受程度”与家长性别有关?说明理由;
(2)学校决定从男性家长中按分层抽样方法选出5人参加今年的高中学生成人礼仪式,并从中选2人交流发言,求发言人中至多一人持“赞成”态度的概率.
参考数据
|
P(K2≥k) |
0.05 |
0.010 |
|
k |
3.841 |
6.635 |


4
题型四、立体几何解答题
(2017全国3,文19)(本小题满分12分)如图,四面体ABCD中,△ABC是正三角形,AD=CD.
(1)证明:AC⊥BD;
(2)已知△ACD是直角三角形,AB=BD.若E为棱BD上与D不重合的点,且AE⊥EC,求四面体ABCE与四面体ACDE的体积比.

(一) 评分标准展示——看细节


(二) 一题多解鉴赏——扩思路

(三) 阅卷老师提醒——明原因
1.证明线面垂直时,不要忽视“面内两条直线为相交直线”这一条件,如第(1)问中,学生易忽视“DO∩BO=O”,导致条件不全而减分;
2.求四面体的体积时,要注意“等体积法”的应用,即合理转化四面体的顶点和底面,目的是底面积和顶点到底面的距离容易求得;
3.注意利用第(1)问的结果:在题设条件下,如果第(1)问的结果第(2)问能用得上,可以直接用,有些题目不用第(1)问的结果甚至无法解决,如本题中,由(1)及题设知∠ADC=90°.
4.要注意书写过程规范,计算结果正确.书写规范是计算正确的前提,在高考这一特定的环境下,学生更要保持规范书写,力争一次成功,但部分学生因平时习惯,解答过程中书写混乱,导致失误过多.
(四) 新题好题演练——成习惯




5
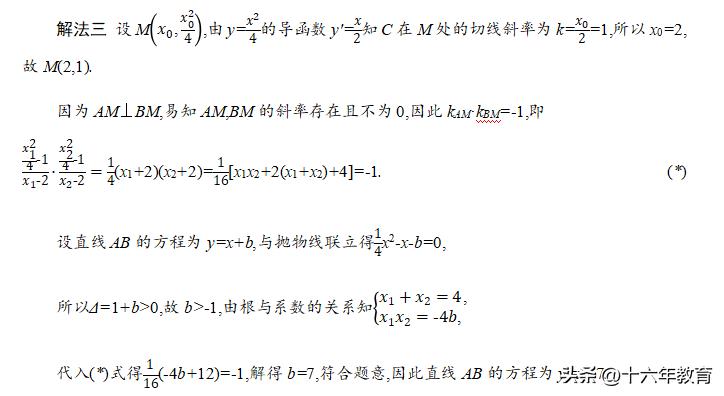
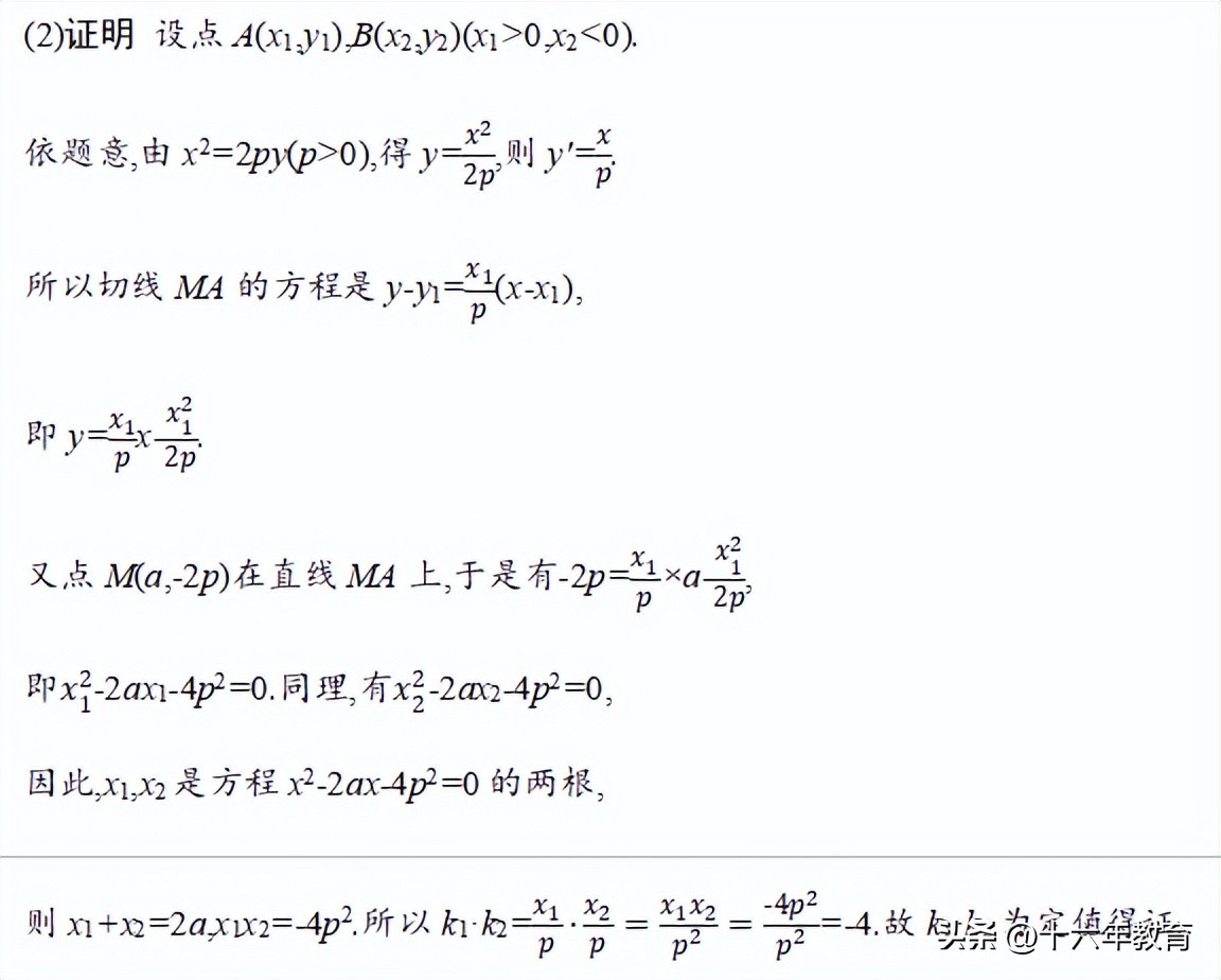
题型五、解析几何解答题

(一) 评分标准展示——看细节

(二) 一题多解鉴赏——扩思路


(三) 阅卷老师提醒——明原因

(四) 新题好题演练——成习惯


6
题型六、函数与导数解答题
(2017全国2,文21)(本小题满分12分)设函数f(x)=(1-x2)ex.
(1)讨论f(x)的单调性;
(2)当x≥0时,f(x)≤ax+1,求a的取值范围.
(一) 评分标准展示——看细节


(二) 一题多解鉴赏——扩思路
解法二 设g(x)=(x2-1)ex+ax+1,x≥0,
则g(x)≥0恒成立.
g'(x)=(x2+2x-1)ex+a.
g″(x)=(x2+4x+1)·e2>0,g'(x)在区间[0,+∞)内单调递增.
当a≥1时,g'(x)≥g'(0)=-1+a>0,此时g(x)在区间[0,+∞)内单调递增,g(x)≥g(x)=0,符合题意.
当a<1时,g p="" style="font-size: 15px;font-family: Helvetica, Arial, sans-serif;" span="" x1="ln(e+a),0,
故存在x0>0,使得g'(x0)=0,且当x∈(0,x0)时,g'(x)<0,此时g(x)单调递减,g(x)<g(0)=0,不符合题意.< span=""></g(0)=0,不符合题意.<>
综上所述,a的取值范围是[1,+∞).
解法三 构造函数g(x)=(1-x2)ex-ax-1,则g'(x)=(-x2-2x+1)ex-a.
因为g(0)=0,故一定存在x0>0,使得x∈[0,x0]时,g'(x)≤0.(若不然,即任意x0>0,x∈[0,x0]时g'(x)>0,则x∈(0,x0),g(x)>0时,不符合题意).从而有g'(0)=1-a≤0,即a≥1.
下面证明a=1时,g(x)=(1-x2)ex-x-1≤0(x≥0)恒成立.由于g'(x)=(-x2-2x+1)ex-1,g″(x)=(-x2-4x-1)ex<0,知g'(x)在[0,+∞)内单调递减,且g'(0)=0,故g'(x)≤0,[g(x)]max=g(0)=0≤0,故a的取值范围是[1,+∞).(也可直接证明a≥1时,g(x)=f(x)-ax-1≤0成立)
(三) 阅卷老师提醒——明原因
1.利用导数研究函数或不等式问题时,正确求导是第一步,也是关键一步,而学生往往开始求导就出现错误,后面的运算全部变成了无用功;
2.分类讨论解决问题时,首先要明确分类的依据和标准;分类讨论思想是高中数学中的一种重要思想,也是学生的难点,关键要搞清“为什么要讨论?”“如何去讨论”,如本题中,需要讨论a与0,1的大小关系.
3.要注意书写过程规范,计算结果正确.书写规范是计算正确的前提,在高考这一特定的环境下,学生更要保持规范书写,力争一次成功,但部分学生因平时习惯,解答过程中书写混乱,导致失误过多.
(四) 新题好题演练——成习惯
(2018河北保定一模)已知函数f(x)=x+.
(1)判断函数f(x)的单调性;
(2)设函数g(x)=ln x+1,证明:当x∈(0,+∞),且a>0时,f(x)>g(x).
(1)解 因为f'(x)=1-(x≠0),
①若a≤0,f'(x)>0,
∴f(x)在(-∞,0),(0,+∞)为增函数;
②若a>0,则f'(x)>0⇒x2-a>0⇒x<-或x>,
f'(x)<0⇒x2-a<0⇒-<x<(a≠0),< span=""></x<(a≠0),<>
∴函数f(x)的单调递增区间为(-∞,-),(,+∞),
单调递减区间为(-,0),(0,);

7
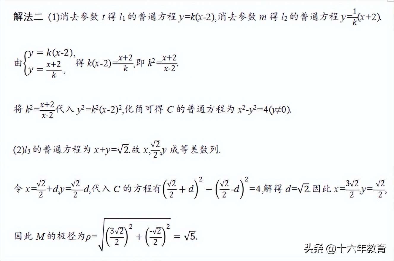
题型七、参数方程与极坐标解答题

(一) 评分标准展示——看细节

(二) 一题多解鉴赏——扩思路

(三) 阅卷老师提醒——明原因
1.基本的定义、公式,方法要掌握牢固:本题第(1)问考查消参求轨迹方程的问题,属于基本问题,第二问求解点在极坐标系下的极径,属于基础概念的考查,但是要求对基本的概念和公式能够熟练理解和掌握.
2.注意利用第(1)问的结果:在题设条件下,如果第(1)问的结果第(2)问能用得上,可以直接用,有些题目不用第(1)问的结果甚至无法解决,如本题即是在第(1)问的基础上进行计算求解极径问题.
3.写全得分关键:写清解题过程的关键点,有则给分,无则没有分,同时解题过程中计算准确,是得分的根本保证.如本题第(1)问要写出直角坐标方程,注意所得的轨迹方程不包括y轴上的点.第(2)问中方程的思想很重要,联立极坐标方程求解极径、极角体现出方程思想的无处不在.
(四) 新题好题演练——成习惯

8
题型八、不等式选讲解答题
(2017全国3,文23)(本小题满分10分)已知函数f(x)=|x+1|-|x-2|.
(1)求不等式f(x)≥1的解集;
(2)若不等式f(x)≥x2-x+m的解集非空,求m的取值范围.
(一) 评分标准展示——看细节

(二) 一题多解鉴赏——扩思路

(三) 阅卷老师提醒——明原因
1.基本的定义、公式、方法要掌握牢固:本题第(1)问考查绝对值不等式的解法,属于基本问题,第(2)问求解参数的取值范围,要求同学们能够结合恒成立的条件进行灵活变形处理.
2.注意利用第(1)问的结果:在题设条件下,如果第(1)问的结果第(2)问能用得上,可以直接用,有些题目不用第(1)问的结果甚至无法解决,如本题即是将原问题转化为求解最值的问题来确定参数的取值范围.
3.写全得分关键:写清解题过程的关键点,有则给分,无则没有分,同时解题过程中计算准确,是得分的根本保证.如本题第(1)问要写出分段函数的形式,分段求解不等式的解集.第(2)问中转化的思想很重要,将原问题转化为求解最值的问题即可,转化的思想是高中数学的重要数学思想之一.
(四) 新题好题演练——成习惯

三、阅卷基本建议
高考数学阅卷对知识点和步骤的把握,公正客观,本着给分有理扣分有据的原则,寻找得分点,否则写再多也是徒劳的.但是也并非完全无情,比如有少数考生答题错位,会被要求作为异常试卷提交,由专家组特殊处理,而不是直接判了零分等.为此,总结如下解题中需要把握的准则:
1.阅卷速度以秒计,规范答题少丢分
高考阅卷评分标准非常细,按步骤、得分点给分,评阅分步骤、采“点”给分.关键步骤,有则给分,无则没分.所以考场答题应尽量按得分点、步骤规范书写.阅卷中强调关注结果,过程可采用不同的方法阐述.
2.不求巧妙用通法,通性通法要强化
高考评分细则只对主要解题方法,也是最基本的方法,给出详细得分标准,所以用常规方法往往与参考答案一致,比较容易抓住得分点.阅卷中把握见点得分,踩点得分,上下不牵连的原则.
3.干净整洁保得分,简明扼要是关键
若书写整洁,表达清楚,一定会得到合理或偏高的分数,若不规范可能就会吃亏.若写错需改正,只需划去,不要乱涂乱划,否则易丢分.
4.狠抓基础保成绩,分步解决克难题
(1)基础题争取得满分.涉及的定理、公式要准确,数学语言要规范,仔细计算,争取前3个解答题及选考不丢分.
(2)压轴题争取多得分.第(1)问一般难度不大,要保证得分,第(2)问若不会,也要根据条件或第(1)问的结论推出一些结论,可能就是得分点.